2D излучите канал распространения
twoRayChannel моделирует узкополосный канал распространения 2D луча. Канал распространения 2D луча является самым простым типом многопутевого канала. Можно использовать канал 2D луча, чтобы симулировать распространение сигналов в гомогенном, изотропном носителе с одним контуром отражения. Этот тип носителя имеет два пути к распространению: угол обзора (прямой) путь к распространению от одной точки до другого и путь к лучу, отраженный от контура. Можно использовать эту Систему object™ для ближнего радара и приложений мобильной связи, где сигналы распространяют вдоль прямых путей, и земля принята, чтобы быть плоской. Можно также использовать этот объект для приложений микрофона и гидролокатора. Для акустических приложений можно выбрать поля, которые будут не поляризованы, и настроить скорость распространения, чтобы быть скоростью звука в воздухе или воде. Можно использовать twoRayChannel к распространению модели от нескольких точек одновременно.
В то время как Системный объект работает на все частоты, модели затухания для атмосферных газов и дождя допустимы для электромагнитных сигналов в частотном диапазоне 1-1000 ГГц только. Модель затухания для вуали и облаков допустима для 10-1000 ГГц. Вне этих частотных диапазонов Системный объект использует самое близкое допустимое значение.
twoRayChannel Системный объект применяет зависимые областью значений задержки к сигналам, и а также прибыли или убытки, сдвиги фазы и граничная отражательная потеря. Системный объект применяет эффект Доплера, когда или источник или место назначения перемещаются.
Сигналы в канале выход могут быть разделены или объединены — управляемый CombinedRaysOutput свойство. В отдельной опции оба поля прибывают к месту назначения отдельно и не объединены. Для объединенной опции два сигнала в источнике распространяют отдельно, но когерентно суммированы в месте назначения в одно количество. Эта опция удобна, когда различие между датчиком или усилениями массивов в направлениях этих двух путей не является значительным и не должно быть учтено.
В отличие от phased.FreeSpace Системный объект, twoRayChannel Системный объект не поддерживает двухстороннее распространение.
Вычислить задержку распространения заданного источника и точек приемника:
Задайте и настройте свой канал 2D луча с помощью процедуры Конструкции, которая следует.
Вызовите step метод, чтобы вычислить распространенный сигнал с помощью свойств twoRayChannel Системный объект.
Поведение step характерно для каждого объекта в тулбоксе.
Примечание
Запуск в R2016b, вместо того, чтобы использовать step метод, чтобы выполнить операцию, заданную Системным объектом, можно вызвать объект с аргументами, как будто это была функция. Например, y = step(obj,x) и y = obj(x) выполните эквивалентные операции.
s2Ray = twoRayChannel создает Системный объект канала распространения 2D луча, s2Ray.
s2Ray = twoRayChannel( создает Системный объект, Name,Value)s2Ray, с каждым заданным свойством Name установите на заданный Value. Можно задать дополнительное имя и аргументы пары значения в любом порядке как (Name1,Value1..., NameN,ValueN).
PropagationSpeed — Скорость распространения сигналаphysconst('LightSpeed') (значение по умолчанию) | положительная скалярная величинаСкорость распространения сигнала в виде положительной скалярной величины. Модули исчисляются в метрах в секунду. Скорость распространения по умолчанию является значением, возвращенным physconst('LightSpeed'). Смотрите physconst для получения дополнительной информации.
Пример: 3e8
Типы данных: double
OperatingFrequency — Рабочая частота300e6 (значение по умолчанию) | положительная скалярная величинаРабочая частота в виде положительной скалярной величины. Модули находятся в Гц.
Пример: 1e9
Типы данных: double
SpecifyAtmosphere — Включите атмосферную модель затуханияfalse (значение по умолчанию) | trueОпция, чтобы включить атмосферную модель затухания в виде false или true. Установите это свойство на true добавить затухание сигнала, вызванное атмосферными газами, дождем, вуалью или облаками. Установите это свойство на false проигнорировать атмосферные эффекты в распространении.
