exponenta event banner

geostat

Среднегеометрический и отклонение

    Синтаксис

    Описание

    пример

    [m,v] = geostat(p) возвращает средний m и отклонение v из геометрического распределения соответствующим параметром вероятности в p. Для получения дополнительной информации смотрите Среднее значение Геометрического распределения и Отклонение.

    Примеры

    свернуть все

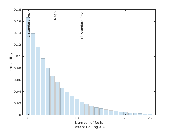
    Прокрутитесь ярмарка неоднократно умирают, пока вы успешно не получаете 6. Связанное геометрическое распределение моделирует число раз, вы прокручиваете умирание, прежде чем результатом будут 6. Определите среднее значение и отклонение распределения, и визуализируйте результаты.

    Поскольку умирание справедливо, вероятностью успешной прокрутки 6 в любом данном испытании является p = 1/6. Вычислите среднее значение и отклонение геометрического распределения.

    p = 1/6;
    [m,v] = geostat(p)
    m = 5.0000
    
    v = 30.0000
    

    Заметьте, что средний m (1-p)/p и отклонение v (1-p)/p2.

    m2 = (1-p)/p
    m2 = 5.0000
    
    v2 = (1-p)/p^2
    v2 = 30.0000
    

    Оцените функцию плотности вероятности (PDF) или функция вероятностной меры (pmf), в точках x = 0,1,2,...,25.

    rng("default") % For reproducibility
    x = 0:25;
    y = geopdf(x,p);

    Постройте значения PDF. Укажите на среднее значение, одно стандартное отклонение ниже среднего значения и одно стандартное отклонение выше среднего значения.

    bar(x,y,"FaceAlpha",0.2,"EdgeAlpha",0.2);
    xline([m-sqrt(v) m m+sqrt(v)],"-", ...
        ["-1 Standard Dev.","Mean","+1 Standard Dev."])
    xlabel(["Number of Rolls","Before Rolling a 6"])
    ylabel("Probability")

    Figure contains an axes object. The axes object contains 4 objects of type bar, constantline.

    Создайте вектор вероятности, который содержит три различных значения параметров.

    • Первый параметр соответствует геометрическому распределению, которое моделирует число раз, вы бросаете монету, прежде чем результатом будут головы.

    • Второй параметр соответствует геометрическому распределению, которое моделирует число раз, которое вы прокручиваете, четырехстороннее умирают, прежде чем результатом будут 4.

    • Третий параметр соответствует геометрическому распределению, которое моделирует число раз, которое вы прокручиваете, шестистороннее умирают, прежде чем результатом будут 6.

    p = [1/2 1/4 1/6];

    Вычислите среднее значение и отклонение каждого геометрического распределения.

    [m,v] = geostat(p)
    m = 1×3
    
        1.0000    3.0000    5.0000
    
    
    v = 1×3
    
        2.0000   12.0000   30.0000
    
    

    Возвращенные значения указывают что, например, среднее значение геометрического распределения параметром вероятности p = 1/4 равняется 3, и отклонение распределения равняется 12.

    Входные параметры

    свернуть все

    Вероятность успеха в одном испытании в виде скаляра или массива скаляров в области значений [0,1]. Чтобы вычислить средние значения и отклонения нескольких распределений, задайте параметры распределения p использование массива скалярных значений.

    Пример: 0.5

    Пример: [1/2 1/3]

    Типы данных: single | double

    Выходные аргументы

    свернуть все

    Среднее значение геометрического распределения, возвращенного в виде числа или массива числовых скаляров. m одного размера с p, и каждый элемент в m среднее значение геометрического распределения, заданного соответствующим элементом в p.

    Отклонение геометрического распределения, возвращенного в виде числа или массива числовых скаляров. v одного размера с p, и каждый элемент в v отклонение геометрического распределения, заданного соответствующим элементом в p.

    Больше о

    свернуть все

    Среднее значение геометрического распределения и отклонение

    Геометрическое распределение является семейством кривых с одним параметром, которое моделирует количество отказов, прежде чем успех произойдет в ряду независимых испытаний. Каждое испытание результаты в любой успешности или неуспешности и вероятность успеха в любом отдельном испытании является постоянным. Например, если вы бросаете монету, геометрическое распределение моделирует количество хвостов, наблюдаемых, прежде чем результатом будут головы. Геометрическое распределение является дискретным, существующим только на неотрицательных целых числах.

    Среднее значение геометрического распределения mean=1pp, и отклонение геометрического распределения var=1pp2, где p является вероятностью успеха.

    Ссылки

    [1] Abramowitz, M. и я. А. Стегун. Руководство математических функций. Нью-Йорк: Дувр, 1964.

    [2] Эванс, M., Н. Гастингс и Б. Пикок. Статистические Распределения. 2-й редактор, Хобокен, NJ: John Wiley & Sons, Inc., 1993.

    Расширенные возможности

    Генерация кода C/C++
    Генерация кода C и C++ с помощью MATLAB® Coder™.

    Представлено до R2006a