Вычислите данные ROC и AUROC
вычисляет область под кривой рабочей характеристики приемника (AUROC). DiscMeasure = modelDiscrimination(lgdModel,data)modelDiscrimination сегментация поддержек и сравнение с образцом модели и также альтернативными методами, чтобы дискретизировать ответ LGD в бинарную переменную.
[ задает опции с помощью одного или нескольких аргументов пары "имя-значение" в дополнение к входным параметрам в предыдущем синтаксисе.DiscMeasure,DiscData] = modelDiscrimination(___,Name,Value)
В этом примере показано, как использовать fitLGDModel соответствовать данным Regression модель и затем использует modelDiscrimination вычислить AUROC и ROC.
Загрузка данных
Загрузите потерю, данную данные по умолчанию.
load LGDData.mat
head(data)ans=8×4 table
LTV Age Type LGD
_______ _______ ___________ _________
0.89101 0.39716 residential 0.032659
0.70176 2.0939 residential 0.43564
0.72078 2.7948 residential 0.0064766
0.37013 1.237 residential 0.007947
0.36492 2.5818 residential 0
0.796 1.5957 residential 0.14572
0.60203 1.1599 residential 0.025688
0.92005 0.50253 investment 0.063182
Данные о разделе
Разделите данные на обучение и протестируйте разделы.
rng('default'); % for reproducibility NumObs = height(data); c = cvpartition(NumObs,'HoldOut',0.4); TrainingInd = training(c); TestInd = test(c);
Создайте Regression Модель LGD
Используйте fitLGDModel создать Regression модель с помощью обучающих данных. Можно также использовать fitLGDModel создать Tobit модель путем изменения lgdModel входной параметр к 'Tobit'.
lgdModel = fitLGDModel(data(TrainingInd,:),'Regression');
disp(lgdModel) Regression with properties:
ResponseTransform: "logit"
BoundaryTolerance: 1.0000e-05
ModelID: "Regression"
Description: ""
UnderlyingModel: [1x1 classreg.regr.CompactLinearModel]
PredictorVars: ["LTV" "Age" "Type"]
ResponseVar: "LGD"
Отобразите базовую модель.
disp(lgdModel.UnderlyingModel)
Compact linear regression model:
LGD_logit ~ 1 + LTV + Age + Type
Estimated Coefficients:
Estimate SE tStat pValue
________ ________ _______ __________
(Intercept) -4.7549 0.36041 -13.193 3.0997e-38
LTV 2.8565 0.41777 6.8377 1.0531e-11
Age -1.5397 0.085716 -17.963 3.3172e-67
Type_investment 1.4358 0.2475 5.8012 7.587e-09
Number of observations: 2093, Error degrees of freedom: 2089
Root Mean Squared Error: 4.24
R-squared: 0.206, Adjusted R-Squared: 0.205
F-statistic vs. constant model: 181, p-value = 2.42e-104
Вычислите данные ROC и AUROC
Используйте modelDiscrimination вычислить AUROC и ROC для набора тестовых данных.
DiscMeasure = modelDiscrimination(lgdModel,data(TestInd,:))
DiscMeasure=table
AUROC
_______
Regression 0.67897
Можно визуализировать данные ROC с помощью modelDiscriminationPlot.
modelDiscriminationPlot(lgdModel,data(TestInd,:))

В этом примере показано, как использовать fitLGDModel соответствовать данным Tobit модель и затем использует modelDiscrimination вычислить AUROC и ROC.
Загрузка данных
Загрузите потерю, данную данные по умолчанию.
load LGDData.mat
head(data)ans=8×4 table
LTV Age Type LGD
_______ _______ ___________ _________
0.89101 0.39716 residential 0.032659
0.70176 2.0939 residential 0.43564
0.72078 2.7948 residential 0.0064766
0.37013 1.237 residential 0.007947
0.36492 2.5818 residential 0
0.796 1.5957 residential 0.14572
0.60203 1.1599 residential 0.025688
0.92005 0.50253 investment 0.063182
Данные о разделе
Разделите данные на обучение и протестируйте разделы.
rng('default'); % for reproducibility NumObs = height(data); c = cvpartition(NumObs,'HoldOut',0.4); TrainingInd = training(c); TestInd = test(c);
Создайте Tobit Модель LGD
Используйте fitLGDModel создать Tobit модель с помощью обучающих данных.
lgdModel = fitLGDModel(data(TrainingInd,:),'tobit');
disp(lgdModel) Tobit with properties:
CensoringSide: "both"
LeftLimit: 0
RightLimit: 1
ModelID: "Tobit"
Description: ""
UnderlyingModel: [1x1 risk.internal.credit.TobitModel]
PredictorVars: ["LTV" "Age" "Type"]
ResponseVar: "LGD"
Отобразите базовую модель.