Установка SpecifyAtmosphere к true, включает Temperature, DryAirPressure, WaterVapourDensity, LiquidWaterDensity, и RainRate свойства.
Типы данных: логический
Temperature — Температура окружающей среды (значение по умолчанию) | скаляр с действительным знакомТемпература окружающей среды в виде скаляра с действительным знаком. Модули в градусах Цельсия.
Пример: 20.0
Чтобы включить это свойство, установите SpecifyAtmosphere к true.
Типы данных: double
DryAirPressure — Атмосферное сухое давление воздуха101.325e3 (значение по умолчанию) | положительный скаляр с действительным знакомАтмосферное сухое давление воздуха в виде положительного скаляра с действительным знаком. Модули находятся в pascals (Па). Значение по умолчанию этого свойства соответствует одной стандартной атмосфере.
Пример: 101.0e3
Чтобы включить это свойство, установите SpecifyAtmosphere к true.
Типы данных: double
WaterVapourDensity — Атмосферная плотность водяного пара (значение по умолчанию) | положительный скаляр с действительным знакомАтмосферная плотность водяного пара в виде положительного скаляра с действительным знаком. Модули находятся в g/m3.
Пример: 7.4
Чтобы включить это свойство, установите SpecifyAtmosphere к true.
Типы данных: double
LiquidWaterDensity — Жидкая водная плотность (значение по умолчанию) | неотрицательный скаляр с действительным знакомЖидкая водная плотность вуали или облаков в виде неотрицательного скаляра с действительным знаком. Модули находятся в g/m3. Типичные значения для жидкой водной плотности 0.05 для средней вуали и 0.5 для густого тумана.
Пример: 0.1
Чтобы включить это свойство, установите SpecifyAtmosphere к true.
Типы данных: double
RainRate — Уровень ливня (значение по умолчанию) | неотрицательный скалярУровень ливня в виде неотрицательного скаляра. Модули находятся в мм/час.
Пример: 10.0
Чтобы включить это свойство, установите SpecifyAtmosphere к true.
Типы данных: double
SampleRate — Частота дискретизации сигнала1e6 (значение по умолчанию) | положительная скалярная величинаЧастота дискретизации сигнала в виде положительной скалярной величины. Модули находятся в Гц. Системный объект использует это количество, чтобы вычислить задержку распространения модулей выборок.
Пример: 1e6
Типы данных: double
EnablePolarization — Включите поляризованные поляfalse (значение по умолчанию) | trueОпция, чтобы включить поляризованные поля в виде false или true. Установите это свойство на true включить поляризацию. Установите это свойство на false проигнорировать поляризацию.
Типы данных: логический
GroundReflectionCoefficient — Оснуйте отражательный коэффициент (значение по умолчанию) | скаляр с комплексным знаком | 1 с комплексным знаком N вектором-строкойОснуйте отражательный коэффициент для поля в отражательной точке в виде скаляра с комплексным знаком или 1 с комплексным знаком N вектором-строкой. Каждый коэффициент имеет абсолютное значение, меньше чем или равное одному. Количество N является количеством каналов 2D луча. Модули являются безразмерными. Используйте это свойство для неполяризованных сигналов модели. К поляризованным сигналам модели используйте GroundRelativePermittivity свойство.
Пример: -0.5
Чтобы включить это свойство, установите EnablePolarization к false.
Типы данных: double
Поддержка комплексного числа: Да
GroundRelativePermittivity — Оснуйте относительную проницаемость (значение по умолчанию) | положительный скаляр с действительным знаком | 1 с действительным знаком Nrow вектором из положительных значенийОтносительная проницаемость земли в отражательной точке в виде положительного скаляра с действительным знаком или 1 N вектором-строкой с действительным знаком из положительных значений. Размерность N является количеством каналов 2D луча. Модули проницаемости являются безразмерными. Относительная проницаемость задана как отношение фактической наземной проницаемости к проницаемости свободного пространства. Это свойство применяется, когда вы устанавливаете EnablePolarization свойство к true. Используйте это свойство для поляризованных сигналов модели. К неполяризованным сигналам модели используйте GroundReflectionCoefficient свойство.
