Интересные места для линейного анализа
AP = AnalysisPoint(name)
AP = AnalysisPoint(name,N)
AnalysisPoint Блок Системы управления для маркировки местоположения в модели системы управления как интересное место для линейного анализа и контроллера, настраивающегося. Можно объединить AnalysisPoint блокируйтесь с числовыми моделями LTI, настраиваемыми моделями LTI и другими Блоками Системы управления, чтобы создать настраиваемые модели систем управления. AnalysisPoint местоположения доступны для анализа с командами такой как getIOTransfer или getLoopTransfer. Такие местоположения также доступны для определения целей проекта по настройке системы управления.
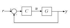
Например, рассмотрите следующую систему управления.

Предположим, что вы интересуетесь эффектами воздействия, введенного в u в этой системе управления. Вставка AnalysisPoint блокируйтесь в местоположении, u сопоставляет подразумеваемый вход, подразумеваемый выход и опцию, чтобы открыть цикл в том местоположении, как в следующей схеме.

Предположим тот T модель системы управления включая AnalysisPoint блок, AP_u. В этом случае, команда getIOTransfer(T,'AP_u','y') возвращает модель передаточной функции с обратной связью от u до y. Аналогично, команда getLoopTransfer(T,'AP_u',-1) возвращает модель ответа разомкнутого контура отрицательной обратной связи, CG, измеренного в местоположении u.
AnalysisPoint блоки также полезны при настройке настройки использования системы управления команды, такие как systune. Можно использовать AnalysisPoint блокируйтесь, чтобы отметить открывающее цикл местоположение для настраивающих требований разомкнутого контура, таких как TuningGoal.LoopShape или TuningGoal.Margins. Можно также использовать AnalysisPoint блокируйтесь, чтобы отметить заданный ввод или вывод для настройки требований, таких как TuningGoal.Gain. Например, Req = TuningGoal.Margins('AP_u',5,40) ограничивает запасы по амплитуде и фазе в местоположении u.
Можно создать AnalysisPoint блоки явным образом с помощью AnalysisPoint команда и соединяет их с другими компонентами блок-схемы с помощью команд соединения моделей. Например, следующий код создает модель системы, проиллюстрированной выше. (См. Конструкцию и Примеры ниже для получения дополнительной информации.)
G = tf(1,[1 2]); C = tunablePID('C','pi'); AP_u = AnalysisPoint('u'); T = feedback(G*AP_u*C,1); % closed loop r->y
Можно также создать аналитические точки неявно, с помощью connect команда. Следующий синтаксис создает модель динамической системы с аналитическими точками путем соединения многоуровневых моделей sys1,sys2,...,sysN:
sys = connect(sys1,sys2,...,sysN,inputs,outputs,APs);
APs перечисляет местоположения сигнала, в которых можно вставить аналитические точки. Программное обеспечение автоматически создает и вставляет AnalysisPoint блокируйтесь с каналами, соответствующими этим местоположениям. Смотрите connect для получения дополнительной информации.
создает одноканальную аналитическую точку. Вставьте AP = AnalysisPoint(name)AP где угодно в обобщенной модели вашей системы управления, чтобы отметить интересное место для линейного анализа или контроллера, настраивающегося. name задает имя блока.
создает многоканальную аналитическую точку с AP = AnalysisPoint(name,N)N каналы. Используйте этот блок, чтобы отметить сигнал с векторным знаком как интересное место или связать вместе несколько интересных мест.
|
Аналитическая точка называет в виде вектора символов, такого как |
|
Количество каналов для многоканального анализа указывает в виде скалярного целого числа. |
|
Имена каналов в По умолчанию каналы аналитической точки называют в честь |
|
Открывающее цикл состояние в виде логического значения или вектора из логических значений. Это дорожки свойства, открыт ли цикл или закрывается в аналитической точке. Например, рассмотрите обратную связь следующего рисунка.
Можно смоделировать эту обратную связь можно следующим образом. G = tf(1,[1 2]); C = tunablePID('C','pi'); X = AnalysisPoint('X'); T = feedback(G*C,X); Можно получить передаточную функцию от r до y с обратной связью, открытой в X можно следующим образом. Try = getIOTransfer(T,'r','y','X'); В получившемся обобщенном пространстве состояний ( Для многоканальной аналитической точки, затем Значение по умолчанию: 0 для всех каналов |
|
Размер шага. Для Значение по умолчанию: |
|
Модули для переменной времени, шаг расчета
Изменение этого свойства не оказывает влияния на другие свойства, и поэтому изменяет полное поведение системы. Использование Значение по умолчанию: |
|
Введите названия канала в виде одного из следующего:
В качестве альтернативы используйте автоматическое векторное расширение, чтобы присвоить входные имена для мультивходных моделей. Например, если sys.InputName = 'controls'; Входные имена автоматически расширяются до Можно использовать краткое обозначение Входные названия канала имеют несколько использования, включая:
Значение по умолчанию: |
|
Введите модули канала в виде одного из следующего:
Используйте Значение по умолчанию: |
|
Введите группы канала. sys.InputGroup.controls = [1 2]; sys.InputGroup.noise = [3 5]; создает входные группы под названием sys(:,'controls') Значение по умолчанию: Struct без полей |
|
Выведите названия канала в виде одного из следующего:
В качестве альтернативы используйте автоматическое векторное расширение, чтобы присвоить выходные имена для мультивыходных моделей. Например, если sys.OutputName = 'measurements'; Выходные имена автоматически расширяются до Можно использовать краткое обозначение Выходные названия канала имеют несколько использования, включая:
Значение по умолчанию: |
|
Выведите модули канала в виде одного из следующего:
Используйте Значение по умолчанию: |
|
Выведите группы канала. sys.OutputGroup.temperature = [1]; sys.InputGroup.measurement = [3 5]; создает выходные группы под названием sys('measurement',:)Значение по умолчанию: Struct без полей |
|
Имя системы в виде вектора символов. Например, Значение по умолчанию: |
|
Любой текст, который вы хотите сопоставить с системой, сохраненной как строка или массив ячеек из символьных векторов. Свойство хранит, какой бы ни тип данных вы обеспечиваете. Например, если sys1.Notes = "sys1 has a string."; sys2.Notes = 'sys2 has a character vector.'; sys1.Notes sys2.Notes
ans =
"sys1 has a string."
ans =
'sys2 has a character vector.'
Значение по умолчанию: |
|
Любой тип данных вы хотите сопоставить с системой в виде любого типа данных MATLAB®. Значение по умолчанию: |