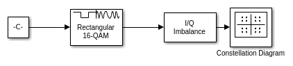
Модель применяет 16-QAM модуляцию, применяет разбаланс I/Q к сигналу и графики сигнальное созвездие при помощи блока Constellation Diagram.

Отобразите сигнальное созвездие без нарушения.

Отобразите сигнальное созвездие с амплитудным нарушением неустойчивости только.
The amplitude imbalance is: 3.00 dB.

Отобразите сигнальное созвездие с нарушением разбаланса фазы только.
The phase imbalance is: 30.00 degrees.

Отобразите сигнальное созвездие с синфазным нарушением смещения DC только.
The in-phase DC offset is: 1.50.

Отобразите сигнальное созвездие с квадратурным нарушением смещения DC только.
The quadrature DC offset is: 1.50.

Нарушения могут быть применены как отрицательные величины. Отобразите сигнальное созвездие со всем набором параметров неустойчивости к ненулевым отрицательным значениям нарушения.
The amplitude imbalance is: -3.00 dB. The phase imbalance is: -30.00 degrees. The in-phase DC offset is: -1.50. The quadrature DC offset is: -1.50.