Пример 5
Чтобы включить это свойство, установите EnablePolarization к true.
Типы данных: double
CombinedRaysOutput — Опция, чтобы объединить два луча при выходеtrue (значение по умолчанию) | falseОпция, чтобы объединить два луча в канале выход в виде true или false. Когда этим свойством является true, объект когерентно добавляет угол обзора распространенный сигнал и отраженный сигнал пути при формировании выходного сигнала. Используйте этот режим, когда вы не должны будете включать направленное усиление антенны или массива в вашей симуляции.
Типы данных: логический
MaximumDistanceSource — Источник максимального одностороннего расстояния распространения'Auto' (значение по умолчанию) | 'Property'Источник максимального одностороннего расстояния распространения в виде 'Auto' или 'Property'. Максимальное одностороннее расстояние распространения используется, чтобы выделить достаточную память для расчета задержки сигнала. Когда вы устанавливаете это свойство на 'Auto', Системный объект автоматически выделяет память. Когда вы устанавливаете это свойство на 'Property', вы задаете максимальное одностороннее расстояние распространения с помощью значения MaximumDistance свойство.
Типы данных: char
MaximumDistance — Максимальное одностороннее расстояние распространения (значение по умолчанию) | положительный скаляр с действительным знакомМаксимальное одностороннее расстояние распространения в виде положительного скаляра с действительным знаком. Модули исчисляются в метрах. Любой сигнал, который распространяет больше, чем максимальное одностороннее расстояние, проигнорирован. Максимальное расстояние должно быть больше или быть равно самому большому расстоянию положения-к-позиционному.
Пример: 5000
Чтобы включить это свойство, установите MaximumDistanceSource свойство к 'Property'.
Типы данных: double
MaximumNumInputSamplesSource — Источник максимального количества выборок'Auto' (значение по умолчанию) | 'Property'Источник максимального количества выборок входного сигнала в виде 'Auto' или 'Property'. Когда вы устанавливаете это свойство на 'Auto', модель распространения автоматически выделяет достаточно памяти, чтобы буферизовать входной сигнал. Когда вы устанавливаете это свойство на 'Property', вы задаете максимальное количество выборок во входном сигнале с помощью MaximumNumInputSamples свойство. Любой входной сигнал дольше, чем то значение является усеченным.
Чтобы использовать этот объект с сигналами переменного размера в MATLAB® Function Block в Simulink®, установите MaximumNumInputSamplesSource свойство к 'Property' и установленный значение для MaximumNumInputSamples свойство.
Пример: 'Property'
Чтобы включить это свойство, установите MaximumDistanceSource к 'Property'.
Типы данных: char
MaximumNumInputSamples — Максимальное количество выборок входного сигнала (значение по умолчанию) | положительное целое числоМаксимальное количество выборок входного сигнала в виде положительного целого числа. Входной сигнал является первым аргументом step метод, после самого Системного объекта. Размер входного сигнала является количеством строк во входной матрице. Любой входной сигнал дольше, чем этот номер является усеченным. К сигналам процесса полностью, гарантируйте, что это значение свойства больше любой максимальной длины входного сигнала.
Генерирующие форму волны Системные объекты определяют максимальный размер сигнала:
Для любой формы волны, если форма волны OutputFormat свойство установлено в 'Samples', максимальная длина сигнала является значением, заданным в NumSamples свойство.
Для импульсных сигналов, если OutputFormat установлен в 'Pulses', длина сигнала является продуктом наименьшей импульсной частоты повторения, количеством импульсов и частотой дискретизации.
Для непрерывных форм волны, если OutputFormat установлен в 'Sweeps', длина сигнала является продуктом времени развертки, количеством разверток и частотой дискретизации.
Пример: 2048
Чтобы включить это свойство, установите MaximumNumInputSamplesSource к 'Property'.
