exponenta event banner

ecdf

Эмпирическая кумулятивная функция распределения

Описание

пример

[f,x] = ecdf(y) возвращает эмпирическую кумулятивную функцию распределения f, оцененный в x, использование данных в y.

пример

[f,x] = ecdf(y,Name,Value) задает дополнительные опции с помощью одних или нескольких аргументов name-value. Например, 'Function', 'оставшийся в живых' задает тип функции для f как функция оставшегося в живых.

пример

[f,x,flo,fup] = ecdf(___) также возвращает более низкие и верхние доверительные границы для оцененных значений функции, с помощью любой из комбинаций входных аргументов в предыдущих синтаксисах. Этот синтаксис не допустим для подвергнутых цензуре интервалом данных.

пример

ecdf(___) производит ступенчатый график выполненной функции. Функция визуализирует оценки интервала для подвергнутых цензуре интервалом данных с помощью закрашенных прямоугольников. Можно задать 'Bounds'on включать доверительные границы в график для полностью наблюдаемых, лево-подвергнутых цензуре, подвергнутых цензуре правом, и дважды подвергнутых цензуре данных.

ecdf(ax,___) графики на осях заданы ax вместо текущей системы координат (gca).

Примеры

свернуть все

Вычислите оценку Каплана-Мейера эмпирической кумулятивной функции распределения (cdf) для симулированных данных о выживании.

Сгенерируйте данные о выживании из распределения Weibull параметрами 3 и 1.

rng('default')  % For reproducibility
failuretime = random('wbl',3,1,15,1);

Вычислите оценку Каплана-Мейера эмпирического cdf для данных о выживании.

[f,x] = ecdf(failuretime);
[f,x]
ans = 16×2

         0    0.0895
    0.0667    0.0895
    0.1333    0.1072
    0.2000    0.1303
    0.2667    0.1313
    0.3333    0.2718
    0.4000    0.2968
    0.4667    0.6147
    0.5333    0.6684
    0.6000    1.3749
      ⋮

Постройте предполагаемый эмпирический cdf.

ecdf(failuretime)

Figure contains an axes object. The axes object contains an object of type stair.

Сгенерируйте подвергнутые цензуре правом данные о выживании и сравните эмпирическую кумулятивную функцию распределения (cdf) с известным cdf.

Сгенерируйте времена отказа от экспоненциального распределения со средним временем отказа 15.

rng('default')  % For reproducibility
y = exprnd(15,75,1);

Сгенерируйте времена уволенного от экспоненциального распределения со средним временем отказа 30.

d = exprnd(30,75,1);

Сгенерируйте наблюдаемые времена отказа, то есть, минимум сгенерированных времен отказа и времен уволенного.

t = min(y,d);

Создайте логический массив, содержащий сгенерированные времена отказа, которые больше, чем времена уволенного. Данные, для которых это условие верно, подвергаются цензуре.

censored = (y>d);

Вычислите эмпирический cdf и доверительные границы.

[f,x,flo,fup] = ecdf(t,'Censoring',censored);

Постройте эмпирический cdf и доверительные границы.

ecdf(t,'Censoring',censored,'Bounds','on')
hold on

Figure contains an axes object. The axes object contains 3 objects of type stair.

Наложите график известного населения cdf.

xx = 0:.1:max(t);
yy = 1-exp(-xx/15);
plot(xx,yy,'g-','LineWidth',2)
axis([0 max(t) 0 1])
legend('Empirical cdf','Lower confidence bound', ...
    'Upper confidence bound','Known population cdf', ...
    'Location','southeast')
hold off

Figure contains an axes object. The axes object contains 4 objects of type stair, line. These objects represent Empirical cdf, Lower confidence bound, Upper confidence bound, Known population cdf.

Сгенерируйте данные о выживании и постройте эмпирическую функцию оставшегося в живых с 99% доверительных границ.

