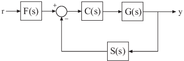
Взаимосвязанные модели компонентов позволяют строить модели систем управления. Систему управления можно концептуализировать как блок-схему, содержащую несколько взаимосвязанных компонентов, таких как установка или контроллер. Используя команды арифметики модели или межсоединений, можно объединить модели каждого из этих компонентов в одну модель, представляющую всю блок-схему.
Например, можно соединить динамические системные модели установки G, контроллера C, сенсорной динамики S и фильтра F для построения единой модели, которая представляет всю систему управления с замкнутым контуром на следующей иллюстрации:
