Программное обеспечение Simulink ® Control Design™ линеаризует модели с использованием блочного подхода. Программа индивидуально линеаризует каждый блок в модели Simulink и производит линеаризацию всей системы путем объединения отдельных блочных линеаризаций. Дополнительные сведения см. в разделе Точный алгоритм линеаризации.
Для получения функции переноса с разомкнутым контуром из модели необходимо указать проем контура. Петлевые проемы влияют только на то, как программное обеспечение рекомбинирует отдельные линеаризованные блоки. Другими словами, программное обеспечение игнорирует отверстия контура при определении уровней входного сигнала для каждого блока, что влияет на то, как линеаризуются нелинейные блоки.
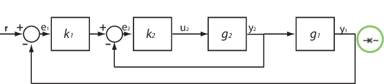
Например, в следующей модели, чтобы вычислить отклик от e2 до y2 без эффектов внешнего контура, откройте внешний контур, поместив точку анализа открытия контура в y1.

Здесь k1, k2, g1 и g2 являются нелинейными блоками.
Программа линеаризует каждый отдельный блок в указанной рабочей точке, создавая линеаризованные блоки K1, K2, G1 и G2. На этом этапе программное обеспечение не разрывает поток сигнала на y1. Следовательно, блочные линеаризации включают в себя эффекты сигналов обратной связи внутреннего и внешнего контуров.
Для вычисления передаточной функции от e2 к y2 программное обеспечение обеспечивает размыкание контура на y1, вводит входной сигнал на e2 и измеряет выходной сигнал на y2.

Здесь линеаризованными блоками являются K1, K2, G1 и G2.
Результирующая линеаризованная передаточная функция составляет (I + G2K2) -1G2K2.
addOpening | getCompSensitivity | getIOTransfer | getLoopTransfer | getSensitivity | linearize