Сгенерируйте пожизненные данные из распределения Weibull параметрами 100 и 2.

rng('default')  % For reproducibility
R = wblrnd(100,2,100,1);

Постройте эмпирическую функцию оставшегося в живых для данных с 99% доверительных границ.

ecdf(R,'Function','survivor','Alpha',0.01,'Bounds','on')
hold on

Figure contains an axes object. The axes object contains 3 objects of type stair.

Наложите график функции оставшегося в живых Weibull.

x = 1:1:250;
wblsurv = 1-cdf('weibull',x,100,2);
plot(x,wblsurv,'g-','LineWidth',2)
legend('Empirical survivor function','Lower confidence bound', ...
    'Upper confidence bound','Weibull survivor function', ...
    'Location','northeast')

Figure contains an axes object. The axes object contains 4 objects of type stair, line. These objects represent Empirical survivor function, Lower confidence bound, Upper confidence bound, Weibull survivor function.

Функция оставшегося в живых Weibull на основе фактического распределения в доверительных границах.

Вычислите и постройте совокупную функцию опасности симулированных дважды подвергнутых цензуре данных о выживании.

Сгенерируйте времена отказа от распределения Бирнбаума-Сондерса.

rng('default')  % For reproducibility
failuretime = random('BirnbaumSaunders',0.3,1,[100,1]);

Примите, что исследование запускается во время 0.1 и концы во время 0.9. Предположение подразумевает, что времена отказа, меньше чем 0,1 оставляют подвергнутыми цензуре, и времена отказа, больше, чем 0,9, правильные подвергнутый цензуре.

Создайте вектор, в котором каждый элемент указывает на состояние цензуры соответствующего наблюдения в failuretime. Используйте –1, 1, и 0, чтобы указать на лево-подвергнутые цензуре, подвергнутые цензуре правом, и полностью наблюдаемые наблюдения, соответственно.

L = 0.1;
U = 0.9;
left_censored = (failuretime<L);
right_censored = (failuretime>U);
c = right_censored - left_censored;

Постройте эмпирическую совокупную функцию опасности для данных с 95% доверительных границ.

ecdf(failuretime,'Function','cumulative hazard', ...
    'Censoring',c,'Bounds','on')

Figure contains an axes object. The axes object contains 3 objects of type stair.

Вычислите и постройте эмпирический cdf подвергнутых цензуре интервалом данных.

Загрузите cities набор данных. Данные включают оценки для девяти различных индикаторов качества жизни в 329 городах США: климат, корпус, здоровье, преступление, транспортировка, образование, искусства, воссоздание и экономика. Для каждого индикатора более высокая оценка лучше.

load cities

Выберите первый индикатор (климат) как выборочные данные.

Y = ratings(:,1);

Примите что индикаторы в Y значения, округленные до ближайшего целого числа. Затем можно обработать значения в Y как подвергнутые цензуре интервалом наблюдения. Наблюдение y в Y указывает, что фактическая оценка между y–0.5 и y+0.5.

Создайте матрицу, в которой каждая строка представляет интервал, окружающий каждое целое число в Y.

intervalY = [Y-0.5, Y+0.5];

Вычислите эмпирические cdf значения.

[f,x] = ecdf(intervalY);

Постройте эмпирические cdf значения.

figure
ecdf(intervalY)

Figure contains an axes object. The axes object contains 2 objects of type line, patch.

Масштабируйте в меньшую область, чтобы видеть оценки интервала.

idx_roi = 21:30;
xlim([x(idx_roi(1),1) x(idx_roi(end),2)])

Figure contains an axes object. The axes object contains 2 objects of type line, patch.

