exponenta event banner

rfplot

Отобразите данные S-параметра на графике

Описание

пример

rfplot(s_obj) строит величину в дБ по сравнению с частотой всех S-параметров (S11, S12... SNN) на текущей оси. s_obj должен быть S-объект-параметра.

rfplot(s_obj,i,j) строит величину Si, j, в децибелах, по сравнению с частотой на текущей оси.

rfplot(___,LineSpec) S-параметры графиков с помощью дополнительных типов линии, символов и цветов заданы LineSpec.

rfplot(___,plotflag) позволяет задавать тип графика при помощи plotflag.

пример

hline = rfplot(___) строит S-параметры и возвращает вектор-столбец указателей на объекты линии, hline.

[hline,haxes] = rfplot(filter,frequencies) строит ответ величины S-параметров для фильтра rf.

Примеры

свернуть все

Используйте sparameters создать набор S-параметры.

hs = sparameters('default.s2p');

Постройте все S-параметры.

rfplot(hs)

Figure contains an axes object. The axes object contains 4 objects of type line. These objects represent dB(S_{11}), dB(S_{21}), dB(S_{12}), dB(S_{22}).

Постройте S21.

rfplot(hs,2,1)

Figure contains an axes object. The axes object contains an object of type line. This object represents dB(S_{21}).

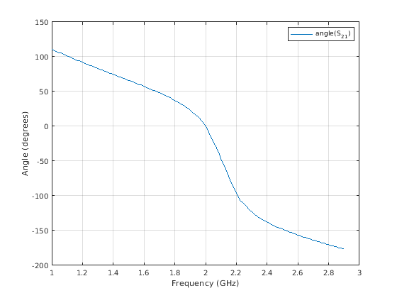
Постройте угол S21 в градусах.

rfplot(hs,2,1,'angle')

Figure contains an axes object. The axes object contains an object of type line. This object represents angle(S_{21}).

Постройте действительную часть S21.

rfplot(hs,2,1,'real')

Figure contains an axes object. The axes object contains an object of type line. This object represents real(S_{21}).

Входные параметры

свернуть все

S-параметры в виде объекта параметра сети RF Toolbox™. Чтобы создать этот тип объекта, используйте sparameters функция.

Индекс строки данных, чтобы построить в виде положительного целого числа.

Индекс столбца данных, чтобы построить в виде положительного целого числа.

Стиль линии, цвет и маркер задается как символ или строка символов. Символы могут появиться в любом порядке. Вы не должны задавать все три характеристики (стиль линии, маркер и цвет). Например, если вы не используете стиль линии и задаете маркер, затем график показывает только маркер и никакую линию.

Пример: '--or' красная пунктирная линия с круговыми маркерами

Стиль линииОписаниеПолучившаяся линия
'-'Сплошная линия

Sample of solid line

'--'Пунктирная линия

Sample of dashed line

':'Пунктирная линия

Sample of dotted line

'-.'Штрих-пунктирная линия

Sample of dash-dotted line, with alternating dashes and dots

МаркерОписаниеПолучившийся маркер
'o'Круг

Sample of circle marker

'+'Знак «плюс»

Sample of plus sign marker

'*'Звездочка

Sample of asterisk marker

'.'Точка

Sample of point marker

'x'Крест

Sample of cross marker

'_'Горизонтальная линия

Sample of horizontal line marker

'|'Вертикальная линия

Sample of vertical line marker

's'Квадрат

Sample of square marker

'd'Ромб

Sample of diamond line marker

'^'Треугольник, направленный вверх

Sample of upward-pointing triangle marker

'v'Нисходящий треугольник

Sample of downward-pointing triangle marker

'>'Треугольник, указывающий вправо

Sample of right-pointing triangle marker

'<'Треугольник, указывающий влево

Sample of left-pointing triangle marker

'p'Пентаграмма

Sample of pentagram marker

'h'Гексаграмма

Sample of hexagram marker

Название цветаКраткое названиеТриплет RGBВнешний вид
'red''r'[1 0 0]

Sample of the color red

'green''g'[0 1 0]

Sample of the color green

'blue''b'[0 0 1]

Sample of the color blue

'cyan' 'c'[0 1 1]

Sample of the color cyan

'magenta''m'[1 0 1]

Sample of the color magenta

'yellow''y'[1 1 0]

Sample of the color yellow

'black''k'[0 0 0]

Sample of the color black

'white''w'[1 1 1]

Sample of the color white

Постройте типы в виде следующих значений: 'db'действительныйimagabs\angle.

Пример: 'angle'

Фильтр RF в виде rffilter возразите или lcladder объект.

Частоты, чтобы построить ответ величины в виде вектора.

Выходные аргументы

свернуть все

Линия, содержащая график S-параметра, возвращенный как указатель линии.

Оси rfplot, возвращенного как указатель осей.

Смотрите также

| | | (Antenna Toolbox) | |

Представлено до R2006a