Симулируйте и оцените подбиравшую модель SimBiology
[ynew,parameterEstimates]
= predict(resultsObj)
[ynew,parameterEstimates]
= predict(resultsObj,data,dosing)
[ynew,parameterEstimates]
= predict(___,'ParameterType',value)
[ возвращает результаты симуляции ynew,parameterEstimates]
= predict(resultsObj)ynew от оценки подбиравшей модели SimBiology®. Предполагаемые значения параметров parameterEstimates использованный для расчета ynew от исходной подгонки sbiofitmixed.
[ возвращает результаты симуляции ynew,parameterEstimates]
= predict(resultsObj,data,dosing)ynew от оценки подбиравшей модели SimBiology при помощи заданного data и dosing информация.
[ возвращает результаты симуляции ynew в оценку подбиравшей модели SimBiology с помощью или индивидуума или оценок параметра населения. Эти два варианта для ynew,parameterEstimates]
= predict(___,'ParameterType',value)value 'individual' (значение по умолчанию) или 'population'.
Совет
Используйте этот метод, чтобы получить ответы модели в определенных моментах времени или предсказать ответы модели с помощью различных ковариационных данных и дозируя информацию.
Оцените нелинейные параметры смешанных эффектов с помощью клинических фармакокинетических данных, собранных от 59 младенцев. Оцените подобранную модель, данную новые данные или информацию о дозировании.
Загрузка данных
Этот пример использует данные, собранные по 59 недоношенным детям, данным фенобарбитал в течение первых 16 дней после рождения [1]. ds таблица, содержащая разовые концентрацией данные о профиле и ковариационную информацию для каждого младенца (или группа).
load pheno.mat ds
Преобразуйте в groupedData
Преобразуйте данные в groupedData формат для оценки параметра.
data = groupedData(ds);
Отобразите первые несколько строк data.
data(1:5,:)
ans =
5x6 groupedData
ID TIME DOSE WEIGHT APGAR CONC
__ ____ ____ ______ _____ ____
1 0 25 1.4 7 NaN
1 2 NaN 1.4 7 17.3
1 12.5 3.5 1.4 7 NaN
1 24.5 3.5 1.4 7 NaN
1 37 3.5 1.4 7 NaN
Визуализируйте данные
Отобразите данные в графике решетки.
t = sbiotrellis(data, 'ID', 'TIME', 'CONC', 'marker', 'o',... 'markerfacecolor', [.7 .7 .7], 'markeredgecolor', 'r', ... 'linestyle', 'none'); t.plottitle = 'Concentration versus Time';

Создайте один отсек модель PK
Создайте простую модель PK с одним отсеком, с администрированием дозы шарика и линейным устранением разрешения, чтобы соответствовать данным.
pkmd = PKModelDesign; addCompartment(pkmd,'Central','DosingType','Bolus',... 'EliminationType','linear-clearance',... 'HasResponseVariable',true,'HasLag',false); onecomp = pkmd.construct;
Сопоставьте разновидности модели с данными об ответе.
responseMap = 'Drug_Central = CONC';Задайте предполагаемые параметры
Параметры, чтобы оценить в этой модели являются объемом центрального отсека (Central) и уровень раскрываемости преступлений (Cl_Central). sbiofitmixed вычисляет зафиксированные и случайные эффекты для каждого параметра. Базовый алгоритм вычисляет нормально распределенные случайные эффекты, которые могут нарушить ограничения для биологических параметров, которые всегда положительны, таковы как объем и разрешение. Поэтому задайте преобразование для предполагаемых параметров так, чтобы преобразованные параметры следовали за нормальным распределением. Получившаяся модель
и
где , , и фиксированные эффекты, случайные эффекты и оцененные значения параметров соответственно, вычисленный для каждого младенца (группа) . Некоторые произвольные первоначальные оценки для V (объем центрального отсека) и Статья (уровень раскрываемости преступлений) используются здесь в отсутствие лучших эмпирических данных.
estimatedParams = estimatedInfo({'log(Central)','log(Cl_Central)'},'InitialValue',[1 1]);Задайте дозирование
Всем младенцам дали препарат, представленный Drug_Central разновидности, где расписание дозирования варьируется среди младенцев. Количество препарата перечислено в переменной данных DOSE. Можно автоматически сгенерировать объекты дозы из данных и использовать их во время подбора кривой. В этом примере, Drug_Central целевая разновидность, которая получает дозу.
