Класс: ClassificationLinear
Ребро классификации для линейных моделей классификации
возвращает ребра классификации для обученного линейного классификатора e = edge(Mdl,Tbl,ResponseVarName)Mdl использование данных о предикторе в Tbl и класс помечает в Tbl.ResponseVarName.
задает опции с помощью одного или нескольких аргументов пары "имя-значение" в дополнение к любой из комбинаций входных аргументов в предыдущих синтаксисах. Например, можно указать, что столбцы в данных о предикторе соответствуют наблюдениям или предоставляют веса наблюдения.e = edge(___,Name,Value)
Mdl — Двоичный файл, линейная модель классификацииClassificationLinear объект моделиДвоичный файл, линейная модель классификации в виде ClassificationLinear объект модели. Можно создать ClassificationLinear использование объекта модели fitclinear.
X — Данные о предиктореДанные о предикторе в виде n-by-p полная или разреженная матрица. Эта ориентация X указывает, что строки соответствуют отдельным наблюдениям, и столбцы соответствуют отдельным переменным предикторам.
Примечание
Если вы ориентируете свою матрицу предиктора так, чтобы наблюдения соответствовали столбцам и задали 'ObservationsIn','columns', затем вы можете испытать значительное сокращение во время вычисления.
Длина Y и количество наблюдений в X должно быть равным.
Типы данных: single | double
Y — Метки классаКласс помечает в виде категориального, символа, или массива строк, логического или числового вектора или массива ячеек из символьных векторов.
Тип данных Y должен совпасть с типом данных Mdl.ClassNames. (Программное обеспечение обрабатывает строковые массивы как массивы ячеек из символьных векторов.)
Отличные классы в Y должно быть подмножество Mdl.ClassNames.
Если Y символьный массив, затем каждый элемент должен соответствовать одной строке массива.
Длина Y должно быть равно количеству наблюдений в X или Tbl.
Типы данных: categorical | char | string | logical | single | double | cell
Tbl — Выборочные данныеВыборочные данные раньше обучали модель в виде таблицы. Каждая строка Tbl соответствует одному наблюдению, и каждый столбец соответствует одному переменному предиктору. Опционально, Tbl может содержать дополнительные столбцы для весов наблюдения и переменной отклика. Tbl должен содержать все предикторы, используемые, чтобы обучить Mdl. Многостолбцовые переменные и массивы ячеек кроме массивов ячеек из символьных векторов не позволены.
Если Tbl содержит переменную отклика, используемую, чтобы обучить Mdl, затем вы не должны задавать ResponseVarName или Y.
Если вы обучаете Mdl использование выборочных данных, содержавшихся в таблице, затем входные данные для edge должен также быть в таблице.
ResponseVarName — Имя переменной откликаTblИмя переменной отклика в виде имени переменной в Tbl. Если Tbl содержит переменную отклика, используемую, чтобы обучить Mdl, затем вы не должны задавать ResponseVarName.
Если вы задаете ResponseVarName, затем необходимо задать его как вектор символов или строковый скаляр. Например, если переменная отклика хранится как Tbl.Y, затем задайте ResponseVarName как 'Y'. В противном случае программное обеспечение обрабатывает все столбцы Tbl, включая Tbl.Y, как предикторы.
Переменная отклика должна быть категориальным, символом, или массивом строк, логическим или числовым вектором или массивом ячеек из символьных векторов. Если переменная отклика является символьным массивом, то каждый элемент должен соответствовать одной строке массива.
Типы данных: char | string
Задайте дополнительные разделенные запятой пары Name,Value аргументы. Name имя аргумента и Value соответствующее значение. Name должен появиться в кавычках. Вы можете задать несколько аргументов в виде пар имен и значений в любом порядке, например: Name1, Value1, ..., NameN, ValueN.
'ObservationsIn' — Размерность наблюдения данных о предикторе'rows' (значение по умолчанию) | 'columns'Размерность наблюдения данных о предикторе в виде разделенной запятой пары, состоящей из 'ObservationsIn' и 'columns' или 'rows'.
Примечание
Если вы ориентируете свою матрицу предиктора так, чтобы наблюдения соответствовали столбцам и задали 'ObservationsIn','columns', затем вы можете испытать значительное сокращение во время выполнения оптимизации. Вы не можете задать 'ObservationsIn','columns' для данных о предикторе в таблице.
'Weights' — Веса наблюденияones(size(X,1),1) (значение по умолчанию) | числовой вектор | имя переменной в TblВеса наблюдения в виде разделенной запятой пары, состоящей из 'Weights' и числовой вектор или имя переменной в Tbl.
Если вы задаете Weights как числовой вектор, затем размер Weights должно быть равно количеству наблюдений в X или Tbl.
Если вы задаете Weights как имя переменной в Tbl, затем имя должно быть вектором символов или строковым скаляром. Например, если веса хранятся как Tbl.W, затем задайте Weights как 'W'. В противном случае программное обеспечение обрабатывает все столбцы Tbl, включая Tbl.W, как предикторы.
Если вы предоставляете веса, то для каждой силы регуляризации, edge вычисляет взвешенное ребро классификации и нормирует веса, чтобы суммировать до значения априорной вероятности в соответствующем классе.
Типы данных: double | single
e — Ребра классификацииРебра классификации, возвращенные в виде числа или вектора-строки.
e одного размера с Mdl.Lambda. e ( ребро классификации линейной модели классификации, обученной с помощью силы регуляризации j)Mdl. Lambda (.j)
Загрузите набор данных NLP.
load nlpdataX разреженная матрица данных о предикторе и Y категориальный вектор из меток класса. В данных существует больше чем два класса.
Модели должны идентифицировать, являются ли подсчеты слов в веб-странице из документации Statistics and Machine Learning Toolbox™. Так, идентифицируйте метки, которые соответствуют веб-страницам документации Statistics and Machine Learning Toolbox™.
Ystats = Y == 'stats';Обучите двоичный файл, линейная модель классификации, которая может идентифицировать, являются ли подсчеты слов в веб-странице документации из документации Statistics and Machine Learning Toolbox™. Задайте к затяжке 30% наблюдений. Оптимизируйте использование целевой функции SpaRSA.
rng(1); % For reproducibility CVMdl = fitclinear(X,Ystats,'Solver','sparsa','Holdout',0.30); CMdl = CVMdl.Trained{1};
CVMdl ClassificationPartitionedLinear модель. Это содержит свойство Trained, который является массивом ячеек 1 на 1, содержащим ClassificationLinear модель, что программное обеспечение обучило использование набора обучающих данных.
Извлеките обучение и тестовые данные из определения раздела.
trainIdx = training(CVMdl.Partition); testIdx = test(CVMdl.Partition);
Оцените обучение - и демонстрационные тестом ребра.
eTrain = edge(CMdl,X(trainIdx,:),Ystats(trainIdx))
eTrain = 15.6660
eTest = edge(CMdl,X(testIdx,:),Ystats(testIdx))
eTest = 15.4767
Один способ выполнить выбор признаков состоит в том, чтобы сравнить демонстрационные тестом ребра от многоуровневых моделей. Базирующийся только на этом критерии, классификатор с самым высоким ребром является лучшим классификатором.
Загрузите набор данных NLP.
load nlpdataX разреженная матрица данных о предикторе и Y категориальный вектор из меток класса. В данных существует больше чем два класса.
Модели должны идентифицировать, являются ли подсчеты слов в веб-странице из документации Statistics and Machine Learning Toolbox™. Так, идентифицируйте метки, которые соответствуют веб-страницам документации Statistics and Machine Learning Toolbox™. В течение более быстрого времени выполнения ориентируйте данные о предикторе так, чтобы отдельные наблюдения соответствовали столбцам.
Ystats = Y == 'stats'; X = X'; rng(1); % For reproducibility
Создайте раздел данных, который протягивает 30% наблюдений для тестирования.