Типы данных: double
| сброс | Сбросьте состояния Системного объекта |
| шаг | Распространите сигнал от точки до точки с помощью модели канала 2D луча |
| Характерный для всех системных объектов | |
|---|---|
release | Позвольте изменения значения свойства Системного объекта |
Этот пример иллюстрирует распространение 2D луча сигнала, показывая, как сигналы от угла обзора и отраженного пути прибывают в приемник в разное время.
Создайте и постройте сигнал распространения
Создайте неполяризованное электромагнитное поле, состоящее из двух прямоугольных импульсов формы волны в несущей частоте 100 МГц. Примите, что ширина импульса составляет 10 мс, и частота дискретизации составляет 1 МГц. Пропускная способность импульса составляет 0,1 МГц. Примите 50%-й рабочий цикл в том, так, чтобы ширина импульса была половиной импульсного интервала повторения. Создайте 2D импульсную волну, обучаются. Установите GroundReflectionCoefficient к 0,9, чтобы смоделировать отражающую способность веского основания. Распространите поле со стационарного источника на стационарный приемник. Вертикальное разделение источника и приемника составляет приблизительно 10 км.
c = physconst('LightSpeed'); fs = 1e6; pw = 10e-6; pri = 2*pw; PRF = 1/pri; fc = 100e6; lambda = c/fc; waveform = phased.RectangularWaveform('SampleRate',fs,'PulseWidth',pw,... 'PRF',PRF,'OutputFormat','Pulses','NumPulses',2); wav = waveform(); n = size(wav,1); figure; plot((0:(n-1)),real(wav),'b.-'); xlabel('Time (samples)') ylabel('Waveform magnitude')

Задайте местоположение источника и приемника
Поместите источник и приемник на расстоянии приблизительно в 1 000 метров горизонтально и на расстоянии приблизительно в 10 км вертикально.
pos1 = [1000;0;10000]; pos2 = [0;100;100]; vel1 = [0;0;0]; vel2 = [0;0;0];
Вычислите предсказанные задержки сигнала модулей выборок.
[rng,ang] = rangeangle(pos2,pos1,'two-ray');Создайте систему канала 2D луча Object™
Создайте Систему канала распространения 2D луча object™ и распространите сигнал вдоль обоих угол обзора и отраженные пути к лучу.
channel = twoRayChannel('SampleRate',fs,... 'GroundReflectionCoefficient',.9,'OperatingFrequency',fc,... 'CombinedRaysOutput',false); prop_signal = channel([wav,wav],pos1,pos2,vel1,vel2);
Постройте распространенные сигналы
Постройте сигнал, распространенный вдоль угла обзора.
Затем наложите график сигнала, распространенного вдоль отраженного пути.
Наконец, наложите график когерентной суммы двух сигналов.
n = size(prop_signal,1); delay = 0:(n-1); plot(delay,abs(prop_signal(:,1)),'g') hold on plot(delay,abs(prop_signal(:,2)),'r') plot(delay,abs(prop_signal(:,1) + prop_signal(:,2)),'b') hold off legend('Line-of-sight','Reflected','Combined','Location','NorthWest') xlabel('Delay (samples)') ylabel('Signal Magnitude')

График показывает, что задержка отраженного сигнала пути соглашается с предсказанной задержкой. Величина когерентно объединенного сигнала меньше любого из распространенных сигналов, указывающих, что существует некоторая интерференция между двумя сигналами.
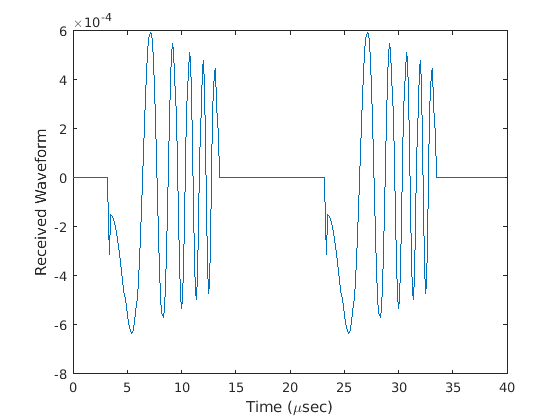
Создайте поляризованное электромагнитное поле, состоящее из линейных импульсов формы волны FM. Распространите поле из стационарного источника с антенным элементом пересеченного диполя к стационарному приемнику на расстоянии приблизительно в 10 км. Передающая антенна составляет 100 метров над землей. Приемная антенна составляет 150 м над землей. Приемная антенна является также пересеченным диполем. Постройте полученный сигнал.
Установите радарные параметры формы волны
Примите, что ширина импульса и частота дискретизации составляет 10 МГц. Пропускная способность импульса составляет 1 МГц. Примите 50%-й рабочий цикл, в котором ширина импульса является половиной импульсного интервала повторения. Создайте 2D импульсную волну, обучаются. Примите несущую частоту 100 МГц.
c = physconst('LightSpeed');
fs = 10e6;
pw = 10e-6;
pri = 2*pw;
PRF = 1/pri;
fc = 100e6;
bw = 1e6;
lambda = c/fc;Настройте необходимые системные объекты
Используйте GroundRelativePermittivity из 10.
waveform = phased.LinearFMWaveform('SampleRate',fs,'PulseWidth',pw,... 'PRF',PRF,'OutputFormat','Pulses','NumPulses',2,'SweepBandwidth',bw,... 'SweepDirection','Up','Envelope','Rectangular','SweepInterval',... 'Positive'); antenna = phased.CrossedDipoleAntennaElement(... 'FrequencyRange',[50,200]*1e6); radiator = phased.Radiator('Sensor',antenna,'OperatingFrequency',fc,... 'Polarization','Combined'); channel = twoRayChannel('SampleRate',fs,... 'OperatingFrequency',fc,'CombinedRaysOutput',false,... 'EnablePolarization',true,'GroundRelativePermittivity',10); collector = phased.Collector('Sensor',antenna,'OperatingFrequency',fc,... 'Polarization','Combined');
Настройте геометрию сцены
Задайте положения передатчика и приемника, скорости и ориентации. Поместите источник и приемник на расстоянии приблизительно в 1 000 м горизонтально и на расстоянии приблизительно в 50 м вертикально.
posTx = [0;100;100]; posRx = [1000;0;150]; velTx = [0;0;0]; velRx = [0;0;0]; laxRx = rotz(180); laxTx = rotx(1)*eye(3);
Создайте и излучите сигналы от передатчика
Вычислите углы передачи для двух лучей, перемещающихся к приемнику. Эти углы заданы относительно системы локальной координаты передатчика. phased.Radiator Система object™ использует эти углы, чтобы применить отдельные усиления антенны к двум сигналам.
[rng,angsTx] = rangeangle(posRx,posTx,laxTx,'two-ray');
wav = waveform();Постройте переданную Форму волны
n = size(wav,1); plot((0:(n-1))/fs*1000000,real(wav)) xlabel('Time ({\mu}sec)') ylabel('Waveform')

sig = radiator(wav,angsTx,laxTx);
Распространите сигналы к приемнику через канал 2D луча
prop_sig = channel(sig,posTx,posRx,velTx,velRx);
Получите распространенный сигнал
Вычислите углы приема для двух лучей, прибывающих в приемник. Эти углы заданы относительно системы локальной координаты приемника. phased.Collector Система object™ использует эти углы, чтобы применить отдельные усиления антенны к двум сигналам.
[~,angsRx] = rangeangle(posTx,posRx,laxRx,'two-ray');Соберите и объедините полученные лучи.
y = collector(prop_sig,angsRx,laxRx);
Постройте полученную форму волны
plot((0:(n-1))/fs*1000000,real(y)) xlabel('Time ({\mu}sec)') ylabel('Received Waveform')

Канал распространения 2D луча является следующим, подходят в сложности от канала свободного пространства, и самый простой случай многопутевой среды распространения. Канал свободного пространства моделирует прямолинейный путь угла обзора от точки 1 до точки 2. В канале 2D луча носитель задан как гомогенный, изотропный носитель с отражающимся плоским контуром. Контур всегда устанавливается в z = 0. Существует самое большее два распространения лучей от точки 1 до точки 2. Первый путь к лучу распространяет вдоль того же пути угла обзора как в канале свободного пространства. Путь угла обзора часто называется прямым путем. Второй луч отражается от контура прежде, чем распространить к точке 2. Согласно Закону Отражения, угол отражения равняется углу падения. В ближних симуляциях, таких как системы сотовой связи и автомобильные радары, можно принять, что отражающаяся поверхность, земля или океанская поверхность, является плоской.
twoRayChannel и widebandTwoRayChannel Задержка распространения модели системных объектов, сдвиг фазы, эффект Доплера и эффекты потерь для обоих путей. Для отраженного пути эффекты потерь включают отражательную потерю за пределами.
Фигура иллюстрирует два пути к распространению. От исходного положения, ss, и положения приемника, sr, можно вычислить углы падения обоих путей, θ′los и θ′rp. Углы падения являются вертикальным изменением и углами азимута прибывающего излучения относительно системы локальной координаты. В этом случае система локальной координаты совпадает с глобальной системой координат. Можно также вычислить углы передачи, θlos и θrp. В глобальных координатах угол отражения за пределами совпадает с углами θrp и θ′rp. Отражательный угол важен, чтобы знать, когда вы используете зависимые углом данные отражательной потери. Можно определить отражательный угол при помощи rangeangle функция и установка ссылочных осей к глобальной системе координат. Общая длина пути для пути угла обзора показана на рисунке Rlos, который равен геометрическому расстоянию между источником и приемником. Общей длиной пути для отраженного пути является Rrp= R1 + R2. Количество L является наземной областью значений между источником и приемником.

Можно легко вывести точные формулы для длин пути и углов в терминах наземной области значений и высот объекта в глобальной системе координат.
Потеря затухания или пути в канале 2D луча является продуктом пяти компонентов, L = Ltworay LG Lg Lc Lr, где
Ltworay является 2D лучом геометрическое затухание пути
LG является наземным затуханием отражения
Lg является атмосферным затуханием пути
Lc является вуалью и затуханием пути к облаку
Lr является затуханием пути к дождю
Каждый компонент находится в единицах величины, не в дБ.
Потери происходят, когда сигнал отражается от контура. Можно получить простую модель наземной потери отражения путем представления электромагнитного поля как скалярного поля. Этот подход также работает на системы гидролокатора и акустический. Позвольте E быть скалярным электромагнитным полем свободного пространства, имеющим амплитудный E0 на ссылочном расстоянии R0 от передатчика (например, один метр). Поле свободного пространства распространения на расстоянии Rlos от передатчика
для пути угла обзора. Можно описать отраженный о земле E - поле как
где Rrp является отраженным расстоянием пути. Количество LG представляет потерю из-за отражения в наземной плоскости. Чтобы задать LG, используйте GroundReflectionCoefficient свойство. В общем случае LG зависит от угла установки поля. Если у вас есть эмпирическая информация об угловой зависимости LG, можно использовать rangeangle вычислить угол установки отраженного пути. Общее поле в месте назначения является суммой полей line-of-sight и reflected-path.
Для электромагнитных волн более сложная, но более реалистическая модель использует векторное представление поляризованного поля. Можно разложить падающее электрическое поле на два компонента. Один компонент, Ep, параллелен плоскости падения. Другой компонент, Es, перпендикулярен плоскости падения. Наземные коэффициенты отражения для этих компонентов отличаются и могут быть записаны в терминах наземной проницаемости и угла установки.
где Z является импедансом носителя. Поскольку магнитная проницаемость земли почти идентична тому из воздушного или свободного пространства, отношение импедансов зависит, в основном, от отношения электрической проницаемости
где количество ρ = ε2/ε1 является наземной проницаемостью родственника, установленной GroundRelativePermittivity свойство. Угол θ1 является углом установки и углом θ2, является углом преломления за пределами. Можно определить θ2 с помощью закона Поводка преломления.
После отражения все поле восстановлено от параллельных и перпендикулярных компонентов. Общее наземное затухание плоскости, LG, является комбинацией Gs и Gp.
