Обобщенные вейвлеты Морзе являются семейством точно аналитических вейвлетов. Аналитические вейвлеты являются вейвлетами с комплексным знаком, преобразования Фурье которых поддерживаются только на положительной вещественной оси. Они полезны для анализа модулируемых сигналов, которые являются сигналами с изменяющейся во времени амплитудой и частотой. Они также полезны для анализа локализованных разрывов. Оригинальной бумагой для обобщенных вейвлетов Морзе является Олхед и Уолден [1]. Теория вейвлетов Морзе и их приложения к анализу модулируемых сигналов далее разрабатываются в ряду статей Лилли и Олхеда [2], [3], и [4]. Эффективные алгоритмы для расчета вейвлетов Морзе и их свойств были разработаны Лилли [5].
Преобразование Фурье обобщенного вейвлета Морзе
где U(ω) является модульным шагом, постоянная нормализация, P 2 является продуктом пропускной способности времени, и характеризует симметрию вейвлета Морзе. Большая часть литературы об использовании вейвлетов Морзе , который может быть просмотрен как затухание или параметр компактности, а не продукт пропускной способности времени, . Уравнение для вейвлета Морзе в области Фурье, параметрированной и
Для подробного объяснения параметризации вейвлетов Морзе см. [2].
Путем корректировки продукта пропускной способности времени и параметров симметрии вейвлета Морзе, можно получить аналитические вейвлеты с различными свойствами и поведением. Сила вейвлетов Морзе - то, что много обычно используемых аналитических вейвлетов являются особыми случаями обобщенного вейвлета Морзе. Например, вейвлеты Коши имеют = 1 и вейвлеты функции Бесселя аппроксимированы = 8 и = 0.25. См. обобщенную азбуку Морзе и аналитические вейвлеты Morlet.
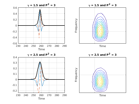
Как ранее упомянуто, вейвлеты Морзе имеют два параметра, симметрию и продукт пропускной способности времени, которые определяют, вейвлет формируют и влияют на поведение преобразования. Гамма параметр вейвлета Морзе, , управляет симметрией вейвлета вовремя через демодулировать скошенность [2]. Квадратный корень из продукта пропускной способности времени, P, пропорционален длительности вейвлета вовремя. Для удобства, вейвлетов Морзе в cwt и cwtfilterbank параметрируются как продукт пропускной способности времени и гамма. Длительность определяет, сколько колебаний может поместиться в центральное окно вейвлета временного интервала на его пиковой частоте. Пиковая частота .
(Демодулировать) скошенность вейвлета Морзе равна 0, когда гамма равна 3. Вейвлеты Морзе также имеют минимальную Гейзенберговскую область, когда гамма равна 3. По этим причинам, cwt и cwtfilterbank используйте это в качестве значения по умолчанию.
Эти графики показывают, как различные значения симметрии и пропускной способности времени влияют на форму вейвлета Морзе. Более длинная пропускная способность времени расширяет центральный фрагмент вейвлета и увеличивает уровень долговременного затухания. Увеличение симметрии расширяет конверт вейвлета, но не влияет на долговременное затухание. Для значений симметрии, меньше чем или равных 3, увеличения затухания времени, когда увеличивается пропускная способность времени. Для симметрии, больше, чем или равный 3, уменьшая пропускную способность времени, делает вейвлет менее симметричным. И как симметрия и как увеличение пропускной способности времени, вейвлет колеблется больше вовремя и сужается в частоте. Очень маленькая пропускная способность времени и большие значения симметрии производят нежелательные боковые лепестки временного интервала и асимметрию частотного диапазона.
В графиках временного интервала в левом столбце красная линия является действительной частью, и синяя линия является мнимой частью. Контурные графики в правом столбце показывают, как параметры влияют на распространение вовремя и частоту.