Отобразите соответствующий x и f значения.

table(idx_roi',x(idx_roi,:),f(idx_roi,:), ...
    'VariableNames',{'Index','x','Empirical cdf F(x)'})
ans=10×3 table
    Index          x           Empirical cdf F(x)
    _____    ______________    __________________

     21      377.5    378.5         0.069909     
     22      382.5    383.5         0.075988     
     23      384.5    385.5         0.079027     
     24      390.5    391.5         0.082067     
     25      395.5    396.5         0.085106     
     26      397.5    398.5         0.091185     
     27      400.5    401.5         0.094225     
     28      401.5    402.5         0.097264     
     29      403.5    404.5          0.10334     
     30      409.5    410.5          0.10638     

Закрашенные прямоугольники указывают на изменение эмпирических cdf значений F (x) в соответствующих интервалах. Например, второй закрашенный прямоугольник слева в масштабируемом графике соответствует интервалу (382.5,383.5]. F (382.5) 0.075988, F (383.5) 0.079027, и изменение от 0,075988 до 0,079027 происходит в интервале (382.5,383.5]. Точная синхронизация изменения сомнительна.

Можно построить оценки интервала по-разному. Если вы принимаете, что изменение вероятности происходит в начале каждого интервала, можно построить F (x) значения с помощью первого столбца x.

figure
stairs(x(:,1),f)
title('Probability changes at the start')
xlabel('x')
ylabel('F(x)')
xlim([x(idx_roi(1),1) x(idx_roi(end),2)])

Figure contains an axes object. The axes object with title Probability changes at the start contains an object of type stair.

В качестве альтернативы можно построить F (x) значения с помощью второго столбца x учитывая, что изменение вероятности происходит в конце каждого интервала.

figure
stairs(x(:,2),f)
title('Probability changes at the end')
xlabel('x')
ylabel('F(x)')
xlim([x(idx_roi(1),1) x(idx_roi(end),2)])

Figure contains an axes object. The axes object with title Probability changes at the end contains an object of type stair.

Постройте предыдущие два графика, чтобы визуализировать интервалы.

figure
stairs(x(:,1),f)
hold on
stairs(x(:,2),f)
title('Probability changes in the interval')
xlabel('x')
ylabel('F(x)')
xlim([x(idx_roi(1),1) x(idx_roi(end),2)])
hold off

Figure contains an axes object. The axes object with title Probability changes in the interval contains 2 objects of type stair.

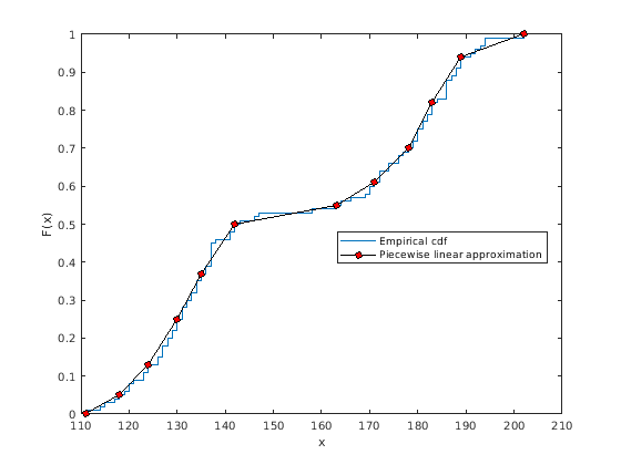
Вычислите эмпирическую кумулятивную функцию распределения (cdf) для данных и создайте кусочный линейный объект распределения с помощью приближения для эмпирического cdf.

Загрузите выборочные данные. Визуализируйте терпеливые данные о весе с помощью гистограммы.

load patients
histogram(Weight(strcmp(Gender,'Female')))
hold on
histogram(Weight(strcmp(Gender,'Male')))
legend('Female','Male')

Figure contains an axes object. The axes object contains 2 objects of type histogram. These objects represent Female, Male.

Гистограмма показывает, что данные имеют два режима, один для пациенток и один для штекерных пациентов.

Вычислите эмпирический cdf для данных.

[f,x] = ecdf(Weight);

Создайте кусочную линейную аппроксимацию к эмпирическому cdf путем принятия значение каждые пять точек.

f = f(1:5:end);
x = x(1:5:end);

Постройте эмпирический cdf и приближение.

figure
ecdf(Weight)
hold on
plot(x,f,'ko-','MarkerFace','r') 
legend('Empirical cdf','Piecewise linear approximation', ...
    'Location','best')

Figure contains an axes object. The axes object contains 2 objects of type stair, line. These objects represent Empirical cdf, Piecewise linear approximation.

Создайте кусочный линейный объект вероятностного распределения использование кусочного приближения эмпирического cdf.

pd = makedist('PiecewiseLinear','x',x,'Fx',f)
pd = 
  PiecewiseLinearDistribution

F(111) = 0
F(118) = 0.05
F(124) = 0.13
F(130) = 0.25
F(135) = 0.37
F(142) = 0.5
F(163) = 0.55
F(171) = 0.61
F(178) = 0.7
F(183) = 0.82
F(189) = 0.94
F(202) = 1

Сгенерируйте 100 случайных чисел от распределения.

rng('default') % For reproducibility
rw = random(pd,[100,1]);

Постройте случайные числа, чтобы визуально сравнить их распределение с исходными данными.

figure
histogram(Weight)
hold on
histogram(rw)
legend('Original data','Generated data')

Figure contains an axes object. The axes object contains 2 objects of type histogram. These objects represent Original data, Generated data.

Случайные числа, сгенерированные от кусочного линейного распределения, имеют то же бимодальное распределение как исходные данные.

Входные параметры

свернуть все

Выборочные данные и информация о цензуре в виде вектора из выборочных данных или матрицы 2D столбца выборочных данных и информация о цензуре.

Можно указать информацию цензуры для выборочных данных при помощи любого y аргумент или Censoring аргумент значения имени. ecdf игнорирует Censoring значение аргумента, если y матрица 2D столбца.

Задайте y как вектор или матрица 2D столбца в зависимости от типов цензуры наблюдений в y.

  • Полностью наблюдаемые данные — Задают y как вектор из выборочных данных.

  • Данные, которые содержат полностью наблюдаемые, лево-подвергнутые цензуре, или подвергнутые цензуре правом наблюдения — Задают y как вектор из выборочных данных, и задают Censoring аргумент значения имени как вектор, который содержит информацию о цензуре для каждого наблюдения. Censoring вектор может содержать 0, –1, и 1, которые относятся к полностью наблюдаемым, лево-подвергнутым цензуре, и подвергнутым цензуре правом наблюдениям, соответственно.

  • Данные, которые включают подвергнутые цензуре интервалом наблюдения — Задают y как матрица 2D столбца выборочных данных и информации о цензуре. Каждая строка y указывает диапазон возможных времен выживания или отказа для каждого наблюдения и может иметь одно из этих значений.

    • [t,t] — Полностью наблюдаемый в t

    • [–Inf,t] — Лево-подвергнутый цензуре в t

    • [t,Inf] — Подвергнутый цензуре правом в t

    • [t1,t2] — Подвергнутый цензуре интервалом между [t1,t2], где t1 <t2

ecdf игнорирует NaN значения в y. Кроме того, любой NaN значения в векторе цензурирования (Censoring) или вектор частоты (Frequency) причина ecdf проигнорировать соответствующие строки в y.

Типы данных: single | double

Целевые оси для фигуры, к который ecdf графики в виде Axes объект.

Например, если h целевой Axes объект для фигуры, затем ecdf может построить той фигуре как показано в следующем примере.

Пример: ecdf(h,x)

Аргументы name-value

Задайте дополнительные разделенные запятой пары Name,Value аргументы. Name имя аргумента и Value соответствующее значение. Name должен появиться в кавычках. Вы можете задать несколько аргументов в виде пар имен и значений в любом порядке, например: Name1, Value1, ..., NameN, ValueN.

Пример: 'Censoring',c,'Function','cumulative hazard','Alpha',0.025,'Bounds','on' сообщает ecdf чтобы возвратить совокупную опасность функционируют и доверительные границы на 97,5%, составляя подвергнутые цензуре данные, заданные векторным c.

Тип функции возвращен ecdfВ виде одного из этих значений.