Когда источник и место назначения являются стационарными друг относительно друга, можно записать выход Y из step как Y(t) = F(t-τ)/L. Количество τ является задержкой сигнала и L, является потерей пути свободного пространства. Задержка τ дана R/c. R является или расстоянием пути к распространению угла обзора или отраженным расстоянием пути, и c является скоростью распространения. Потеря пути
где λ является длиной волны сигнала.
Эта модель вычисляет затухание сигналов, которые распространяют через атмосферные газы.
Электромагнитные сигналы затухают, когда они распространяют через атмосферу. Этот эффект должен, в основном, к линиям резонанса поглощения кислорода и водяного пара с меньшими вкладами, поступающими из газа азота. Модель также включает непрерывный спектр поглощения ниже 10 ГГц. Рекомендация модели ITU ITU-R P.676-10: Затухание атмосферными газами используется. Модель вычисляет определенное затухание (затухание на километр) в зависимости от температуры, давления, плотности водяного пара и частоты сигнала. Атмосферная газовая модель допустима для частот от 1-1000 ГГц и применяется к поляризованным и неполяризованным полям.
Формула для определенного затухания на каждой частоте
Количество N"() является мнимой частью комплексного атмосферного явления преломления и состоит из спектрального компонента линии и непрерывного компонента:
Спектральный компонент состоит из суммы дискретных условий спектра, состоявших из локализованной функции пропускной способности частоты, F(f) i, умноженный на спектральную силу линии, S i. Для атмосферного кислорода каждая спектральная сила линии
Для атмосферного водяного пара каждая спектральная сила линии
P является сухим давлением воздуха, W является парциальным давлением водяного пара, и T является температурой окружающей среды. Единицы давления находятся в гектопаскалях (гПа), и температурой является в градусах Келвин. Парциальное давление водяного пара, W, связано с плотностью водяного пара, ρ,
Общим атмосферным давлением является P + W.
Для каждой кислородной линии Si зависит от двух параметров, a1 и a2. Точно так же каждая линия водяного пара зависит от двух параметров, b1 и b2. Документация ITU, процитированная в конце этого раздела, содержит табулирование этих параметров как функции частоты.
Локализованные функции пропускной способности частоты Fi(f) являются сложными функциями частоты, описанной в ссылках ITU, процитированных ниже. Функции зависят от эмпирических параметров модели, которые также сведены в таблицу в ссылке.
Чтобы вычислить общее затухание для узкополосных сигналов вдоль пути, функция умножает определенное затухание на длину пути, R. Затем общим затуханием является Lg= R(γo + γw).
Можно применить модель затухания к широкополосным сигналам. Во-первых, разделите широкополосный сигнал на поддиапазоны частоты и примените затухание к каждому поддиапазону. Затем суммируйте все ослабленные сигналы поддиапазона в общий ослабленный сигнал.
Эта модель вычисляет затухание сигналов, которые распространяют через вуаль или облака.
Вуаль и затухание облака являются тем же атмосферным явлением. Модель ITU, Рекомендация ITU-R P.840-6: Затухание из-за облаков и вуали используется. Модель вычисляет определенное затухание (затухание на километр), сигнала в зависимости от жидкой водной плотности, частоты сигнала и температуры. Модель применяется к поляризованным и неполяризованным полям. Формула для определенного затухания на каждой частоте
где M является жидкой водной плотностью в gm/m3. Количество Kl(f) является определенным коэффициентом затухания и зависит от частоты. Модель затухания облака и вуали допустима для частот 10-1000 ГГц. Модули для определенного коэффициента затухания (дБ/км) / (g/m3).
Чтобы вычислить общее затухание для узкополосных сигналов вдоль пути, функция умножает определенное затухание на длину пути R. Общим затуханием является Lc = Rγc.
Можно применить модель затухания к широкополосным сигналам. Во-первых, разделите широкополосный сигнал на поддиапазоны частоты и примените узкополосное затухание к каждому поддиапазону. Затем суммируйте все ослабленные сигналы поддиапазона в общий ослабленный сигнал.