disp(lgdModel.UnderlyingModel)
Tobit regression model:
LGD = max(0,min(Y*,1))
Y* ~ 1 + LTV + Age + Type
Estimated coefficients:
Estimate SE tStat pValue
_________ _________ _______ __________
(Intercept) 0.058257 0.027265 2.1367 0.032737
LTV 0.20126 0.031354 6.4189 1.6932e-10
Age -0.095407 0.0072653 -13.132 0
Type_investment 0.10208 0.018058 5.6531 1.7915e-08
(Sigma) 0.29288 0.0057036 51.35 0
Number of observations: 2093
Number of left-censored observations: 547
Number of uncensored observations: 1521
Number of right-censored observations: 25
Log-likelihood: -698.383
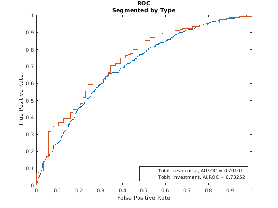
Вычислите данные ROC и AUROC
Используйте modelDiscrimination вычислить AUROC и ROC для набора тестовых данных.
DiscMeasure = modelDiscrimination(lgdModel,data(TestInd,:),'SegmentBy',"Type",'DiscretizeBy',"median")
DiscMeasure=2×1 table
AUROC
_______
Tobit, Type=residential 0.70101
Tobit, Type=investment 0.73252
Можно визуализировать ROC с помощью modelDiscriminationPlot.
modelDiscriminationPlot(lgdModel,data(TestInd,:),'SegmentBy',"Type",'DiscretizeBy',"median")

lgdModel — Потеря, данная модель по умолчаниюRegression возразите | Tobit объектПотеря, данная модель по умолчанию в виде ранее созданного Regression или Tobit объектное использование fitLGDModel.
Типы данных: object
data данныеДанные в виде NumRows- NumCols таблица с предиктором и значениями отклика. Имена переменных и типы данных должны быть сопоставимы с базовой моделью.
Типы данных: table
Задайте дополнительные разделенные запятой пары Name,Value аргументы. Name имя аргумента и Value соответствующее значение. Name должен появиться в кавычках. Вы можете задать несколько аргументов в виде пар имен и значений в любом порядке, например: Name1, Value1, ..., NameN, ValueN.
[DiscMeasure,DiscData] = modelDiscrimination(lgdModel,data(TestInd,:),'DataID','Testing','DiscretizeBy','median')DataID — Идентификатор набора данных""
(значение по умолчанию) | вектор символов | строкаИдентификатор набора данных в виде разделенной запятой пары, состоящей из 'DataID' и вектор символов или строка. DataID включен в выход для создания отчетов о целях.
Типы данных: char | string
DiscretizeBy — Метод дискретизации для data LGD'mean'
(значение по умолчанию) | вектор символов со значением 'mean'медиана, 'positive', или 'total' | представьте в виде строки со значением "mean"медиана, "positive", или "total"Метод дискретизации для data LGDВ виде разделенной запятой пары, состоящей из 'DiscretizeBy' и вектор символов или строка.
'mean' — Дискретизированным ответом является 1 если наблюдается LGD больше или равен среднему LGD, 0 в противном случае.
'median' — Дискретизированным ответом является 1 если наблюдается LGD больше или равен среднему LGD, 0 в противном случае.
'positive' — Дискретизированным ответом является 1 если наблюдается LGD положителен, 0 в противном случае (полное восстановление).
'total' — Дискретизированным ответом является 1 если наблюдается LGD больше или равен 1 (общая сумма убытков), 0 в противном случае.
Типы данных: char | string
SegmentBy — Имя столбца в data введите используемый, чтобы сегментировать набор данных""
(значение по умолчанию) | вектор символов | строкаИмя столбца в data введите, не обязательно переменная модели, чтобы использоваться, чтобы сегментировать набор данных в виде разделенной запятой пары, состоящей из 'SegmentBy' и вектор символов или строка. Об одном AUROC сообщают для каждого сегмента, и соответствующие данные ROC для каждого сегмента возвращены в дополнительном выходе.
Типы данных: char | string
ReferenceLGD — Значения LGD предсказаны для data образцом модели[ ]
(значение по умолчанию) | числовой векторReferenceID — Идентификатор для образца модели'Reference'
(значение по умолчанию) | вектор символов | строкаИдентификатор для образца модели в виде разделенной запятой пары, состоящей из 'ReferenceID' и вектор символов или строка. 'ReferenceID' используется в modelDiscrimination выведите для создания отчетов о целях.
Типы данных: char | string
DiscMeasure — Информация о AUROC для каждой модели и каждого сегментаИнформация о AUROC для каждой модели и каждого сегмента, возвращенного как таблица. DiscMeasure имеет отдельный столбец под названием 'AUROC' и количество строк зависит от количества сегментов и используете ли вы ReferenceID для образца модели. Имена строки DiscMeasure сообщите о модели IDs, сегменте и ID данных.
DiscData — Данные ROC для каждой модели и каждого сегментаДанные ROC для каждой модели и каждого сегмента, возвращенного как таблица. Существует три столбца для данных ROC с именами столбцов 'X'Y, и 'T', где первые два являются координатами X и Y кривой ROC, и T содержит соответствующие пороги. Для получения дополнительной информации смотрите Дискриминацию Модели или perfcurve.
Если вы используете SegmentBy, функция складывает данные ROC для всех сегментов и DiscData имеет столбец со значениями сегментации, чтобы указать где каждый сегмент начала и концы.
Если данные об образце модели даны, DiscData выходные параметры для основного и образцов модели сложены с дополнительным столбцом 'ModelID' указание, где каждый начала и концы модели.
Model discrimination измеряет рейтинг риска.
modelDiscrimination функция вычисляет область под характеристикой оператора приемника (AUROC) кривая, иногда называемая просто область под кривой (AUC). Эта метрика между 0 и 1, и более высокие значения указывают на лучшую дискриминацию.
Чтобы вычислить AUROC, вам нужны числовое предсказание и бинарный ответ. Для моделей потери, данной значение по умолчанию (LGD) предсказанный LGD используется непосредственно в качестве предсказания. Однако наблюдаемый LGD должен быть дискретизирован в бинарную переменную. По умолчанию наблюдаемые значения LGD, больше, чем или равный среднему значению, заметили, что LGD присвоены значение 1, и значения ниже среднего значения присвоены значение 0. Этот дискретизированный ответ интерпретирован как “высокий LGD” по сравнению с “низким LGD”. Поэтому modelDiscrimination функционируйте меры, как хорошо предсказанный LGD разделяет “высокий LGD” по сравнению с “низким LGD” наблюдения. Можно изменить критерий дискретизации с DiscretizeBy аргумент пары "имя-значение".
Чтобы построить кривую характеристики оператора приемника (ROC), используйте modelDiscriminationPlot функция. Однако, если данные о кривой ROC необходимы, используйте дополнительный DiscData выходной аргумент от modelDiscrimination функция.
Кривая ROC является параметрической кривой, которая строит пропорцию
Высокие случаи LGD с предсказанным, LGD больше, чем или равный параметру t или истинный положительный уровень (TPR)
Низкие случаи LGD с предсказанным, LGD больше, чем или равный тому же параметру t или ложный положительный уровень (FPR)
Параметр развертки t через весь наблюдаемый предсказал значения LGD для определенных данных. DiscData дополнительный выход содержит TPR в 'X' столбец, FPR в 'Y' столбец и соответствующие параметры t в 'T' столбец. Для получения дополнительной информации о кривых ROC, см. Кривые производительности.
[1] Baesens, Барт, Дэниел Роеш и Харальд Шойле. Аналитика кредитного риска: техники измерений, приложения и примеры в SAS. Вайли, 2016.
[2] Беллини, Тициано. МСФО 9 и моделирование кредитного риска CECL и валидация: практическое руководство с примерами работало в R и SAS. Сан-Диего, CA: Elsevier, 2019.
Tobit | Regression | modelAccuracyPlot | modelAccuracy | modelDiscriminationPlot | predict | fitLGDModel
У вас есть модифицированная версия этого примера. Вы хотите открыть этот пример со своими редактированиями?
1. Если смысл перевода понятен, то лучше оставьте как есть и не придирайтесь к словам, синонимам и тому подобному. О вкусах не спорим.
2. Не дополняйте перевод комментариями “от себя”. В исправлении не должно появляться дополнительных смыслов и комментариев, отсутствующих в оригинале. Такие правки не получится интегрировать в алгоритме автоматического перевода.
3. Сохраняйте структуру оригинального текста - например, не разбивайте одно предложение на два.
4. Не имеет смысла однотипное исправление перевода какого-то термина во всех предложениях. Исправляйте только в одном месте. Когда Вашу правку одобрят, это исправление будет алгоритмически распространено и на другие части документации.
5. По иным вопросам, например если надо исправить заблокированное для перевода слово, обратитесь к редакторам через форму технической поддержки.