Пример, описанный в этом разделе, иллюстрирует приложение программного обеспечения Simscape™ Electrical™ Specialized Power Systems изучить установившиеся и динамические характеристики ветровой электростанции на 9 МВт, связанной с системой распределения.
Ветряная электростанция состоит из шести ветровых турбин мощностью 1,5 МВт, подключенных к распределительной системе 25 кВ, экспортирующей электроэнергию в сеть 120 кВ через фидер 30 км 25 кВ. Установка 2300V мощностью 2 МВА, состоящая из нагрузки двигателя (асинхронный двигатель мощностью 1,68 МВт при 0,93 ПФ) и резистивной нагрузки мощностью 200 кВт, подключена к тому же фидеру на шине B25. Нагрузка 500 кВт также подключена к шине 575 В ветропарка. Однолинейная схема этой системы показана на однолинейной схеме ветровой электростанции, подключенной к распределительной системе.
Однолинейная схема ветроэлектростанции, подключенной к распределительной системе

Как ветряная турбина, так и нагрузка двигателя имеют систему защиты, контролирующую напряжение, ток и скорость машины. Также контролируется напряжение линии постоянного тока DFIG. В ветряных турбинах используется индукционный генератор с двойным питанием (DFIG), состоящий из индукционного генератора с намотанным ротором и преобразователя PWM на основе переменного/постоянного/переменного тока IGBT. Обмотка статора подключена непосредственно к сетке 60 Гц, а ротор питается с переменной частотой через преобразователь переменного/постоянного/переменного тока. Технология DFIG позволяет извлекать максимальную энергию из ветра для низких скоростей ветра за счет оптимизации скорости турбины, при этом минимизируя механические напряжения на турбине во время порывов ветра. Оптимальная скорость турбины, производящая максимальную механическую энергию для данной скорости ветра, пропорциональна скорости ветра. Другим преимуществом технологии DFIG является способность силовых электронных преобразователей генерировать или характеристики мощности турбины поглощать реактивную мощность, таким образом устраняя необходимость установки конденсаторных батарей, как в случае индукционных генераторов с белым каркасом.
Эта система доступна в power_wind_dfig модель. Загрузите эту модель и сохраните ее в рабочей папке как case3позволяет вносить дальнейшие изменения в исходную систему. В данном примере ротор работает с субсинхронизированной скоростью для скоростей ветра ниже 10 м/с и работает с сверхсинхронизированной скоростью для более высоких скоростей ветра. Механическая мощность турбины как функция скорости турбины отображается в для скоростей ветра в диапазоне от 5 м/с до 16,2 м/с. Эти характеристики получены при заданных параметрах Turbine data(Характеристики мощности турбины).
Характеристики мощности турбины

Управление DFIG осуществляется в соответствии с кривой ABCD в характеристиках мощности турбины. Оптимизация частоты вращения турбины достигается между точкой B и точкой C на этой кривой.
Модель ветровой турбины - это фазорная модель, которая позволяет проводить исследования типа устойчивости переходного процесса с длительным временем моделирования. В данном примере система наблюдается в течение 50 с. 6-ветротурбинная установка моделируется единым ветротурбинным блоком путем умножения следующих трех параметров на шесть, следующим образом:
Номинальная механическая выходная мощность ветротурбины: 6 * 1 .5e6 Вт, указанная в Turbine data меню
Номинальная мощность генератора: 6 * 1,5/0,9 МВА (6 * 1,5 МВт при 0,9 PF), указанная в Generator data меню
Номинальный конденсатор шины постоянного тока: 6 * 10000 микрофарады, указанные в Converters data меню
Режим работы установлен в Voltage regulation в диалоговом окне «Параметры управления». Напряжение на клемме будет регулироваться до значения, определяемого опорным напряжением (Vref = 1 pu) и падением напряжения (Xs = 0,02 pu).
Наблюдайте за реакцией турбины на изменение скорости ветра. Первоначально скорость ветра устанавливается на уровне 8 м/с, а затем при t = 5с скорость ветра резко возрастает на уровне 14 м/с. Формы сигналов для порыва ветра (ветряная электростанция в режиме регулирования напряжения) иллюстрируют формы сигналов, связанные с этим моделированием. При t = 5 с генерируемая активная мощность начинает плавно увеличиваться (вместе с частотой вращения турбины) для достижения номинального значения 9MW приблизительно через 15 с. За это время частота вращения турбины увеличивается с 0,8 пу до 1,21 пу. Первоначально угол наклона лопаток турбины равен нулю, а рабочая точка турбины следует красной кривой характеристик мощности турбины до точки D. Затем угол наклона увеличивается с 0 ° до 0,76 ° для ограничения механической мощности. Проверьте также напряжение и генерируемую реактивную мощность. Реактивная мощность регулируется для поддержания напряжения 1 pu. При номинальной мощности ветротурбина поглощает 0,68 Мвар (генерируемый Q = -0,68 Мвар) для управления напряжением при 1pu. При изменении режима работы наVar regulation если значение параметра Generated reactive power Qref установлено равным нулю, то напряжение увеличивается до 1,021 пу, когда ветряная турбина генерирует свою номинальную мощность при единичном коэффициенте мощности (формы волн для порыва ветра (ветряная электростанция в режиме регулирования Var)).
Формы сигналов для порыва ветра (ветряная электростанция в режиме регулирования напряжения)

