exponenta event banner

maboxplot

Создайте диаграмму для микроданных массива

Синтаксис

maboxplot(MAData)
maboxplot(MAData, ColumnName)
maboxplot(MAStruct, FieldName)
H = maboxplot(...)
[H, HLines] = maboxplot(...)
maboxplot(..., 'Title', TitleValue, ...)
maboxplot(..., 'Notch', NotchValue, ...)
maboxplot(..., 'Symbol', SymbolValue, ...)
maboxplot(..., 'Orientation', OrientationValue, ...)
maboxplot(..., 'WhiskerLength', WhiskerLengthValue, ...)
maboxplot(..., 'BoxPlot', BoxPlotValue, ...)

Аргументы

MAData Объект DataMatrix, числовой массив или структура, содержащая поле под названием Data. Значения в столбцах MAData будет использоваться, чтобы создать диаграммы. Если объект DataMatrix, имена столбцов используются в качестве меток в диаграмме.
ColumnName Массив имен столбцов, соответствующих данным в MAData используемый в качестве меток в диаграмме.
MAStructСтруктура микроданных массива.
FieldNameПоле в структуре микроданных массива, MAStruct. Значения в поле FieldName будет использоваться, чтобы создать диаграммы.
TitleValueВектор символов или строка, чтобы использовать в качестве заголовка для графика. Заголовком по умолчанию является FieldName.
NotchValue

Логическое определение типа чертивших полей. Выбор:

  • true — С пазами поля

  • false — Квадратные поля

Значением по умолчанию является false.
OrientationValue

Вектор символов или строка, задающая ориентацию диаграммы. Выбор:

  • 'Vertical'

  • 'Horizontal' (значение по умолчанию)

WhiskerLengthValueЗначение, задающее максимальную длину контактных усиков в зависимости от межквартильного размаха (IQR). Контактный усик расширяет к самому экстремальному значению данных в WhiskerLengthValueiqr из поля. Значение по умолчанию = 1.5. Если WhiskerLengthValue equals 0, затем maboxplot отображения все значения данных вне поля, с помощью символа графического вывода Symbol.
BoxPlotValue

Массив ячеек имени свойства / пары значения свойства, чтобы передать Statistics and Machine Learning Toolbox™ boxplot функция, которая создает диаграмму. Для допустимых пар смотрите boxplot функция.

Описание

maboxplot(MAData) отображает диаграмму значений в столбцах MAData. MAData может быть объект DataMatrix, числовой массив или структура, содержащая поле под названием Data, содержа микроданные массива.

maboxplot(MAData, ColumnName) помечает имена столбцов диаграммы.

maboxplot(MAStruct, FieldName) отображает диаграмму значений в поле FieldName в структуре микроданных массива MAStruct. Если MAStruct базирующийся блок, maboxplot создает диаграмму значений в поле FieldName для каждого блока.

Примечание

Если вы обеспечиваете MAStruct, не обеспечивая FieldName, maboxplot использует Signal элемент в ColumnNames поле MAStruct, если Affymetrix®data или первый элемент в ColumnNames поле MAStruct, в противном случае.

H = maboxplot(...) возвращает указатель осей диаграммы.

[H, HLines] = maboxplot(...) возвращается указатели линий раньше разделяли различные блоки в изображении.

maboxplot (..., 'PropertyName', PropertyValue, ...) вызовы maboxplot с дополнительными свойствами, которые используют имя свойства / пары значения свойства. Можно задать одно или несколько свойств в любом порядке. Каждый PropertyName должен быть заключен в одинарные кавычки и нечувствительный к регистру. Это имя свойства / пары значения свойства следующие:

maboxplot(..., 'Title', TitleValue, ...) позволяет вам задавать заголовок графика. TitleValue по умолчанию FieldName.

maboxplot(..., 'Notch', NotchValue, ...) если NotchValue true, чертит отмеченные поля. Значением по умолчанию является false показать квадратные поля.

maboxplot(..., 'Symbol', SymbolValue, ...) позволяет вам задавать символ, используемый для значений выброса. Symbol по умолчанию '+'.

maboxplot(..., 'Orientation', OrientationValue, ...) позволяет вам задавать ориентацию диаграммы. Выбором является 'Vertical' и 'Horizontal'. Значение по умолчанию is 'Vertical'.

maboxplot(..., 'WhiskerLength', WhiskerLengthValue, ...) позволяет вам задавать длину контактного усика для диаграммы. WhiskerLengthValue задает максимальную длину контактных усиков в зависимости от межквартильного размаха (IQR) (значение по умолчанию = 1.5). Контактный усик расширяет к самому экстремальному значению данных в WhiskerLength*IQR из поля. Если WhiskerLengthValue равняется 0, затем maboxplot отображения все значения данных вне поля, с помощью символа графического вывода Symbol.

maboxplot(..., 'BoxPlot', BoxPlotValue, ...) позволяет вам задавать аргументы, чтобы передать boxplot функция, которая создает диаграмму. BoxPlotValue массив ячеек имени свойства / пары значения свойства. Для допустимых пар смотрите boxplot функция.

Примеры

свернуть все

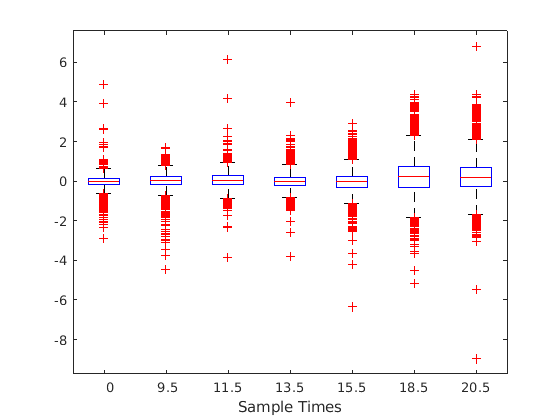
В этом примере показано, как отобразить диаграммы для микроданных массива.

Загрузите MAT-файл, которому предоставляют программное обеспечение Bioinformatics Toolbox™, которое содержит данные о дрожжах. Этот MAT-файл включает три переменные: yeastvalues , матрица данных об экспрессии гена, genes , массив ячеек инвентарных номеров GenBank® для маркировки строк в yeastvalues и times , вектор из временных стоимостей для маркировки столбцов в yeastvalues.

load yeastdata

Покажите диаграмму данных об экспрессии гена.

maboxplot(yeastvalues,times);
xlabel('Sample Times');

Figure contains an axes. The axes contains 49 objects of type line.

Используйте gprread функция, чтобы создать структуру, содержащую микроданные массива и построить аргументы пары "имя-значение" использования данных maboxplot функция.

madata = gprread('mouse_a1wt.gpr');
maboxplot(madata,'F635 Median - B635','TITLE', 'Cy5 Channel FG - BG');

Figure contains an axes. The axes with title Cy5 Channel FG - BG contains 56 objects of type line.

Смотрите также

| | | | | | |

Представлено до R2006a