exponenta event banner

dsp.PhaseUnwrapper

Разверните фазу сигнала

Описание

dsp.PhaseUnwrapper Система object™ разворачивает фазу входного сигнала, заданного в радианах.

Разворачивать вход фазы сигнала:

  1. Создайте dsp.PhaseUnwrapper объект и набор его свойства.

  2. Вызовите объект с аргументами, как будто это была функция.

Чтобы узнать больше, как Системные объекты работают, смотрите то, Что Системные объекты? MATLAB.

Создание

Описание

phUnwrap = dsp.PhaseUnwrapper возвращает Системный объект необертки фазы, который добавляет или вычитает соответствующие множители 2π к каждому входному элементу, чтобы удалить разрывы фазы (разворачивают).

пример

phUnwrap = dsp.PhaseUnwrapper(Name,Value) возвращает Системный объект необертки фазы с каждым заданным набором свойств к заданному значению.

Свойства

развернуть все

Если в противном случае не обозначено, свойства являются ненастраиваемыми, что означает, что вы не можете изменить их значения после вызова объекта. Объекты блокируют, когда вы вызываете их и release функция разблокировала их.

Если свойство является настраиваемым, можно изменить его значение в любое время.

Для получения дополнительной информации об изменении значений свойств смотрите Разработку системы в MATLAB Используя Системные объекты (MATLAB).

Установите это свойство на false разворачивать разрывы фазы только в системе координат. Установите это свойство на true также разворачивать разрывы фазы между последовательными системами координат.

Задайте размер скачка, который необертка фазы распознает истинным разрывом фазы. Значение по умолчанию установлено в π (а не меньшее значение), чтобы не изменять законные функции сигнала. Чтобы увеличить чувствительность обертки фазы, установите Tolerance свойство к значению немного меньше, чем π.

Типы данных: single | double | int8 | int16 | int32 | int64 | uint8 | uint16 | uint32 | uint64

Использование

Синтаксис

Описание

пример

output = phUnwrap(input) разворачивает фазу входного сигнала. Это сделано путем добавления или вычитания соответствующих множителей 2π к каждому входному элементу, чтобы удалить разрывы фазы (разворачивают). Каждый столбец input сигнал обработан как отдельный канал.

Входные параметры

развернуть все

Ввод данных в виде вектора или матрицы. Фаза входного сигнала должна исчисляться в радианах.

Типы данных: single | double

Выходные аргументы

развернуть все

Развернутая фаза входа, возвращенного как вектор или матрица. Размер и тип данных развернутой фазы выходное соответствие размер и тип данных входного сигнала.

Типы данных: single | double

Функции объекта

Чтобы использовать объектную функцию, задайте Системный объект как первый входной параметр. Например, чтобы выпустить системные ресурсы Системного объекта под названием obj, используйте этот синтаксис:

release(obj)

развернуть все

stepЗапустите алгоритм Системного объекта
releaseВысвободите средства и позвольте изменения в значениях свойств Системного объекта и введите характеристики
resetСбросьте внутренние состояния Системного объекта

Примеры

свернуть все

Примечание: Этот пример запускается только в R2016b или позже. Если вы используете более ранний релиз, заменяете каждый вызов функции с эквивалентным step синтаксис. Например, myObject (x) становится шагом (myObject, x).

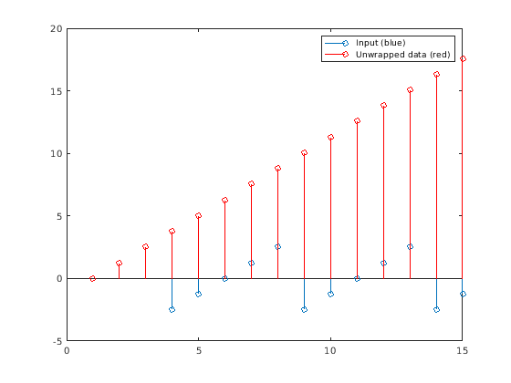
phUnwrap = dsp.PhaseUnwrapper;
p = [0 2/5 4/5 -4/5 -2/5 0 2/5 4/5 -4/5 -2/5 0 2/5 ...
    4/5 -4/5, -2/5]*pi;
y = phUnwrap(p');
figure,stem(p); hold
Current plot held
stem(y, 'r');
legend('Input (blue)','Unwrapped data (red)');
hold off;

Алгоритмы

Этот объект реализует алгоритм, входные параметры и выходные параметры, описанные на странице с описанием блока Unwrap. Свойства объектов соответствуют параметрам блоков Simulink®.

Расширенные возможности

Смотрите также

Представленный в R2012a