Усиление модели и неопределенность фазы
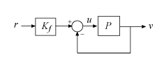
Используйте umargin блок системы управления, чтобы смоделировать усиление и изменения фазы обратной связи. Моделирование усиления и изменений фазы вашей системы позволяет вам проверить запасы устойчивости во время анализа робастности или осуществить их во время устойчивого проектирования контроллера.
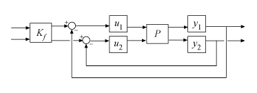
Чтобы добавить усиление и неопределенность фазы к обратной связи, вы включаете umargin блоки в неопределенное пространство состояний (uss) модель системы с обратной связью. umargin блок системы управления SISO, представляя усиление и изменение фазы в одном местоположении в одной обратной связи. Чтобы смоделировать усиление и неопределенность фазы в системах с обратной связью MIMO, вставьте отдельный umargin объект в каждом местоположении в системе, в которой вы хотите ввести неопределенность фазы и усиление.
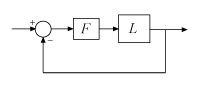
umargin усиление моделей и изменения фазы как факторный F, умножающий ответ разомкнутого контура L. Этот фактор принимает значения в диске, сосредоточенном на вещественной оси и содержащий F = 1. Вы задаете этот диск его пересечением DGM = [gmin,gmax] с вещественной осью, которая представляет относительный объем изменения усиления вокруг номинальной стоимости F = 1. Чтобы задать и усиление и неопределенность фазы, сначала используйте getDGM получить DGM значение, которое описывает диск, который получает и ваше заданное усиление и области значений фазы. Для получения дополнительной информации о находящейся на диске модели неопределенности, см. Алгоритмы.
Когда у вас есть uss модель, содержащая umargin блоки системы управления, можно выполнить робастность и анализ худшего случая, чтобы исследовать, как изменение усиления и фазы влияет на ответ системы. Например, использовать robstab и robgain анализировать устойчивую устойчивость и устойчивую эффективность системы с неопределенностью фазы и усилением. Использование wcgain и wcsigmaplot исследовать ответы худшего случая системы.
Требование устойчивой устойчивости для системы с обратной связью с umargin неопределенность усиления и фазы эквивалентна осуществлению находящегося на диске запаса по амплитуде [gmin,gmax] и соответствующий запас по фазе. Поэтому можно использовать umargin блоки, чтобы осуществить подходящие дисковые поля при разработке устойчивых контроллеров с musyn.
родственник моделей получает неопределенность в области значений F = umargin(name,DGM)DGM = [gmin,gmax] с gmin <1 и gmax > 1. Усиление смоделировано F варьируется по этой области значений для фазы, сохраненной по ее номинальной стоимости. Когда у вас будут и усиление и неопределенность фазы, использовать getDGM найти соответствующий DGM. Этот синтаксис также устанавливает Name свойство F.
совпадает с F = umargin(name,GM)umargin(name,[1/GM,GM]). Этот синтаксис задает усиление, которое может увеличиться или уменьшиться факторным GM в отсутствие неопределенности фазы. Соответствующая сумма неопределенности фазы определяется находящейся на диске моделью неопределенности что umargin использование (см. Алгоритмы).
дополнительные свойства наборов F = umargin(___,Name,Value)F использование пар "имя-значение". Например, F = umargin('F',[0.8,1.4],'InputName','u0','OutputName','u') создает umargin блокируйтесь и определяет имена ввода и вывода для использования с connect. Заключите каждое имя свойства в кавычки.
Много функций, которые работают над числовыми моделями LTI также, работают над неопределенными блоками системы управления, такими как umargin. Они включают функции соединения моделей такой как connect и feedback, и линейный анализ функционирует такой как bode и stepinfo. Некоторые функции, которые генерируют графики, такой как bode и step, постройте случайные выборки неопределенной модели, чтобы дать вам смысл распределения неопределенной динамики. Когда вы используете эти команды, чтобы возвратить данные, однако, они работают с номинальной стоимостью системы только. Следующие списки содержат представительное подмножество функций, которые можно использовать с umargin модели.
umargin усиление моделей и изменения фазы отдельной обратной связи образовывают канал как зависимый частотой мультипликативный фактор F (s) умножение номинального ответа разомкнутого контура L (s), такой, что встревоженным ответом является L (s) F (s). Факторный F (s) параметрируется:
В этой модели,
δ (s) является ограниченной усилением динамической неопределенностью, нормированной так, чтобы это всегда варьировалось в единичном диске (|| δ || ∞ <1).
ɑ устанавливает сумму усиления и изменения фазы, смоделированного F. Для фиксированного σ параметр ɑ управляет размером диска. Для ɑ = 0, мультипликативный фактор равняется 1, соответствуя номинальному L.
σ, названный skew, смещает смоделированную неопределенность к увеличению усиления или уменьшению усиления.
Факторный F принимает значения в диске, сосредоточенном на вещественной оси и содержащий номинальную стоимость F = 1. Диск характеризуется его точкой пересечения DGM = [gmin,gmax] с вещественной осью. gmin <1 и gmin > 1 минимальные и максимальные относительные изменения в усилении, смоделированном F, в номинальной фазе. Неопределенность фазы, смоделированная F, является областью значений DPM = [pmin,pmax] из значений фазы в номинальном усилении (|F | = 1). Например, в следующем графике, правая сторона показывает диску F, который пересекает вещественную ось в интервале [0.71 1.4]. Левая сторона показывает, что этот диск моделирует изменение усиления ±3 дБ и изменение фазы ±19 °.
F = umargin('F',1.4125)
plot(F)
Когда вы создаете umargin блокируйтесь, вы задаете сумму неопределенности путем определения DGMИспользование getDGM переводить определенные суммы усиления и фазы в изменениях к подходящему DGM область значений, которая получает эти изменения. Для получения дополнительной информации о неопределенности модель используется umargin, смотрите, что Анализ Устойчивости Использует Дисковые Поля.