Partition = cvpartition(Ystats,'Holdout',0.30); testIdx = test(Partition); % Test-set indices XTest = X(:,testIdx); YTest = Ystats(testIdx);
Partition cvpartition объект, который задает раздел набора данных.
Случайным образом выберите половину переменных предикторов.
p = size(X,1); % Number of predictors
idxPart = randsample(p,ceil(0.5*p));Обучите два двоичных файла, линейные модели классификации: тот, который использует все предикторы и тот, который использует половину предикторов. Оптимизируйте использование целевой функции SpaRSA и укажите, что наблюдения соответствуют столбцам.
CVMdl = fitclinear(X,Ystats,'CVPartition',Partition,'Solver','sparsa',... 'ObservationsIn','columns'); PCVMdl = fitclinear(X(idxPart,:),Ystats,'CVPartition',Partition,'Solver','sparsa',... 'ObservationsIn','columns');
CVMdl и PCVMdl ClassificationPartitionedLinear модели.
Извлеките обученный ClassificationLinear модели из перекрестных подтвержденных моделей.
CMdl = CVMdl.Trained{1};
PCMdl = PCVMdl.Trained{1};Оцените тестовое демонстрационное ребро для каждого классификатора.
fullEdge = edge(CMdl,XTest,YTest,'ObservationsIn','columns')
fullEdge = 15.4767
partEdge = edge(PCMdl,XTest(idxPart,:),YTest,'ObservationsIn','columns')
partEdge = 13.4458
На основе демонстрационных тестом ребер классификатор, который использует все предикторы, является лучшей моделью.
Чтобы определить хорошую силу штрафа лассо для линейной модели классификации, которая использует ученика логистической регрессии, сравните демонстрационные тестом ребра.
Загрузите набор данных NLP. Предварительно обработайте данные как в Выборе признаков Используя Демонстрационные Тестом Ребра.
load nlpdata Ystats = Y == 'stats'; X = X'; Partition = cvpartition(Ystats,'Holdout',0.30); testIdx = test(Partition); XTest = X(:,testIdx); YTest = Ystats(testIdx);
Создайте набор 11 логарифмически распределенных сильных мест регуляризации от через .
Lambda = logspace(-8,1,11);
Обучите двоичный файл, линейные модели классификации, которые используют каждые из сильных мест регуляризации. Оптимизируйте использование целевой функции SpaRSA. Понизьте допуск на градиент целевой функции к 1e-8.
rng(10); % For reproducibility CVMdl = fitclinear(X,Ystats,'ObservationsIn','columns',... 'CVPartition',Partition,'Learner','logistic','Solver','sparsa',... 'Regularization','lasso','Lambda',Lambda,'GradientTolerance',1e-8)
CVMdl =
ClassificationPartitionedLinear
CrossValidatedModel: 'Linear'
ResponseName: 'Y'
NumObservations: 31572
KFold: 1
Partition: [1x1 cvpartition]
ClassNames: [0 1]
ScoreTransform: 'none'
Properties, Methods
Извлеките обученную линейную модель классификации.
Mdl = CVMdl.Trained{1}Mdl =
ClassificationLinear
ResponseName: 'Y'
ClassNames: [0 1]
ScoreTransform: 'logit'
Beta: [34023x11 double]
Bias: [1x11 double]
Lambda: [1x11 double]
Learner: 'logistic'
Properties, Methods
Mdl ClassificationLinear объект модели. Поскольку Lambda последовательность сильных мест регуляризации, можно думать о Mdl как 11 моделей, один для каждой силы регуляризации в Lambda.
Оцените демонстрационные тестом ребра.
e = edge(Mdl,X(:,testIdx),Ystats(testIdx),'ObservationsIn','columns')
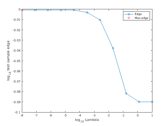
e = 1×11
0.9986 0.9986 0.9986 0.9986 0.9986 0.9932 0.9764 0.9169 0.8283 0.8128 0.8128
Поскольку существует 11 сильных мест регуляризации, e вектор 1 на 11 из ребер.
Постройте демонстрационные тестом ребра для каждой силы регуляризации. Идентифицируйте силу регуляризации, которая максимизирует ребра по сетке.
figure; plot(log10(Lambda),log10(e),'-o') [~, maxEIdx] = max(e); maxLambda = Lambda(maxEIdx); hold on plot(log10(maxLambda),log10(e(maxEIdx)),'ro'); ylabel('log_{10} test-sample edge') xlabel('log_{10} Lambda') legend('Edge','Max edge') hold off

Несколько значений Lambda выражение столь же высокие ребра. Более высокие значения lambda приводят к разреженности переменного предиктора, которая является хорошим качеством классификатора.
Выберите силу регуляризации, которая происходит непосредственно перед тем, как ребро начинает уменьшаться.
LambdaFinal = Lambda(5);
Обучите линейную модель классификации использование целого набора данных и задайте силу регуляризации, дающую к максимальному ребру.
MdlFinal = fitclinear(X,Ystats,'ObservationsIn','columns',... 'Learner','logistic','Solver','sparsa','Regularization','lasso',... 'Lambda',LambdaFinal);
Чтобы оценить метки для новых наблюдений, передайте MdlFinal и новые данные к predict.
classification edge является взвешенным средним classification margins.
Один способ выбрать среди нескольких классификаторов, например, выполнить выбор признаков, состоит в том, чтобы выбрать классификатор, который дает к самому большому ребру.
classification margin для бинарной классификации, для каждого наблюдения, различия между классификационной оценкой для истинного класса и классификационной оценкой для ложного класса.
Программное обеспечение задает поле классификации для бинарной классификации как
x является наблюдением. Если истинная метка x является положительным классом, то y равняется 1, и –1 в противном случае. f (x) является классификационной оценкой положительного класса для наблюдения x. Поле классификации обычно задается как m = y f (x).
Если поля находятся по той же шкале, то они служат мерой по доверию классификации. Среди нескольких классификаторов те, которые дают к большим полям, лучше.
Для линейных моделей классификации, необработанного classification score для классификации наблюдения x, вектор-строка, в положительный класс задан
Для модели с силой регуляризации j, предполагаемый вектор-столбец коэффициентов (свойство Beta(:,j) модели) и предполагаемое, скалярное смещение (свойство Bias(j) модели).
Необработанная классификационная оценка для классификации x в отрицательный класс является –f (x). Программное обеспечение классифицирует наблюдения в класс, который дает к положительному счету.
Если линейная модель классификации состоит из учеников логистической регрессии, то программное обеспечение применяет 'logit' выиграйте преобразование к необработанным классификационным оценкам (см. ScoreTransform).
По умолчанию веса наблюдения являются предшествующими вероятностями класса. Если вы предоставляете веса с помощью Weights, затем программное обеспечение нормирует их, чтобы суммировать к априорным вероятностям в соответствующих классах. Программное обеспечение использует нормированные веса, чтобы оценить взвешенное ребро.
Указания и ограничения по применению:
edge не поддерживает высокий table данные.
Для получения дополнительной информации см. Раздел "Высокие массивы".
У вас есть модифицированная версия этого примера. Вы хотите открыть этот пример со своими редактированиями?
1. Если смысл перевода понятен, то лучше оставьте как есть и не придирайтесь к словам, синонимам и тому подобному. О вкусах не спорим.
2. Не дополняйте перевод комментариями “от себя”. В исправлении не должно появляться дополнительных смыслов и комментариев, отсутствующих в оригинале. Такие правки не получится интегрировать в алгоритме автоматического перевода.
3. Сохраняйте структуру оригинального текста - например, не разбивайте одно предложение на два.
4. Не имеет смысла однотипное исправление перевода какого-то термина во всех предложениях. Исправляйте только в одном месте. Когда Вашу правку одобрят, это исправление будет алгоритмически распространено и на другие части документации.
5. По иным вопросам, например если надо исправить заблокированное для перевода слово, обратитесь к редакторам через форму технической поддержки.