Коэффициенты от вейвлета преобразовывают использование аналитического вейвлета на действительном сигнале, пропорциональны коэффициентам соответствующего аналитического сигнала. Аналитический сигнал задан как обратное преобразование Фурье
Значение аналитического сигнала зависит от ω.
Для ω> 0, преобразование Фурье аналитического сигнала является два раза преобразованием Фурье соответствующего неаналитического сигнала,.
Для ω = 0, преобразование Фурье аналитического сигнала равно преобразованию Фурье соответствующего неаналитического сигнала.
Для ω <0, исчезает преобразование Фурье аналитического сигнала.
Пусть обозначьте преобразование вейвлета сигнала, f(t), при переводе u и масштабируйте s. Если вейвлет анализа аналитичен, вы получаете , где fa(t) является аналитическим сигналом, соответствующим f(t). Для всех вейвлетов, используемых в cwt, амплитуда полосового фильтра вейвлета на пиковой частоте для каждой шкалы установлена в 2. Кроме того, cwt использование нормализация L1. Для синусоидального входа с действительным знаком с частотой радиана ω0 и амплитудный A, вейвлет преобразовывает использование аналитических коэффициентов выражений вейвлета, которые колеблются на той же частоте, ω0, с амплитудой, равной . Путем изоляции коэффициентов в шкале, , пиковая величина 2 гарантирует, что анализируемый колебательный компонент имеет правильную амплитуду, A.
В этом примере показано, как аналитическое преобразование вейвлета действительного сигнала аппроксимирует соответствующий аналитический сигнал.
Это продемонстрировано с помощью синусоиды. Если вы получаете преобразование вейвлета синусоиды с помощью аналитического вейвлета и извлекаете коэффициенты вейвлета в шкале, соответствующей частоте синусоиды, коэффициенты аппроксимируют аналитический сигнал. Для синусоиды аналитический сигнал является комплексной экпонентой той же частоты.
Создайте синусоиду с частотой 50 Гц.
t = 0:.001:1; x = cos(2*pi*50*t);
Получите его непрерывный вейвлет, преобразовывают использование аналитического вейвлета Морзе и аналитического сигнала. У вас должен быть Signal Processing Toolbox™, чтобы использовать hilbert.
[wt,f] = cwt(x,1000,'voices',32,'ExtendSignal',false); analytsig = hilbert(x);
Получите коэффициенты вейвлета в шкале, самой близкой к частоте синусоиды 50 Гц.
[~,idx] = min(abs(f-50)); morsecoefx = wt(idx,:);
Сравните действительные и мнимые части аналитического сигнала с коэффициентами вейвлета на частоте сигнала.
figure; plot(t,[real(morsecoefx)' real(analytsig)']); title('Real Parts'); ylim([-2 2]); grid on; legend('Wavelet Coefficients','Analytic Signal','Location','SouthEast'); xlabel('Time'); ylabel('Amplitude');

figure; plot(t,[imag(morsecoefx)' imag(analytsig)']); title('Imaginary Parts'); ylim([-2 2]); grid on; legend('Wavelet Coefficients','Analytic Signal','Location','SouthEast'); xlabel('Time'); ylabel('Amplitude');

cwt использование нормализация L1 и шкалы полосовые фильтры вейвлета, чтобы иметь пиковую величину 2. Фактор 1/2 в вышеупомянутом уравнении отменяется пиковым значением величины.
Вейвлет преобразовывает, представляет локализованную частотой фильтрацию сигнала. Соответственно, коэффициенты CWT менее чувствительны к шуму, чем коэффициенты преобразования Гильберта.
Добавьте highpass шум в сигнал и вновь исследуйте коэффициенты вейвлета и аналитический сигнал.
y = x + filter(1,[1 0.9],0.1*randn(size(x))); analytsig = hilbert(y); [wt,f] = cwt(y,1000,'voices',32,'ExtendSignal',0); morsecoefy = wt(idx,:); figure; plot(t,[real(analytsig)' x']); legend('Analytic Signal','Original Signal'); grid on; xlabel('Time'); ylabel('Amplitude'); ylim([-2 2])

figure; plot(t,[real(morsecoefy)' x']); legend('Wavelet Coefficients','Original Signal'); grid on; xlabel('Time'); ylabel('Amplitude'); ylim([-2 2])

Для лучших результатов при использовании CWT используйте симметрию, , из 3, который является значением по умолчанию для cwt и cwtfilterbank. С зафиксированной гаммой, увеличивая продукт пропускной способности времени сужается вейвлет просачиваются частота при увеличении ширины центрального фрагмента фильтра вовремя. Это также увеличивает число колебаний вейвлета под центральным фрагментом фильтра.
[1] Olhede, S. C. и А. Т. Уолден. “Обобщенные вейвлеты азбуки Морзе”. Транзакции IEEE на Обработке сигналов, Издании 50, № 11, 2002, стр 2661-2670.
[2] Лилли, J. M. и С. К. Олхед. “Свойства высшего порядка аналитических вейвлетов”. Транзакции IEEE на Обработке сигналов, Издании 57, № 1, 2009, стр 146-160.
[3] Лилли, J. M. и С. К. Олхед. “На аналитическом вейвлете преобразовывают”. Транзакции IEEE на Теории информации, Издании 56, № 8, 2010, стр 4135–4156.
[4] Лилли, J. M. и С. К. Олхед. “Обобщенные вейвлеты Азбуки Морзе как суперсемейство аналитических вейвлетов”. Транзакции IEEE на Издании 60 Обработки сигналов, № 11, 2012, стр 6036-6041.
[5] Лилли, J. M. jLab: пакет анализа данных для MATLAB, версии 1.6.2., 2016. http://www.jmlilly.net/jmlsoft.html.
[6] Лилли, J. M. “Элементный анализ: основанный на вейвлете метод для анализа локализованных временем событий в шумных временных рядах”. Продолжения Королевского общества A. Объем 473: 20160776, 2017, стр 1–28. dx.doi.org/10.1098/rspa.2016.0776.