В этом примере показано, как оптимизировать параметры модели в соответствии с требованиями частотной области с помощью оптимизатора отклика. Программное обеспечение Simulink ® Control Design™ должно быть установлено для оптимизации конструкции в соответствии с требованиями к конструкции частотной области.
В этом примере требования к конструкции задаются в блоке «Проверка характеристик модели» (Simulink Control Design). Параметры фильтра выпрямителя оптимизируются в соответствии с требованиями к коэффициенту усиления и полосе пропускания за счет минимизации настраиваемой цели.
Модель sdorectifier включает в себя следующие блоки:

Блок Full-Wave Rectifier - блок Abs
Подсистема выпрямительного фильтра - фильтр RLC, реализованный с использованием интегратора и блоков усиления
Блок «Требования к конструкции фильтра» - блок «Проверка характеристик модели» (Simulink Control Design), определяющий требования к конструкции усиления и полосы пропускания
Задача оптимизации проекта имеет несколько целей. Конструкция должна:
Иметь полосу пропускания -3 дБ не менее 2 Гц
Ограничить коэффициент усиления в диапазоне частот 2 Гц - 60 Гц максимум 0 дБ
Ограничить коэффициент усиления выше 60 Гц максимум -20 дБ
Максимальное сопротивление фильтра R
Минимизация индуктивности фильтра L
Требования гарантируют, что комбинация выпрямительных фильтров имеет минимальное высокочастотное содержание, быстро реагирует на изменения напряжения и ограничивает токи фильтра.
Откройте оптимизатор отклика для модели.
sdotool('sdorectifier')

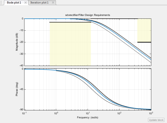
На вкладке Bode plot 1 показаны требования к коэффициенту усиления и полосе пропускания, указанные в блоке «Требования к конструкции фильтра» модели. Чтобы просмотреть их значения, дважды щелкните блок, чтобы открыть диалоговое окно «Параметры блока», и выберите вкладку «Границы».
Укажите пользовательский объект для минимизации индуктивности фильтра и максимизации сопротивления.
Пользовательская цель уже определена в sdorectifier_cost функция. Функция принимает конструктивные переменные R и L и возвращает цель, подлежащую минимизации.
Совет
Напечатать edit sdorectifier_cost в командной строке для просмотра этой функции.
В раскрывающемся списке Создать выберите Пользовательское требование.

В окне Создать требование (Create Requirement) задайте следующие значения и нажмите кнопку ОК.
В поле редактирования «Имя» введите MaxMinRL.
В поле редактирования «Тип» выберите Minimize the function output
В поле редактирования «Функция» введите @sdorectifier_cost. Решатель оптимизации вызывает указанный дескриптор функции.

Новая переменная требования MaxMinRL создается и появляется в области Данные в оптимизаторе ответа. На вкладке 1 графика итерации отображается значение MaxMinRL в каждой итерации во время оптимизации.
При оптимизации отклика модели программа изменяет значения конструктивных переменных в соответствии с требованиями проекта.
В раскрывающемся списке «Набор конструктивных переменных» выберите «Создать».

Выбрать C, Lи R в окне Создать набор конструктивных переменных (Create Design Variable Set). Щелкните
, чтобы добавить выбранные параметры в набор конструктивных переменных.

Задайте диапазон значений для каждой конструктивной переменной и нажмите «ОК»:
C в диапазоне 1 µF-1 мФ
L в диапазоне 1-500 мЧ
R в диапазоне 0,01-50 Ом

Новая переменная DesignVars создается и появляется в области Данные оптимизатора ответа.
Чтобы просмотреть текущий отклик модели, щелкните
График (Plot) Отклик модели (Model Response).

Окно Bode plot 1 в оптимизаторе отклика показывает, что выходные данные модели выходят за пределы области, ограниченной сегментами линий требований конструкции.
В Voltage окно объема, вы видите, что сигнал напряжения фильтра превышает свое стационарное значение и содержит значительное гармоническое содержание.

Щелкните
Оптимизировать (Optimize).
Optimization converged сообщение в отчете о ходе оптимизации указывает, что метод оптимизации нашел решение, удовлетворяющее требованиям к пропускной способности фильтра.

Гармоническое содержание в сигнале напряжения фильтра уменьшается от исходной конструкции.

Убедитесь, что модель соответствует требованиям к коэффициенту усиления и полосе пропускания.

На графике отображаются выходные данные последних пяти итераций. Окончательный ответ с использованием значений оптимизированного параметра отображается как толстая синяя линия.
Оптимизированный отклик находится в белой области, ограниченной сегментами линий требований проекта, и, таким образом, соответствует требованиям.
Щелкнуть DesignVars в области Данные (Data) и просмотр обновленных значений в области Предварительный просмотр переменных (Variable Preview).
Оптимизированные значения конструктивных переменных автоматически обновляются в модели Simulink.
Проверка характеристик кузова (проект управления симуляцией)