Дополнительная функция чувствительности в указанной точке с помощью slLinearizer или slTuner интерфейс
возвращает дополнительную функцию чувствительности в указанной точке анализа для модели, связанной с linsys = getCompSensitivity(s,pt)slLinearizer или slTuner интерфейс, s.
Программное обеспечение обеспечивает все постоянные отверстия, указанные для s при вычислении linsys. Если вы настроили либо s.Parameters, или s.OperatingPoints, или оба, getCompSensitivity выполняет несколько линеаризаций и возвращает массив комплементарных функций чувствительности.
рассматривает дополнительные, временные, отверстия в точке, указанной linsys = getCompSensitivity(s,pt,temp_opening)temp_opening. Используйте отверстие, например, для вычисления функции дополнительной чувствительности внутреннего контура с открытым внешним контуром.
возвращает подмножество результатов пакетной линеаризации. linsys = getCompSensitivity(___,mdl_index)mdl_index задает индекс интересующих линеаризаций в дополнение к любому из входных аргументов в предыдущих синтаксисах.
Этот синтаксис используется для эффективной линеаризации, если требуется получить функцию дополнительной чувствительности только для подмножества результатов пакетной линеаризации.
Получение дополнительной функции чувствительности, рассчитанной на выходе установки, для ex_scd_simple_fdbk модель.
Откройте окно ex_scd_simple_fdbk модель.
mdl = 'ex_scd_simple_fdbk';
open_system(mdl);

В этой модели:

Создание slLinearizer интерфейс для модели.
sllin = slLinearizer(mdl);
Для вычисления дополнительной функции чувствительности на выходе установки используйте y сигнал в качестве точки анализа. Добавить эту точку в sllin.
addPoint(sllin,'y');
Получить дополнительную функцию чувствительности при y.
sys = getCompSensitivity(sllin,'y');
tf(sys)
ans = From input "y" to output "y": -3 ----- s + 8 Continuous-time transfer function.
Программа добавляет вывод линеаризации в yс последующим вводом линеаризации, dy.

sys является функцией переноса из dy кому y, что равно.
Для scdcascade модель, получить функцию комплементарной чувствительности для внутреннего контура в y2.
Откройте окно scdcascade модель.
mdl = 'scdcascade';
open_system(mdl);

Создание slLinearizer интерфейс для модели.
sllin = slLinearizer(mdl);
Вычисление дополнительной функции передачи чувствительности для внутреннего контура при y2, используйте y2 сигнал в качестве точки анализа. Для устранения влияния внешнего контура разорвать внешний контур при y1m. Добавить обе эти точки в sllin.
addPoint(sllin,{'y2','y1m'});
Получить функцию дополнительной чувствительности для внутреннего контура при y2.
sys = getCompSensitivity(sllin,'y2','y1m');
Здесь, 'y1m', третий входной аргумент, задает временное отверстие для внешнего цикла.
Предположим, что пакетная линеаризация scdcascade модель для нескольких передаточных функций. Для большинства линеаризаций изменяется пропорция (Kp2) и интегральное усиление (Ki2) C2 контроллер в диапазоне 10%. Для этого примера вычислите функцию дополнительной чувствительности для внутреннего цикла для максимального значения Kp2 и Ki2.
Откройте окно scdcascade модель.
mdl = 'scdcascade';
open_system(mdl);

Создание slLinearizer интерфейс для модели.
sllin = slLinearizer(mdl);
Варьировать пропорциональное (Kp2) и интегральное усиление (Ki2) C2 контроллер в диапазоне 10%.
Kp2_range = linspace(0.9*Kp2,1.1*Kp2,3); Ki2_range = linspace(0.9*Ki2,1.1*Ki2,5); [Kp2_grid,Ki2_grid]=ndgrid(Kp2_range,Ki2_range); params(1).Name = 'Kp2'; params(1).Value = Kp2_grid; params(2).Name = 'Ki2'; params(2).Value = Ki2_grid; sllin.Parameters = params;
Чтобы вычислить дополнительную чувствительность внутреннего контура, используйте y2 сигнал в качестве точки анализа. Для устранения влияния внешнего контура разорвать внешний контур при y1m. Добавить обе эти точки в sllin.
addPoint(sllin,{'y2','y1m'})
Определите индекс для максимальных значений Ki2 и Kp2.
mdl_index = params(1).Value == max(Kp2_range) & params(2).Value == max(Ki2_range);
Получить дополнительную функцию передачи чувствительности при y2.
sys = getCompSensitivity(sllin,'y2','y1m',mdl_index);
Откройте модель Simulink.
mdl = 'watertank';
open_system(mdl)

