Передаточная функция области Laplace для операции дифференциации:

Это уравнение не является правильной передаточной функцией, и оно не имеет представления пространства состояний. Таким образом, программное обеспечение Simulink линеаризирует этот блок как эффективный коэффициент усиления 0, если вы явным образом не задаете, что для аппроксимации линейного поведения этого блока должна использоваться надлежащая передаточная функция первого порядка.
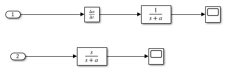
Чтобы улучшить линеаризацию, можно также попытаться включить производный термин в другие блоки. Для примера, если у вас есть Производный блок последовательно с блоком Transfer Fcn, попробуйте использовать один блок Transfer Fcn в форме

Для примера можно заменить первый набор блоков по этому рисунку на блоки под ними:
