exponenta event banner

pmmod

Фазовая модуляция

Синтаксис

y = pmmod(x,Fc,Fs,phasedev)
y = pmmod(x,Fc,Fs,phasedev,ini_phase)

Описание

y = pmmod(x,Fc,Fs,phasedev) модулирует сигнал сообщения x использование фазовой модуляции. Сигнал поставщика услуг имеет частоту Fc (герц) и уровень выборки Fs (герц), где Fs должен быть, по крайней мере, 2*Fc. phasedev аргумент является сдвигом по фазе модулируемого сигнала в радианах.

y = pmmod(x,Fc,Fs,phasedev,ini_phase) задает начальную фазу модулируемого сигнала в радианах.

Примеры

свернуть все

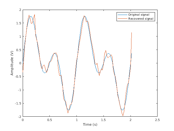
Установите частоту дискретизации. Чтобы построить сигналы, создайте временной вектор.

fs = 50; 
t = (0:2*fs+1)'/fs;

Создайте синусоидальный входной сигнал.

x = sin(2*pi*t) + sin(4*pi*t);

Установите несущую частоту и сдвиг по фазе.

fc = 10; 
phasedev = pi/2;

Модулируйте входной сигнал.

tx = pmmod(x,fc,fs,phasedev);

Передайте сигнал через канал AWGN.

rx = awgn(tx,10,'measured');

Демодулируйте сигнал с шумом.

y = pmdemod(rx,fc,fs,phasedev);

Постройте исходные и восстановленные сигналы.

figure; plot(t,[x y]);
legend('Original signal','Recovered signal');
xlabel('Time (s)')
ylabel('Amplitude (V)')

Смотрите также

| |

Представлено до R2006a