Создайте набор опций линеаризации и задайте StoreOffsets вариант.
opt = linearizeOptions('StoreOffsets',true);
Создать slLinearizer интерфейс.
sllin = slLinearizer(mdl,opt);
Добавьте точку анализа в выходном порту резервуара.
addPoint(sllin,'watertank/Water-Tank System');
Вычислите дополнительную функцию чувствительности в yи получить соответствующие смещения линеаризации.
[sys,info] = getCompSensitivity(sllin,'watertank/Water-Tank System');
Просмотр смещений.
info.Offsets
ans =
struct with fields:
x: [2x1 double]
dx: [2x1 double]
u: 1
y: 1
StateName: {2x1 cell}
InputName: {'watertank/Water-Tank System'}
OutputName: {'watertank/Water-Tank System'}
Ts: 0
s - Интерфейс с моделью Simulink ®slLinearizer интерфейс | slTuner интерфейсИнтерфейс с моделью Simulink, указанной как slLinearizer интерфейс или slTuner интерфейс.
pt - Наименование сигнала точки анализаИмя сигнала точки анализа, указанное как:
Символьный вектор или строка - имя сигнала точки анализа.
Для определения имени сигнала, связанного с точкой анализа, введите s. Программа отображает содержимое s в окне команд MATLAB ®, включая имена сигналов точек анализа, имена блоков и номера портов. Предположим, что точка анализа имеет не имя сигнала, а только имя блока и номер порта. Можно указатьpt в качестве имени блока. Использование точки, отсутствующей в списке точек анализа для s, сначала добавьте точку, используя addPoint.
Можно указать pt как однозначно совпадающая часть полного имени сигнала или имени блока. Предположим, что полное имя сигнала точки анализа равно 'LoadTorque'. Можно указать pt как 'Torque' до тех пор, пока 'Torque' не является частью имени сигнала для любой другой точки анализа s.
Например, pt = 'y1m'.
Массив ячеек символьных векторов или строкового массива - указывает несколько имен точек анализа. Например, pt = {'y1m','y2m'}.
Вычислять linsys, программное обеспечение добавляет выходной сигнал линеаризации, а затем входной сигнал линеаризации на pt.
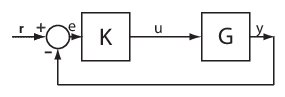
Рассмотрим следующую модель:

Определить pt как 'y':

Вычисляет программное обеспечение linsys как передаточная функция от dy кому y.
При указании pt как множественные сигналы, например pt = {'u','y'}, программное обеспечение добавляет выходной сигнал линеаризации, за которым следует входной сигнал линеаризации в каждой точке.

du и dy являются входами линеаризации, и u и y являются выходами линеаризации. Вычисляет программное обеспечение linsys как передаточная функция MIMO с передаточной функцией от каждого входа линеаризации к каждому выходу линеаризации.
temp_opening - Наименование сигнала временного открытияИмя временного сигнала открытия, указанное как:
Символьный вектор или строка - имя сигнала точки анализа.
temp_opening необходимо указать точку анализа, которая находится в списке точек анализа для s. Для определения имени сигнала, связанного с точкой анализа, введите s. Программа отображает содержимое s в окне команд MATLAB, включая имена сигналов точек анализа, имена блоков и номера портов. Предположим, что точка анализа имеет не имя сигнала, а только имя блока и номер порта. Можно указать temp_opening в качестве имени блока. Использование точки, отсутствующей в списке точек анализа для s, сначала добавьте точку, используя addPoint.
Можно указать temp_opening как однозначно совпадающая часть полного имени сигнала или имени блока. Предположим, что полное имя сигнала точки анализа равно 'LoadTorque'. Можно указать temp_opening как 'Torque' до тех пор, пока 'Torque' не является частью имени сигнала для любой другой точки анализа s.
Например, temp_opening = 'y1m'.
Массив ячеек символьных векторов или строкового массива - указывает несколько имен точек анализа. Например, temp_opening = {'y1m','y2m'}.
mdl_index - Индекс для интересующих линеаризацийИндекс для интересующих линеаризаций, указанный как:
Массив логических значений - индекс логического массива интересующих линеаризаций. Предположим, что вы изменяете два параметра, par1 и par2и хотите извлечь линеаризацию для комбинации par1 > 0.5 и par2 <= 5. Использовать:
params = s.Parameters; mdl_index = params(1).Value>0.5 & params(2).Value <= 5;
Выражение params(1).Value>0.5 & params(2).Value<5 использует логическое индексирование и возвращает логический массив. Этот логический массив имеет тот же размер, что и params(1).Value и params(2).Value. Каждая запись содержит логическую оценку выражения для соответствующих записей в params(1).Value и params(2).Value.
Вектор положительных целых чисел - Линейный индекс интересующих линеаризаций. Предположим, что вы изменяете два параметра, par1 и par2и хотите извлечь линеаризацию для комбинации par1 > 0.5 и par2 <= 5. Использовать:
params = s.Parameters; mdl_index = find(params(1).Value>0.5 & params(2).Value <= 5);
Выражение params(1).Value>0.5 & params(2).Value<5 возвращает логический массив. find возвращает линейный индекс каждой записи true в логическом массиве
linsys - Дополнительная функция чувствительностиДополнительная функция чувствительности, возвращаемая следующим образом:
Если вы не настроили s.Parameters и s.OperatingPoints, программное обеспечение рассчитывает linsys с использованием значений параметров модели по умолчанию. Программа использует исходные условия модели в качестве рабочей точки линеаризации. linsys возвращается как модель пространства состояний.
Если настроено s.Parameters только программа вычисляет линеаризацию для каждой точки сетки параметров. linsys возвращается в виде массива модели state-space того же размера, что и сетка параметров.
Если настроено s.OperatingPoints только программа вычисляет линеаризацию для каждой указанной рабочей точки. linsys возвращается как массив модели с пространством состояний того же размера, что и s.OperatingPoints.
Если настроено s.Parameters и указанные s.OperatingPoints в качестве одной рабочей точки программа вычисляет линеаризацию для каждой точки сетки параметров. Программа использует указанную рабочую точку в качестве рабочей точки линеаризации. linsys возвращается в виде массива модели state-space того же размера, что и сетка параметров.
Если настроено s.Parameters и указанные s.OperatingPoints в качестве множества объектов рабочих точек программа вычисляет линеаризацию для каждой точки сетки параметров. Программное обеспечение требует, чтобы s.OperatingPoints имеет тот же размер, что и сетка параметров, указанная s.Parameters. Программное обеспечение вычисляет каждую линеаризацию с использованием соответствующих рабочих точек и точек сетки параметров. linsys возвращается в виде массива модели state-space того же размера, что и сетка параметров.