ЗначениеОписание
'cdf' (значение по умолчанию)Кумулятивная функция распределения (cdf)
'survivor'Функция оставшегося в живых
'cumulative hazard'Совокупная функция опасности

Пример: 'Function','cumulative hazard'

Индикатор подвергнутых цензуре данных в виде вектора, состоящего из 0, –1, и 1, которые указывают на полностью наблюдаемые, лево-подвергнутые цензуре, и подвергнутые цензуре правом наблюдения, соответственно. Каждый элемент Censoring значение указывает на состояние цензуры соответствующего наблюдения в y. Censoring значение должно иметь тот же размер как y. Значением по умолчанию является вектор из 0s, указывая, что все наблюдения полностью наблюдаются.

Вы не можете задать подвергнутые цензуре интервалом наблюдения с помощью этого аргумента. Если выборочные данные включают подвергнутые цензуре интервалом наблюдения, задайте y использование матрицы 2D столбца. ecdf игнорирует Censoring значение, если y матрица 2D столбца.

ecdf игнорирует любой NaN значения в векторе цензурирования. Кроме того, любой NaN значения в y или вектор частоты (Frequency) причина ecdf проигнорировать соответствующие значения в векторе цензурирования.

Пример: 'Censoring',censored, где censored вектор, который содержит информацию о цензуре.

Типы данных: логический | single | double

Частота наблюдений в виде вектора из неотрицательных целочисленных количеств, который имеет одинаковое число строк как y. jэлемент th Frequency значение дает числу раз jстрока th y наблюдался. Значением по умолчанию является вектор 1 с, указывая на одно наблюдение на строку y.

ecdf игнорирует любой NaN значения в этом векторе частоты. Кроме того, любой NaN значения в y или вектор цензурирования (Censoring) причина ecdf проигнорировать соответствующие значения в векторе частоты.

Пример: 'Frequency',freq, где freq вектор, который содержит частоты наблюдения.

Типы данных: single | double

Максимальное количество итераций в виде положительного целого числа. Этот аргумент допустим только для дважды подвергнутых цензуре данных и подвергнутых цензуре интервалом данных.

Пример: 'IterationLimit',1e5

Типы данных: single | double

Допуск завершения на значении функции fВ виде положительной скалярной величины. Этот аргумент допустим только для дважды подвергнутых цензуре данных и подвергнутых цензуре интервалом данных.

Пример: 'Tolerance',1e-5

Типы данных: single | double

Частота итеративной выпуклой миноранты (ICM) продвигается в виде положительного целого числа. Этот аргумент допустим только для подвергнутых цензуре интервалом данных.

ecdf использует алгоритм максимизации ожидания итеративной выпуклой миноранты (EMICM) [5], чтобы вычислить выход f для подвергнутых цензуре интервалом данных. Алгоритм EMICM использует или алгоритм EM или алгоритм ICM в каждой итерации. ecdf запускает шаг ICM каждое конкретное количество итераций. Например, по умолчанию, ecdf выполняет итерации шага EM девять раз, запускает шаг ICM однажды, и затем возвращается к шагу EM.

Пример: 'ICMFrequency',1

Типы данных: single | double

Уровень значения для доверительного интервала выполненной функции в виде скаляра в области значений (0,1). Значение по умолчанию 0.05 для 95%-го доверия. Для данного значения alpha, доверительным уровнем является   100(1 – Alpha)%.

Этот аргумент не допустим для подвергнутых цензуре интервалом данных.

Пример: 'Alpha',0.01 задает доверительный уровень как 99%.

Типы данных: single | double

Индикатор для включения доверительных границ в графике в виде одного из этих значений.

ЗначениеОписание
'off' (значение по умолчанию)Не используйте доверительные границы.
'on' Включайте доверительные границы.

Этот аргумент не допустим для подвергнутых цензуре интервалом данных.

Примечание

Этот аргумент допустим только для графического вывода.

Пример: 'Bounds','on'

Выходные аргументы

свернуть все

Значения функции оценены в точках или интервалах в x, возвращенный как вектор-столбец.