Эта модель вычисляет затухание сигналов, которые распространяют через области ливня. Лейтесь дождем затухание является доминирующим исчезающим механизмом и может варьироваться от от местоположения к местоположению и из года в год.
Электромагнитные сигналы ослабляются при распространении через область ливня. Затухание ливня вычисляется согласно модели Recommendation ITU-R P.838-3 ливня ITU: Определенная модель затухания для дождя для использования в методах предсказания. Модель вычисляет определенное затухание (затухание на километр) сигнала в зависимости от уровня ливня, частоты сигнала, поляризации и угла возвышения пути. Определенное затухание, ɣ R, моделируется как закон о степени относительно уровня дождя
где R является уровнем дождя. Модули находятся в мм/час. Параметр k и экспонента α зависит от частоты, вида поляризации и угла возвышения пути прохождения сигнала. Определенная модель затухания допустима для частот от 1-1000 ГГц.
Чтобы вычислить общее затухание для узкополосных сигналов вдоль пути, функция умножает определенное затухание на эффективное расстояние распространения, эффективность d. Затем общим затуханием является L = d effγR.
Эффективное расстояние является геометрическим расстоянием, d, умноженным на масштабный коэффициент
где f является частотой. Статья Recommendation ITU-R P.530-17 (12/2017): данные о Распространении и методы предсказания, требуемые для проекта наземных систем угла обзора, представляют полное обсуждение для вычислительного затухания.
Уровень дождя, R, используемый в этих расчетах, являются долгосрочным статистическим уровнем дождя, R 0.01. Это - уровень дождя, который превышен на 0,01% времени. Вычисление статистического уровня дождя обсуждено в Рекомендации ITU-R P.837-7 (06/2017): Характеристики осадков для моделирования распространения. Эта статья также объясняет, как вычислить затухание для других процентов от значения на 0,01%.
Можно применить модель затухания к широкополосным сигналам. Во-первых, разделите широкополосный сигнал на поддиапазоны частоты и примените затухание к каждому поддиапазону. Затем суммируйте все ослабленные сигналы поддиапазона в общий ослабленный сигнал.
[1] Саакян, A. Основные принципы распространения радиоволны. Норвуд, MA: дом Artech, 2011.
[2] Balanis, C. Усовершенствованный технический электромагнетизм. Нью-Йорк: Wiley & Sons, 1989.
[3] Rappaport, T. Радиосвязи: принципы и практика, 2-й Эд Нью-Йорк: Prentice Hall, 2002.
[4] Сектор радиосвязи Международного союза электросвязи. Рекомендация ITU-R P.676-10: Затухание атмосферными газами. 2013.
[5] Сектор радиосвязи Международного союза электросвязи. Рекомендация ITU-R P.840-6: Затухание из-за облаков и вуали. 2013.
[6] Сектор радиосвязи Международного союза электросвязи. Рекомендация ITU-R P.838-3: Определенная модель затухания для дождя для использования в методах предсказания. 2005.
Указания и ограничения по применению:
Смотрите системные объекты в Генерации кода MATLAB (MATLAB Coder).
У вас есть модифицированная версия этого примера. Вы хотите открыть этот пример со своими редактированиями?
1. Если смысл перевода понятен, то лучше оставьте как есть и не придирайтесь к словам, синонимам и тому подобному. О вкусах не спорим.
2. Не дополняйте перевод комментариями “от себя”. В исправлении не должно появляться дополнительных смыслов и комментариев, отсутствующих в оригинале. Такие правки не получится интегрировать в алгоритме автоматического перевода.
3. Сохраняйте структуру оригинального текста - например, не разбивайте одно предложение на два.
4. Не имеет смысла однотипное исправление перевода какого-то термина во всех предложениях. Исправляйте только в одном месте. Когда Вашу правку одобрят, это исправление будет алгоритмически распространено и на другие части документации.
5. По иным вопросам, например если надо исправить заблокированное для перевода слово, обратитесь к редакторам через форму технической поддержки.