Если настроено s.Parameters и указанных s.OperatingPoints В качестве нескольких моментов времени снимка моделирования программа моделирует и линеаризует модель для каждой комбинации времени снимка и точки сетки параметров. Предположим, что задана сетка параметров размера p и N время снимка. linsys возвращается как массив модели с пространством состояний размера Nоколо-p.
info - Информация о линеаризацииИнформация о линеаризации, возвращенная в виде структуры со следующими полями:
Offsets - Смещения линеаризации[] (по умолчанию) | структура | массив структурыСмещения линеаризации, возвращенные как [] если s.Options.StoreOffsets является false. В противном случае Offsets возвращается как одно из следующих значений:
Если linsys является единой моделью состояния-пространства, то Offsets - структура.
Если linsys является массивом моделей состояния-пространства, то Offsets является массивом структуры с теми же размерами, что и linsys.
Каждая структура смещения имеет следующие поля:
| Область | Описание |
|---|---|
x | Смещения состояний, используемые для линеаризации, возвращаемые в виде вектора столбца длиной nx, где nx - количество состояний в linsys. |
y | Выходные смещения, используемые для линеаризации, возвращаемые в виде вектора столбца длиной ny, где ny - количество выходов в linsys. |
u | Входные смещения, используемые для линеаризации, возвращаемые в виде вектора столбца длиной nu, где nu - количество входов в linsys. |
dx | Производные смещения для непрерывных временных систем или обновленные значения состояния для дискретных временных систем, возвращаемые в виде вектора столбца длиной nx. |
StateName | Имена состояний, возвращаемые как массив ячеек, содержащий элементы nx, соответствующие именам в linsys.StateName. |
InputName | Входные имена, возвращаемые как массив ячеек, содержащий элементы nu, соответствующие именам в linsys.InputName. |
OutputName | Выходные имена, возвращаемые как массив ячеек, содержащий ny элементов, соответствующих именам в linsys.OutputName. |
Ts | Время выборки линеаризованной системы, возвращаемое как скаляр, соответствующий времени выборки в linsys.Ts. Для систем непрерывного времени, Ts является 0. |
Если Offsets является структурным массивом, можно сконфигурировать системный блок LPV с помощью смещений. Для этого сначала преобразуйте их в требуемый формат с помощью getOffsetsForLPV. Пример см. в разделе Аппроксимация нелинейного поведения с использованием массива систем LTI.
Advisor - Диагностическая информация о линеаризации[] (по умолчанию) | LinearizationAdvisor объект | массив LinearizationAdvisor объектыДиагностическая информация линеаризации, возвращенная как [] если s.Options.StoreAdvisor является false. В противном случае Advisor возвращается как одно из следующих значений:
Если linsys - единая модель состояния-пространства, Advisor является LinearizationAdvisor объект.
Если linsys - массив моделей состояния-пространства, Advisor является массивом LinearizationAdvisor объекты с теми же размерами, что и linsys.
LinearizationAdvisor объекты сохраняют диагностическую информацию линеаризации для отдельных линеаризованных блоков. Пример устранения неполадок в результатах линеаризации с использованием LinearizationAdvisor см. раздел Устранение неполадок в результатах линеаризации в командной строке.
Дополнительная функция чувствительности в точке представляет собой передаточную функцию от аддитивного возмущения в точке к измерению в той же точке. В отличие от функции чувствительности, возмущение добавляется после измерения.
Чтобы вычислить дополнительную функцию чувствительности в точке анализа, x, программное обеспечение добавляет вывод линеаризации на xс последующим вводом линеаризации, dx. Дополнительная функция чувствительности - это передаточная функция от dx кому x.
| Точка анализа в модели Simulink | Как getCompSensitivity Интерпретирует точку анализа | Дополнительная функция чувствительности |
|---|---|---|
|
|
| Функция переноса из |
Например, рассмотрим следующую модель, в которой вычисляется дополнительная функция чувствительности в y:

Здесь программное обеспечение добавляет вывод линеаризации в yс последующим вводом линеаризации, dy. Дополнительная функция чувствительности при y, T, - передаточная функция от dy кому y. Т рассчитывается следующим образом:
+ GK) −1GK︸Tdy.
Здесь I - единичная матрица того же размера, что и GK. Дополнительная функция передачи чувствительности при y равно -1 умножить передаточную функцию с замкнутым контуром от r кому y.
Как правило, дополнительная функция чувствительности T, вычисленная из опорных сигналов к выходам установки, равна I-S. Здесь S - функция чувствительности в точке, а I - единичная матрица соизмеримого размера. Однако, потому что getCompSensitivity добавляет выходной сигнал линеаризации и входной сигнал в той же точке, T, как возвращено getCompSensitivity, равно S-I.
При вычислении дополнительной функции чувствительности программа не изменяет модель Simulink.
Точки анализа, используемые slLinearizer и slTuner определение местоположений в модели, релевантных для линейного анализа и настройки системы управления. Точки анализа используются в качестве входных данных для команд линеаризации, таких как getIOTransfer, getLoopTransfer, getSensitivity, и getCompSensitivity. В качестве входных данных для команд линеаризации точки анализа могут задавать любую функцию переноса с разомкнутым контуром или с замкнутым контуром в модели. Точки анализа можно также использовать для задания требований к конструкции при настройке систем управления с помощью таких команд, как systune.
Местоположение относится к конкретному выходному порту блока в модели или к элементу шины в таком выходном порту. Для удобства можно использовать имя сигнала, исходящего из этого порта, для ссылки на точку анализа.
Можно добавить точки анализа в slLinearizer или slTuner интерфейс, s, при создании интерфейса. Например:
s = slLinearizer('scdcascade',{'u1','y1'});
Кроме того, можно использовать addPoint команда.
Просмотр всех точек анализа s, тип s в командной строке для отображения содержимого интерфейса. Для каждой точки анализа s, дисплей включает в себя имя блока и номер порта, а также имя сигнала, который инициируется в этот момент. Можно также программно получить список всех точек анализа с помощью getPoints.
Дополнительные сведения об использовании точек анализа см. в разделах Маркировка интересующих сигналов для анализа и проектирования системы управления и Маркировка интересующих сигналов для линеаризации партий.
Постоянные отверстия, используемые slLinearizer и slTuner определите местоположения в модели, где программное обеспечение разрывает поток сигналов. Программное обеспечение обеспечивает эти отверстия для линеаризации и настройки. Используйте постоянные проемы для изоляции определенного компонента модели. Предположим, что имеется масштабная модель, отражающая динамику самолета, и требуется выполнить линейный анализ только на корпусе самолета. Постоянные проемы можно использовать для исключения всех других компонентов модели. Другим примером является случай, когда в модели имеются каскадные циклы и требуется проанализировать определенный цикл.
Местоположение относится к определенному выходному порту блока в модели. Для удобства можно использовать имя сигнала, исходящего из этого порта, для ссылки на открытие.
Можно добавить постоянные проемы в slLinearizer или slTuner интерфейс, s, при создании интерфейса или с помощью addOpening команда. Чтобы удалить расположение из списка постоянных проемов, используйте removeOpening команда.
Просмотр всех проемов s, тип s в командной строке для отображения содержимого интерфейса. Для каждого постоянного открытия s, дисплей включает в себя имя блока и номер порта, а также имя сигнала, который инициируется в этом местоположении. Можно также программно получить список всех постоянных проемов контура с помощью getOpenings.
addOpening | addPoint | getIOTransfer | getLoopTransfer | getSensitivity | slLinearizer | slTuner
Имеется измененная версия этого примера. Открыть этот пример с помощью изменений?
1. Если смысл перевода понятен, то лучше оставьте как есть и не придирайтесь к словам, синонимам и тому подобному. О вкусах не спорим.
2. Не дополняйте перевод комментариями “от себя”. В исправлении не должно появляться дополнительных смыслов и комментариев, отсутствующих в оригинале. Такие правки не получится интегрировать в алгоритме автоматического перевода.
3. Сохраняйте структуру оригинального текста - например, не разбивайте одно предложение на два.
4. Не имеет смысла однотипное исправление перевода какого-то термина во всех предложениях. Исправляйте только в одном месте. Когда Вашу правку одобрят, это исправление будет алгоритмически распространено и на другие части документации.
5. По иным вопросам, например если надо исправить заблокированное для перевода слово, обратитесь к редакторам через форму технической поддержки.