Функциональный тип f может быть cdf (значение по умолчанию), Функция Оставшегося в живых или Совокупная Функция Опасности, как задано Function аргумент значения имени.

Точки оценки или интервалы в виде вектор-столбца или матрицы 2D столбца, соответственно.

  • ecdf возвращает вектор-столбец для полностью наблюдаемых, лево-подвергнутых цензуре, подвергнутых цензуре правом, и дважды подвергнутых цензуре данных.

    • Для полностью наблюдаемых, лево-подвергнутых цензуре, и подвергнутых цензуре правом данных, ecdf удаляет значения для подвергнутых цензуре наблюдений от y, сортирует остающиеся значения, удаляет дублирующиеся значения в отсортированных значениях и сохраняет результаты в выход x.

    • Для дважды подвергнутых цензуре данных, ecdf определяет который значения y соответствуйте временам события, сортирует значения, удаляет дублирующиеся значения в отсортированных значениях и сохраняет результаты в выход x.

    Выход x включает минимальное значение y как его первые два значения. Эти два значения полезны для графического вывода выходных параметров ecdf использование stairs функция.

  • ecdf возвращает матрицу 2D столбца для подвергнутых цензуре интервалом данных. ecdf оценивает значения функции f с промежутками названные интервалы Тернбулла. Для получения дополнительной информации см. Алгоритмы.

Более низкая доверительная граница для выполненной функции, возвращенной как вектор-столбец. ecdf вычисляет направляющееся в каждое наблюдение. flo не одновременное направляющееся в кривую.

Этот аргумент не допустим для подвергнутых цензуре интервалом данных.

Верхняя доверительная граница для выполненной функции, возвращенной как вектор-столбец. ecdf вычисляет направляющееся в каждое наблюдение. fup не одновременное направляющееся в кривую.

Этот аргумент не допустим для подвергнутых цензуре интервалом данных.

Больше о

свернуть все

Типы цензуры

ecdf поддержки лево-подвергнутые цензуре, подвергнутые цензуре правом, и подвергнутые цензуре интервалом наблюдения.

  • Лево-подвергнутое цензуре наблюдение во время t — Событие имело место перед временем t, и точное время события неизвестно.

  • Подвергнутое цензуре правом наблюдение во время t — Событие имело место после времени t, и точное время события неизвестно.

  • Подвергнутое цензуре интервалом наблюдение в интервале [t1,t2] — Событие имело место после времени t1 и перед временем t2, и точное время события неизвестно.

Дважды подвергнутые цензуре данные включают и лево-подвергнутые цензуре и подвергнутые цензуре правом наблюдения.

Функция оставшегося в живых

Функция выживания является вероятностью выживания в зависимости от времени. Это также вызвано функция оставшегося в живых.

Функция выживания дает вероятность, что время выживания индивидуума превышает определенное значение. Поскольку кумулятивная функция распределения, F (t) является вероятностью, что время выживания меньше чем или равно данной точке t вовремя, функция выживания для непрерывного распределения S (t), является дополнением кумулятивной функции распределения: S (t) = 1 – F (t).

Совокупная функция опасности

Функция опасности h (t) является мгновенной интенсивностью отказов индивидуума, тренируемого на том, что индивидуум, переживший до данного времени. Совокупная функция опасности H (t) является совокупной опасностью до времени t.

h(t)=limΔt0P(tT<t+Δt|Tt)Δt,

H(t)=0th(u)du.

Функция опасности всегда принимает положительное значение. Однако эти значения не соответствуют вероятностям и могут быть больше 1.

Можно получить совокупные значения функции опасности из Функции Оставшегося в живых S (t) с помощью отношения S (t) = exp (–H (t)).

Алгоритмы

ecdf вычисляет значения функции (f) и доверительные границы (flo и fup) использование различных алгоритмов, в зависимости от информации о цензуре. Функциональный тип f может быть cdf (значение по умолчанию), Функция Оставшегося в живых или Совокупная Функция Опасности, как задано Function аргумент значения имени.

