В этом примере показано, как вставить многоканальные аналитические точки в обобщенную модель в пространстве состояний системы управления MIMO.
Рассмотрите следующий 2D вход, систему 2D элемента управления выводом.

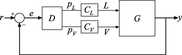
Объект G имеет два входных параметров и два выходных параметров. Поэтому линия отметила y в блок-схеме представляет два сигнала, y(1) и y(2). Точно так же r и e каждый представляет два сигнала.
Предположим, что вы хотите создать настраивающиеся требования или ответы извлечения, которые требуют введения или измерения сигналов в местоположениях L и V. Для этого создайте AnalysisPoint блокируйте и включайте его в модель с обратной связью системы управления как показано на следующем рисунке.

Чтобы создать модель этой системы, сначала создайте числовые модели LTI и блоки системы управления, которые представляют элементы контроллера и объект. D настраиваемый блок усиления и C_L и C_V настраиваемые ПИ-контроллеры. Предположим, что модель объекта управления следующая:
s = tf('s'); G = [87.8 -86.4 ; 108.2 -109.6]/(75*s+1); D = tunableGain('Decoupler',eye(2)); C_L = tunablePID('C_L','pi'); C_V = tunablePID('C_V','pi');
Создайте AnalysisPoint блокируйтесь, который связывает вместе L и V каналы.
AP_1 = AnalysisPoint('AP_1',2)AP_1 = Multi-channel analysis point at locations: AP_1(1) AP_1(2) Type "ss(AP_1)" to see the current value and "get(AP_1)" to see all properties.
Для удобства переименуйте каналы, чтобы совпадать с соответствующими сигналами.
AP_1.Location = {'L';'V'}AP_1 = Multi-channel analysis point at locations: L V Type "ss(AP_1)" to see the current value and "get(AP_1)" to see all properties.
Следующая схема иллюстрирует входные имена, выходные имена и названия канала (местоположения) в блоке AP_1.

Имена ввода и вывода AnalysisPoint блок отличен от названий канала. Используйте названия канала, чтобы относиться к местоположениям аналитической точки при извлечении ответов или определении целей проекта по настройке. Можно использовать имена ввода и вывода AP_1.u и AP_1.y, например, при соединении блоков с помощью connect команда.
Можно теперь создать модель с обратной связью системы управления. Во-первых, соедините весь объект и блоки контроллера наряду с первым AnalysisPoint блок.
GC = G*AP_1*append(C_L,C_V)*D;
Затем закройте обратную связь. Вспомните тот GC имеет два ввода и вывода.
CL = feedback(GC,eye(2));
Можно теперь использовать аналитические точки в анализе или настройке. Например, извлеките SISO передаточная функция с обратной связью из 'L' к первому выходу. Присвойте имя к выходу, таким образом, можно сослаться на него в аналитических функциях. Программное обеспечение автоматически расширяет присвоенное имя 'y' к выходным сигналам с векторным знаком {y(1),y(2)}.
CL.OutputName = 'y'; TLy1 = getIOTransfer(CL,'L','y(1)'); bodeplot(TLy1);
