Вы можете преобразовать аудио плагины System object™ в блоки для настройки параметров в реальном времени в Simulink ®. Этот рабочий процесс используется для преобразования собственных плагинов системных объектов в блоки Simulink или для преобразования любых плагинов системных объектов, найденных в коллекции примеров аудиопроигрывателей.
На начальной странице Simulink в разделе Audio Toolbox™ щелкните Basic Audio Player. Учебное пособие по использованию шаблонов модели Simulink см. в разделе Аудио в Simulink в реальном времени.

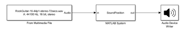
Чтобы импортировать плагины системных объектов в Simulink, используйте системный блок MATLAB. Этот блок совместим с плагинами системных объектов, но не с базовыми плагинами. Дополнительные сведения об определении подключаемых модулей в MATLAB ® см. в разделе Аудиоплагины в MATLAB ®.
Добавьте подключаемый модуль системных объектов, используемый в этом примере, в путь MATLAB. В командной строке введите:
addpath(fullfile(matlabroot,'examples','audio','main'))
Из библиотеки Simulink/User-Defined Functions перетащите блок MATLAB System в модель.
В системном блоке MATLAB введите имя системного объекта: SoundPosition


SoundPosition аудиоплагин позволяет настроить два параметра: стерео ширину и панорамирование.
При импорте плагина в модель Simulink параметры плагина устанавливаются на начальные значения, определенные в разделе свойств класса плагинов. Чтобы использовать циферблаты для настраиваемых параметров, создайте пользовательский интерфейс с помощью маски блока. Дополнительные сведения см. в разделе Основы маскирования (Simulink).
Откройте блок SoundPosition.
Задайте для параметра «Ширина» значение переменной W.
Задать для параметра «Панорамирование» значение переменной P.

Нажмите кнопку ОК.
Сделайте свой блок SoundPosition подсистемой. Выберите блок SoundPosition, затем на вкладке Modeling выберите Create Subsystem.

Добавьте маску в блок подсистемы. На вкладке «Блок подсистемы» выберите «Создать маску».
В редакторе масок перейдите на вкладку «Параметры и диалоговое окно».
Добавьте циферблат в диалоговое окно для управления шириной стерео. В области «Элементы управления» перетащите элемент «Набор номера» в область «Диалоговое окно». Затем на панели «Редактор свойств» задайте следующие свойства:
Имя W
Значение -- 2
Подсказка -- Stereo width
Тип - dial
Минимум - 0
Максимум -- 4

Для управления панорамированием добавьте в диалоговое окно другой циферблат. В области «Элементы управления» перетащите элемент «Набор номера» в область «Диалоговое окно». Затем на панели «Редактор свойств» задайте следующие свойства:
Имя P
Значение -- 0
Подсказка -- Pan
Тип - dial
Минимум - -1
Максимум -- 1

Нажмите кнопку ОК.
Откройте блок Из мультимедийного файла.
Чтобы изменить размер кадра, используемого в модели, установите для параметра Примеры для каждого аудиоканала значение 256.
Чтобы услышать эффект стереоувеличения, укажите аудиофайл с отдельной записью стереофонического поля. Задать для имени файла значение FunkyDrums-44p1-stereo-25secs.mp3.
Нажмите кнопку ОК.
Чтобы открыть элементы управления параметрами блока SoundPosition, дважды щелкните блок «Подсистема».

Запустите свою модель. Чтобы услышать эффект аудиоплагина, откройте блок «Подсистема» и измените параметры «Стерео ширина» и «Панорамирование» в реальном времени.
Откройте завершенную модель.
После завершения этого учебного пособия рекомендуется отменить изменение пути MATLAB. В командной строке введите:
rmpath(fullfile(matlabroot,'examples','audio','main'))