Формы сигналов для порыва ветра (ветряная электростанция в режиме регулирования Var)

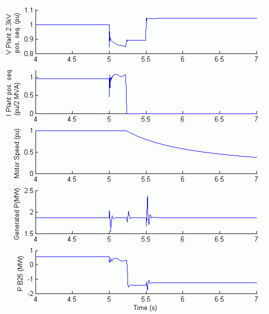
Теперь проверьте влияние провисания напряжения, вызванного удаленной неисправностью, на систему 120 кВ. В этом моделировании режим работы изначально Var regulation при Qref = 0 и постоянной скорости ветра при 8 м/с. Падение напряжения 0,15 pu, продолжающееся 0,5 с, запрограммировано в меню источника напряжения 120 кВ для возникновения при t = 5. Результаты моделирования показаны в разделе Провал напряжения в системе 120 кВ (Ветровая электростанция в режиме регулирования Var). Проверьте напряжение и ток установки, а также скорость двигателя. Отметим, что ветропарк производит 1,87 МВт. При t = 5 с напряжение падает ниже 0,9 pu, а при t = 5,22 с система защиты отключает установку из-за обнаружения пониженного напряжения более 0,2 с (превышения настроек защиты для подсистемы установки). Ток установки падает до нуля и скорость мотора постепенно снижается, при этом ветряная электростанция продолжает вырабатывать на уровне мощности 1,87 МВт. После отключения установки в сеть экспортируется мощность 1,25 МВт (P_B25, измеренная на B25 шины).
Провал напряжения в системе 120 кВ (ветряная электростанция в режиме регулирования Var)

Теперь режим управления ветротурбиной изменен на Voltage regulation и моделирование повторяется. Вы заметите, что завод больше не путешествует. Это происходит потому, что поддержка напряжения, обеспечиваемая реактивной мощностью 5 Мвар, генерируемой ветровыми турбинами во время провала напряжения, удерживает напряжение установки выше порога защиты 0,9 pu. Напряжение установки во время провала напряжения теперь составляет 0,93 pu (провал напряжения в системе 120 кВ (ветряная электростанция в режиме регулирования напряжения)).
Провал напряжения в системе 120 кВ (ветряная электростанция в режиме регулирования напряжения)

Наконец, теперь следует наблюдать воздействие одиночного отказа типа «фаза-земля», возникающего на линии 25 кВ. В t=5 s 9 циклов (0,15 с) фаза к замыканию на землю применена на фазу A в автобусе B25. Когда ветряной двигатель находится в Voltage regulation способ, положительное напряжение последовательности на терминалах ветряного двигателя (V1_B575) спадает до 0.8 pu во время ошибки, которая является выше порога защиты пониженного напряжения (0.75 pu для t> 0,1 с. Таким образом, ветряная электростанция остается в рабочем состоянии (формы волн ветряной электростанции во время неисправности на шине B25 (ветряная электростанция в режиме регулирования напряжения)). Однако, если Var regulation используется режим с Qреф = 0, падение напряжения ниже 0,7 pu и отключение защиты от пониженного напряжения ветроэлектростанции. Теперь мы можем наблюдать, что скорость турбины увеличивается. При t = 40 с угол тангажа начинает увеличиваться для ограничения скорости (Формы волн ветроэлектростанции при неисправности на шине B25 (Ветроэлектростанция в режиме регулирования Var)).
Формы волн ветряной электростанции при неисправности на шине B25 (ветряная электростанция в режиме регулирования напряжения)

Формы волн ветряной электростанции при неисправности на шине B25 (ветряная электростанция в режиме регулирования Var)