sampleDose = sbiodose('sample','TargetName','Drug_Central'); doses = createDoses(data,'DOSE','',sampleDose);
Подбирайте модель
Используйте sbiofitmixed подбирать модель с одним отсеком к данным.
nlmeResults = sbiofitmixed(onecomp,data,responseMap,estimatedParams,doses,'nlmefit');Визуализация результатов
Визуализируйте подходящие результаты с помощью отдельно-специфичных оценок параметра.
fig1 = plot(nlmeResults,'ParameterType','individual'); % Resize the figure. fig1.hFig.Position(:) = [100 100 1200 800];

Используйте новые данные о дозировании, чтобы симулировать подобранную модель
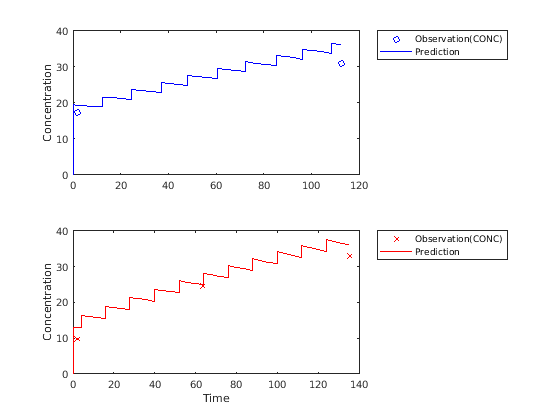
Предположим, что вы хотите предсказать, как младенцы 1 и 2 ответили бы под различными объемами дозирования. Можно предсказать их ответы можно следующим образом.
Создайте новые объекты дозы с новыми суммарными дозами.
dose1 = doses(1); dose1.Amount = dose1.Amount*2; dose2 = doses(2); dose2.Amount = dose2.Amount*1.5;
Используйте predict функция, чтобы оценить подобранную модель с помощью новых данных о дозировании. Если вы хотите предсказания ответа в конкретные времена, обеспечьте новый выходной временной вектор. Используйте опцию 'ParameterType', чтобы задать индивидуума или параметры населения, чтобы использовать. По умолчанию, predict использует параметры населения, когда вы задаете выходные времена.
timeVec = [0:25:400]; newResults = predict(nlmeResults,timeVec,[dose1;dose2],'ParameterType','population');
Визуализируйте предсказанные ответы при наложении экспериментальных данных для младенцев 1 и 2.
subplot(2,1,1) plot(data.TIME(data.ID == 1),data.CONC(data.ID == 1),'bo') hold on plot(newResults(1).Time,newResults(1).Data,'b') hold off ylabel('Concentration') legend('Observation(CONC)','Prediction') subplot(2,1,2) plot(data.TIME(data.ID == 2),data.CONC(data.ID == 2),'rx') hold on plot(newResults(2).Time,newResults(2).Data,'r') hold off legend('Observation(CONC)','Prediction') ylabel('Concentration') xlabel('Time')

Создайте ковариационную модель для ковариационных зависимостей
Предположим, что существует корреляция между объемом и весом, и возможно счетом APGAR и объемом. Рассмотрите эффект веса путем моделирования двух из этих ковариационных зависимостей: объем центральных (Central) и уровень раскрываемости преступлений (Cl_Central) меняйтесь в зависимости от веса. Модель становится
и
Используйте CovariateModel объект задать ковариационные зависимости. Для получения дополнительной информации смотрите, Задают Ковариационную Модель.
covModel = CovariateModel;
covModel.Expression = ({'Central = exp(theta1 + theta2*WEIGHT + eta1)',...
'Cl_Central = exp(theta3 + theta4*WEIGHT + eta2)'});
% Use |constructDefaultInitialEstimate| to create an |initialEstimates|
% struct.
initialEstimates = covModel.constructDefaultFixedEffectValues;Используйте FixedEffectNames свойство отобразить thetas (зафиксированные эффекты) заданный в модели.
covModel.FixedEffectNames
ans = 4x1 cell
{'theta1'}
{'theta3'}
{'theta2'}
{'theta4'}
Используйте FixedEffectDescription свойство показать описания соответствующих фиксированных эффектов (thetas) используемый в ковариационном выражении. Например, theta2 фиксированный эффект для коварианта веса, который коррелирует с объемом (Central), обозначенный как 'Центральный / ВЕС'.
disp('Fixed Effects Description:');Fixed Effects Description:
disp(covModel.FixedEffectDescription);
{'Central' }
{'Cl_Central' }
{'Central/WEIGHT' }
{'Cl_Central/WEIGHT'}
Установите исходные предположения для значений параметров фиксированного эффекта для Central и Cl_Central использование значений, оцененных от того, чтобы подбирать базовую модель.
initialEstimates.theta1 = nlmeResults.FixedEffects.Estimate(1); initialEstimates.theta3 = nlmeResults.FixedEffects.Estimate(2); covModel.FixedEffectValues = initialEstimates;
Подбирайте модель
nlmeResults_cov = sbiofitmixed(onecomp,data,responseMap,covModel,doses,'nlmefit');Отобразите подходящие параметры и ковариации
disp('Estimated Fixed Effects:');Estimated Fixed Effects:
disp(nlmeResults_cov.FixedEffects);
Name Description Estimate StandardError
__________ _____________________ ________ _____________
{'theta1'} {'Central' } -0.45664 0.078933
{'theta3'} {'Cl_Central' } -5.9519 0.1177
{'theta2'} {'Central/WEIGHT' } 0.52948 0.047342
{'theta4'} {'Cl_Central/WEIGHT'} 0.61954 0.071386
disp('Estimated Covariance Matrix:');Estimated Covariance Matrix:
disp(nlmeResults_cov.RandomEffectCovarianceMatrix);
eta1 eta2
________ ________
eta1 0.046503 0
eta2 0 0.041609
Визуализация результатов
Визуализируйте подходящие результаты с помощью отдельно-специфичных оценок параметра.
fig2 = plot(nlmeResults_cov,'ParameterType','individual'); % Resize the figure. fig2.hFig.Position(:) = [100 100 1200 800];

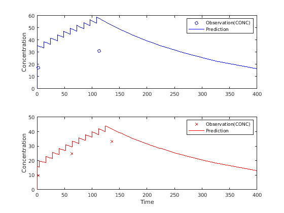
Используйте новые ковариационные данные, чтобы оценить подобранную модель
Предположим, что вы хотите исследовать ответы младенцев 1 и 2 использующих различных ковариационных данных, а именно, WEIGHT. Можно сделать это путем определения нового WEIGHT данные. ID переменная данных соответствует отдельным младенцам.
newData = data(data.ID == 1 | data.ID == 2,:); newData.WEIGHT(newData.ID == 1) = 1.3; newData.WEIGHT(newData.ID == 2) = 1.4;
Симулируйте ответы младенцев 1 и 2 использования новых ковариационных данных.
[newResults_cov, newEstimates] = predict(nlmeResults_cov,newData,[dose1;dose2]);
newEstimates содержит обновленные оценки параметра для каждого индивидуума (младенцы 1 и 2) после того, как модель будет переоценена с помощью новых ковариационных данных.
newEstimates
newEstimates=4×3 table
Group Name Estimate
_____ ______________ _________
1 {'Central' } 2.5596
1 {'Cl_Central'} 0.0065965
2 {'Central' } 1.7123
2 {'Cl_Central'} 0.0064806
Сравните с ориентировочными стоимостями от исходной подгонки с помощью старых ковариационных данных.
nlmeResults_cov.IndividualParameterEstimates( ... nlmeResults_cov.IndividualParameterEstimates.Group == '1' | ... nlmeResults_cov.IndividualParameterEstimates.Group == '2',:)
ans=4×3 table
Group Name Estimate
_____ ______________ _________
1 {'Central' } 2.6988
1 {'Cl_Central'} 0.0070181
2 {'Central' } 1.8054
2 {'Cl_Central'} 0.0068948
Визуализируйте новые результаты симуляции вместе с экспериментальными данными для младенца 1 и 2.
subplot(2,1,1) plot(data.TIME(data.ID == 1),data.CONC(data.ID == 1),'bo') hold on plot(newResults_cov(1).Time,newResults_cov(1).Data,'b') hold off ylabel('Concentration') legend('Observation(CONC)','Prediction','Location','NorthEastOutside') subplot(2,1,2) plot(data.TIME(data.ID == 2),data.CONC(data.ID == 2),'rx') hold on plot(newResults_cov(2).Time,newResults_cov(2).Data,'r') hold off legend('Observation(CONC)','Prediction','Location','NorthEastOutside') ylabel('Concentration') xlabel('Time')

Ссылки
[1] Grasela, T. H. Младший, и С. М. Донн. "Неонатальная фармакокинетика населения фенобарбитала выведена из стандартных клинических данных". Фармакол Dev Там 1985:8 (6). 374-83. Краткий обзор PubMed
resultsObj — Результаты оценкиNLMEResults объектОценка заканчивается в виде скаляра NLMEResults object, который содержит нелинейные результаты оценки смешанных эффектов, возвращенные sbiofitmixed.