Тип цензурыАлгоритм для fАлгоритм для flo и fup
Подвергнутые цензуре правом данные, которые содержат полностью наблюдаемые или подвергнутые цензуре правом наблюдения
  • Используйте средство оценки Каплана-Мейера для значений функции оставшегося в живых и cdf.

    Средство оценки Каплана-Мейера S^(t) дают

    S^(t)=ti<tridiri,

    где r, i является количеством наблюдений в опасности во время t i и d i, является количеством отказов во время t i. Для получения дополнительной информации см. Метод Каплана-Мейера.

  • Используйте средство оценки Nelson-Алена для совокупных значений функции опасности.

    Средством оценки Nelson-Алена дают

    H^(t)=ti<tdiri.

Используйте формулу Гринвуда, которая является приближением для отклонения средства оценки Каплана-Мейера.

Оценкой отклонения дают

V(S^(t))=S^2(t)ti<tdiri(ridi).

Лево-подвергнутые цензуре данные, которые содержат полностью наблюдаемые или лево-подвергнутые цензуре наблюдения

Используйте средство оценки Каплана-Мейера.

Используйте формулу Гринвуда.

Дважды подвергнутые цензуре данные, которые включают и подвергнутые цензуре правом и лево-подвергнутые цензуре наблюдения

Используйте алгоритм Тернбулла [3][4]. Можно задать максимальное количество итераций (IterationLimit) и допуск завершения на значении функции (Tolerance) для алгоритма.

Используйте матрицу информации о Фишере.

Подвергнутые цензуре интервалом данные, которые включают подвергнутые цензуре интервалом наблюдения
  • Используйте алгоритм максимизации ожидания итеративной выпуклой миноранты (EMICM) [5]. Алгоритм EMICM использует или алгоритм EM или алгоритм ICM в каждой итерации. ICMFrequency аргумент значения имени определяет частоту алгоритма ICM. ecdf запускает шаг ICM каждое конкретное количество итераций. По умолчанию, ecdf выполняет итерации шага EM девять раз, запускает шаг ICM однажды, и затем возвращается к шагу EM. Можно задать максимальное количество итераций (IterationLimit) и допуск завершения на значении функции (Tolerance) для алгоритма.

  • ecdf построения взаимно разделяют интервалы, названные интервалами Тернбулла, из матричных данных 2D столбца y, и возвращает интервалы Тернбулла (x) и оценки (f) в интервалах. Левые границы интервалов из первого столбца y, и правильные границы интервалов из второго столбца y. Для полностью наблюдаемого наблюдения (для строки с двумя из тех же значений  [t t]), функция преобразует  [t t] к  [t–eps(t) t] создать интервал с ненулевой длиной прежде, чем создать интервалы Тернбулла.

Не поддерживаемый

Ссылки

[1] Cox, D. R. и Д. Оукс. Анализ данных о выживании. Лондон: Chapman & Hall, 1984.

[2] Беззаконный, J. F. Статистические модели и Методы для Пожизненных Данных. 2-й редактор, Хобокен, NJ: John Wiley & Sons, Inc., 2003.

[3] Клейн, Джон П. и Мелвин Л. Мешбергер. Анализ выживания: Методы для Подвергнутых цензуре и Усеченных Данных. 2-я статистика редактора для Биологии и здоровья. Нью-Йорк: Спрингер, 2003.

[4] Тернбулл, Брюс В. "Непараметрическая оценка функции прав наследника с вдвойне подвергнутыми цензуре данными". Журнал американской статистической ассоциации 69, № 345 (1974): 169–73.

[5] Андерсон-Бергман, Клиффорд. "Эффективное внедрение Алгоритма EMICM для Интервала Подвергнутый цензуре NPMLE". Журнал Вычислительной и Графической Статистики 26, № 2 (3 апреля 2017): 463–67.

[6] Изделие, Джеймс Х. и Дэвид Л. Деметс. "Переанализ Некоторых Данных о Спуске Бабуина". Биометрика 32, № 2 (июнь 1976): 459–63.

Расширенные возможности

Представлено до R2006a