exponenta event banner

timeoptions

Создайте список опций графика временной зависимости

Синтаксис

P = timeoptions
P = timeoptions('cstprefs')

Описание

P = timeoptions возвращает список доступных параметров для графиков временной зависимости с набором значений по умолчанию. Можно использовать эти опции, чтобы настроить внешний вид графика временной стоимости из командной строки.

P = timeoptions('cstprefs') инициализирует опции графика, которые вы выбрали в Системе управления и Редакторе Настроек System Identification Toolbox. Для получения дополнительной информации о редакторе, см. Редактор Настроек Тулбокса.

Эта таблица суммирует доступные опции графика временной зависимости.

Опция Описание
Заголовок, XLabel, YLabel Текст метки и стиль
TickLabelСтиль метки в виде галочки

Сетка

Покажите или скройте сетку в виде одного из следующих значений: 'off' | 'on'
Значение по умолчанию: 'off'
GridColorЦвет линий сетки в виде одного из следующего: Вектор из значений RGB в области значений [0,1]| вектор символов названия цвета |'none'. Например, для желтого цвета, задайте как одно из следующего: [1 1 0], 'yellow', или 'y'.
Значение по умолчанию: [0.15,0.15,0.15]
XlimMode, YlimModeОграничьте режимы
Xlim, Ylim Пределы осей

IOGrouping

Группировка пар ввода - вывода в виде одного из следующих значений: 'none' |'inputs'|'outputs'|'all'
Значение по умолчанию: 'none'
InputLabels, OutputLabels Стили метки ввода и вывода
InputVisible, OutputVisibleВидимость каналов ввода и вывода
Нормировать Нормируйте ответы в виде одного из следующих значений: 'on' |'off'
Значение по умолчанию: 'off'
SettleTimeThresholdПорог времени урегулирования
RiseTimeLimits Пределы времени нарастания

Единицы измерения времени

Единицы измерения времени в виде одного из следующих значений:

  • 'nanoseconds'

  • 'microseconds'

  • 'milliseconds'

  • 'seconds'

  • 'minutes'

  • 'hours'

  • 'days'

  • 'weeks'

  • 'months'

  • 'years'

Значение по умолчанию: 'seconds'

Можно также задать 'auto' который использует единицы измерения времени, заданные в TimeUnit свойство входной системы. Для нескольких систем с различными единицами измерения времени используются модули первой системы.

Примеры

свернуть все

Создайте набор опций времени по умолчанию.

opt = timeoptions;

Позвольте строить нормированных ответов.

opt.Normalize = 'on';

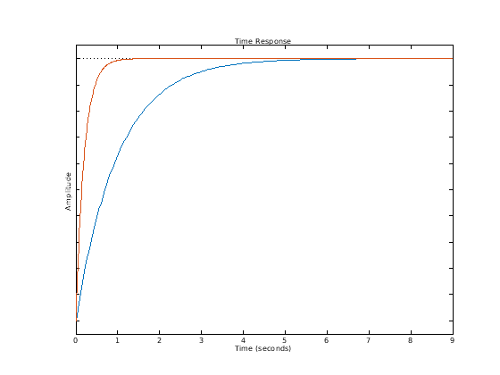
Постройте переходной процесс двух моделей передаточной функции с помощью заданных опций.

sys1 = tf(10,[1,1]);
sys2 = tf(5,[1,5]);
stepplot(sys1,sys2,opt);

График показывает нормированный переходной процесс для двух моделей передаточной функции.

Смотрите также

| | | | | (Control System Toolbox)

Представленный в R2012a