data — Сгруппированные данные или выходные временаgroupedData возразите | вектор | массив ячеек векторовСгруппированные данные или выходные времена в виде a groupedData
object, вектор или массив ячеек векторов выходных времен.
Если data isa groupedData объект, это должно иметь и метки группы и вывести заданные времена. Метки группы могут относиться к новым группам или существующим группам от исходной подгонки. Если модель смешанных эффектов от исходной подгонки (возвращенный sbiofitmixed) коварианты использования, groupedData объект должен также содержать ковариационные данные с теми же метками для ковариантов (CovariateLabels свойство) заданный в исходной ковариационной модели.
По умолчанию отдельные оценки параметра используются для симуляции групп от исходной подгонки, в то время как параметры населения используются для новых групп, если таковые имеются. Смотрите value описание аргумента для деталей.
Общее количество результатов симуляции в выходе ynew зависит от количества групп или выходных временных векторов в data и количество строк в dosing матрица. Для получения дополнительной информации см. таблицу в ynew описание аргумента.
dosing — Дозирование информации[] | 2D матрица объектов дозы SimBiologyДозирование информации в виде пустого массива [] или 2D матрица объектов дозы SimBiology (ScheduleDose object или RepeatDose object). Если dosing матрица объектов дозы, матрица должна содержать дозы по умолчанию или быть сопоставима с исходными данными о дозировании, используемыми с sbiofitmixed. Таким образом, доза возражает в dosing должен иметь те же значения для свойств дозы (таких как TargetName) или должен быть параметрирован таким же образом как исходные данные о дозировании. Например, предположите, что исходная матрица дозирования имеет два столбца доз, где первый столбец предназначается для разновидностей x, и второй столбец предназначается для разновидностей y. Затем dosing должен иметь дозы в первом столбце, предназначающемся для разновидностей x и доз во втором столбце, предназначающемся для разновидностей y.
Если пустой, никакие дозы не применяются в процессе моделирования, даже если модель имеет активные дозы.
Если не пустой, матрица должна иметь одну строку или одну строку на группу во входных данных. Если это имеет одну строку, те же дозы применяются ко всем группам в процессе моделирования. Если это имеет несколько строк, каждая строка применяется к отдельной группе в том же порядке, как группы появляются во входных данных. Если некоторые группы (или временные векторы) требуют большего количества доз, чем другие, то заполняют матрицу с (фиктивными) дозами по умолчанию.
Несколько столбцов позволены так, чтобы можно было применить несколько объектов дозы к каждой группе или временному вектору. Все дозы в столбце должны быть дозами по умолчанию или должны сослаться на те же компоненты в модели (например, дозы должны иметь тот же TargetName) и должен иметь сопоставимые параметрированные свойства как в исходных данных о дозировании, используемых с sbiofitmixed. Например, если Amount свойство дозы используется в оригинале sbiofitmixed вызов параметрируется к ограниченному по объему моделью параметру 'A', все дозы для соответствующей группы (столбец) в dosing должен иметь Amount свойство параметрируется к 'A'.
Доза по умолчанию имеет значения по умолчанию для всех свойств, за исключением Name свойство. Создайте дозу по умолчанию можно следующим образом.
d1 = sbiodose('d1');В дополнение к ручному построению объектов дозы с помощью sbiodose, если входными данными является groupedData возразите и имеет информацию о дозировании, можно использовать createDoses метод, чтобы создать дозы из него.
Количество строк в dosing матрица и количество групп или выходных временных векторов в data определите общее количество результатов симуляции в выходе ynew. Для получения дополнительной информации см. таблицу в ynew описание аргумента.
