Этот пример показывает вам, как извлечь S-параметры Устройства под тестом (DUT). Во-первых, считайте файл Touchstone® в sparameters объект, во-вторых, вычисляет S-параметры для левых и правых клавиатур, в-третьих, de-embed S-параметры с помощью deembedsparams функционируйте и наконец отобразите результаты.
Этот пример использует данные S-параметра в файле samplebjt2.s2p это было собрано из биполярного транзистора в фиксаторе с рельсовым соединителем (серийная индуктивность 1 nH) соединенный с контактной площадкой (емкость шунта 100 и следующие) на входе, и контактная площадка (емкость шунта 100 и следующие) соединенный с рельсовым соединителем (серийная индуктивность 1 nH) на выходе, видит рисунок 1.
Рисунок 1: устройство под тестом (DUT) и испытательный стенд.
Этот пример также покажет, как удалить эффекты фиксатора для того, чтобы извлечь S-параметры DUT.
Создайте sparameters объект для измеренных S-параметров, путем чтения файла данных Touchstone®, samplebjt2.s2p.
S_measuredBJT = sparameters('samplebjt2.s2p');
freq = S_measuredBJT.Frequencies;Создайте два порта circuit объект, представляющий левую клавиатуру, содержа серию inductor и шунт capacitor. Затем вычислите S-параметры с помощью частот от samplebjt2.s2p.
leftpad = circuit('left');
add(leftpad,[1 2],inductor(1e-9));
add(leftpad,[2 3],capacitor(100e-15));
setports(leftpad,[1 3],[2 3]);
S_leftpad = sparameters(leftpad,freq);Создайте два порта circuit объект, представляющий правильную клавиатуру, содержа серию inductor и шунтируйте capacitor. Затем вычислите S-параметры с помощью частот от samplebjt2.s2p.
rightpad = circuit('right');
add(rightpad,[1 3],capacitor(100e-15));
add(rightpad,[1 2],inductor(1e-9));
setports(rightpad,[1 3],[2 3]);
S_rightpad = sparameters(rightpad,freq);De-embed S-параметры DUT от измеренных S-параметров путем удаления эффектов клавиатур ввода и вывода (deembedsparams).
S_DUT = deembedsparams(S_measuredBJT,S_leftpad,S_rightpad);
Используйте smithplot функционируйте, чтобы построить измеренное и параметры de-embedded S11.
figure hs = smithplot(S_measuredBJT,1,1); hold on; smithplot(S_DUT,1,1) hs.ColorOrder = [1 0 0; 0 0 1]; hs.LegendLabels = {'Measured S11','De-Embedded S11'};

Используйте smithplot функционируйте, чтобы построить измеренное и параметры de-embedded S22.
figure hold off; smithplot(S_measuredBJT,2,2) hold on; smithplot(S_DUT,2,2) hs = smithplot('gco'); hs.ColorOrder = [1 0 0; 0 0 1]; hs.LegendLabels = {'Measured S22','De-Embedded S22'};

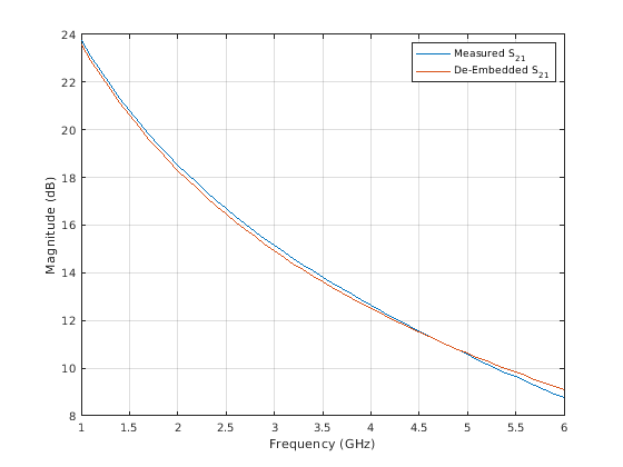
Используйте rfplot функционируйте, чтобы построить измеренное и параметры de-embedded S21.
figure hold off; h1 = rfplot(S_measuredBJT,2,1); hold on; h2 = rfplot(S_DUT,2,1); legend([h1,h2],{'Measured S_{21}','De-Embedded S_{21}'});