Примечание
Если UnitConversion включен для базовой модели SimBiology, которая использовалась для подбора кривой, dosing должен задать допустимую сумму и единицы измерения времени.
value — Тип параметра'individual' (значение по умолчанию) | 'population'Тип параметра в виде 'individual' (значение по умолчанию) или 'population'. Если value 'population', predict метод возвращает результаты симуляции с помощью оценок параметра населения, то есть, значения параметров, которые оцениваются с помощью зафиксированных эффектов (θs) только. Предполагаемые значения параметров, используемые в симуляции, идентичны тем в resultsObj.PopulationParameterEstimates свойство, если вы не задаете новый groupedData объект data с новыми ковариационными данными. В этом случае метод переоценивает ковариационную модель и оценки параметра на основе нового groupedData и ковариационные данные.
Если value 'individual', метод возвращает результаты симуляции с помощью соответствующих значений параметров группы в resultsObj.IndividualParameterEstimates свойство. Эти значения включают и зафиксированный - и оценки случайных эффектов, то есть, значения параметров, оцененные с помощью и зафиксированных эффектов (θs) и случайных эффектов (ηs). Если data содержит новые группы, только зафиксированные эффекты (оценки параметра населения объекта результатов) используются для этих групп.
По умолчанию, predict использует отдельные оценки параметра объекта результатов когда data isa groupedData объект. Если data вектор выходных времен или массив ячеек векторов, predict использует оценки параметра населения объекта результатов вместо этого.
ynew — Результаты симуляцииSimData объектыРезультаты симуляции, возвращенные как вектор из SimData объекты. О состояниях сообщают в ynew состояния, включенные в responseMap входной параметр sbiofitmixed и любые другие состояния, перечисленные в StatesToLog свойство опций во время выполнения (RuntimeOptions) из модели SimBiology.
Общее количество результатов симуляции в ynew зависит от количества групп или выходных временных векторов в data и количество строк в dosing матрица.
Количество групп или выходных временных векторов в data | Количество строк в dosing матрица | Результаты симуляции |
|---|---|---|
1 | 0 | Общее количество Никакие дозы не применяются в процессе моделирования. |
1 | 1 | Общее количество Данная строка доз применяется во время симуляции. |
1 | N | Общее количество Каждая строка |
N | 0 | Общее количество Никакие дозы не применяются в процессе моделирования. |
N | 1 | Общее количество Та же строка доз применяется к каждой симуляции. |
| N | N | Общее количество Каждая строка |
| M | N | Функция выдает ошибку когда M ≠ N. |
parameterEstimates — Предполагаемые значения параметровПредполагаемые значения параметров используются для предсказанных результатов симуляции, возвращенных как таблица.
Если 'ParameterType' 'individual', значения параметров, о которых сообщают, идентичны значениям в resultsObj.IndividualParameterEstimates свойство. Однако, если data содержит новые группы, затем только оценки параметра населения (зафиксированные эффекты) используются для этих групп. Соответствующие значения, о которых сообщают, в parameterEstimates поскольку эти группы идентичны значениям в resultsObj.PopulationParameterEstimates.
Если 'ParameterType' 'population', значения параметров, о которых сообщают, идентичны значениям в resultsObj.PopulationParameterEstimates свойство, если вы не указываете новую ковариационную информацию в data. Смотрите value описание аргумента для деталей.
Если data вектор или массив ячеек векторов выходных времен, значения параметров, о которых сообщают, идентичны значениям в resultsObj.PopulationParameterEstimates. Кроме того, группы сообщили, представляют перечисление выполняемых симуляций и не связаны с названиями группы в исходной подгонке.
CovariateModel object | NLMEResults object | sbiofitmixed | sbiosampleerror | sbiosampleparameters
У вас есть модифицированная версия этого примера. Вы хотите открыть этот пример со своими редактированиями?
1. Если смысл перевода понятен, то лучше оставьте как есть и не придирайтесь к словам, синонимам и тому подобному. О вкусах не спорим.
2. Не дополняйте перевод комментариями “от себя”. В исправлении не должно появляться дополнительных смыслов и комментариев, отсутствующих в оригинале. Такие правки не получится интегрировать в алгоритме автоматического перевода.
3. Сохраняйте структуру оригинального текста - например, не разбивайте одно предложение на два.
4. Не имеет смысла однотипное исправление перевода какого-то термина во всех предложениях. Исправляйте только в одном месте. Когда Вашу правку одобрят, это исправление будет алгоритмически распространено и на другие части документации.
5. По иным вопросам, например если надо исправить заблокированное для перевода слово, обратитесь к редакторам через форму технической поддержки.