Класс: RepeatedMeasuresModel
Вычислите ожидаемые значения, данные значения предиктора
возвращает ожидаемые значения в модель ypred = predict(rm,tnew,Name,Value)rm повторных измерений с дополнительными опциями, заданными одним или несколькими Name,Value парные аргументы.
Например, можно задать матрицу проекта в предметах.
rm — Модель повторных измеренийRepeatedMeasuresModel объектМодель повторных измерений, возвращенная как RepeatedMeasuresModel объект.
Для свойств и методов этого объекта, смотрите RepeatedMeasuresModel.
tnew — Новые данныеrm (значение по умолчанию) | таблицаНовые данные включая значения переменных отклика и факторов между предметами, используемых в качестве предикторов в модели повторных измерений, rmВ виде таблицы. tnew должен содержать все факторы между предметами, используемые, чтобы создать rm.
Задайте дополнительные разделенные запятой пары Name,Value аргументы. Name имя аргумента и Value соответствующее значение. Name должен появиться в кавычках. Вы можете задать несколько аргументов в виде пар имен и значений в любом порядке, например: Name1, Value1, ..., NameN, ValueN.
Alpha — Уровень значенияУровень значения доверительных интервалов для ожидаемых значений в виде разделенной запятой пары, состоящей из 'alpha' и скалярное значение в области значений от 0 до 1. Доверительный уровень равняется 100* (1–alpha)%.
Пример: 'alpha',0.01
Типы данных: double | single
WithinModel — Модель для факторов в предмете'separatemeans' | 'orthogonalcontrats' | вектор символов | строковый скалярМодель для факторов в предмете в виде разделенной запятой пары, состоящей из 'WithinModel' и одно из следующего:
'separatemeans' — Вычислите отдельное среднее значение для каждой группы.
'orthogonalcontrasts' — Допустимый, когда проект в предмете состоит из одного числового факторного T. Это задает модель, состоящую из ортогональных полиномов, чтобы заказать T(r-1), где r является количеством повторных измерений.
Вектор символов или строковый скаляр, который задает спецификацию модели в факторах в предмете.
Пример: 'WithinModel','orthogonalcontrasts'
Типы данных: char | string
WithinDesign — Спроектируйте для факторов в предметеСпроектируйте для факторов в предмете в виде разделенной запятой пары, состоящей из 'WithinDesign' и вектор, матрица или таблица. Это вводит значения в предмете, включает ту же форму как RM.WithinDesign свойство.
Пример: 'WithinDesign','Time'
Типы данных: single | double | table
yci — Доверительные интервалы для ожидаемых значенийДоверительные интервалы для ожидаемых значений из модели rm повторных измерений, возвращенный как n-by-r-by-2 матрица.
Это неодновременные интервалы для предсказания среднего ответа в заданных значениях предиктора. Для ожидаемого значения ypred(i,j), нижним пределом интервала является yci(i,j,1) и верхним пределом является yci(i,j,2).
Загрузите выборочные данные.
load fisheririsВектор-столбец, species состоит из ирисовых цветов трех различных разновидностей: setosa, versicolor, и virginica. Двойной матричный meas состоит из четырех типов измерений на цветах: длина и ширина чашелистиков и лепестков в сантиметрах, соответственно.
Храните данные в табличном массиве.
t = table(species,meas(:,1),meas(:,2),meas(:,3),meas(:,4), ... 'VariableNames',{'species','meas1','meas2','meas3','meas4'}); Meas = dataset([1 2 3 4]','VarNames',{'Measurements'});
Подбирайте модель повторных измерений, где измерения являются ответами, и разновидность является переменным предиктором.
rm = fitrm(t,'meas1-meas4~species','WithinDesign',Meas);
Предскажите ответы для трех разновидностей.
Y = predict(rm,t([1 51 101],:))
Y = 3×4
5.0060 3.4280 1.4620 0.2460
5.9360 2.7700 4.2600 1.3260
6.5880 2.9740 5.5520 2.0260
Загрузите выборочные данные.
load longitudinalDataМатричный Y содержит данные об ответе для 16 индивидуумов. Ответ является уровнем в крови препарата, измеренного в пяти моментах времени (время = 0, 2, 4, 6, и 8). Каждая строка Y соответствует индивидууму, и каждый столбец соответствует моменту времени. Первыми восемью предметами является розетка, и вторыми восемью предметами является штекер. Это - симулированные данные.
Задайте переменную, которая хранит гендерную информацию.
Gender = ['F' 'F' 'F' 'F' 'F' 'F' 'F' 'F' 'M' 'M' 'M' 'M' 'M' 'M' 'M' 'M']';
Храните данные в соответствующем табличном формате массивов, чтобы выполнить анализ повторных измерений.
t = table(Gender,Y(:,1),Y(:,2),Y(:,3),Y(:,4),Y(:,5), ... 'VariableNames',{'Gender','t0','t2','t4','t6','t8'});
Задайте переменную в предметах.
Time = [0 2 4 6 8]';
Подбирайте модель повторных измерений, где уровни в крови являются ответами, и пол является переменным предиктором.
rm = fitrm(t,'t0-t8 ~ Gender','WithinDesign',Time);
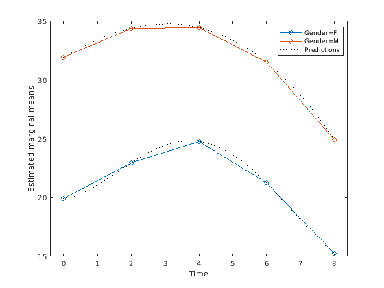
Предскажите ответы в промежуточные времена.
time = linspace(0,8)'; Y = predict(rm,t([1 5 8 12],:), ... 'WithinModel','orthogonalcontrasts','WithinDesign',time);
Постройте предсказания наряду с предполагаемыми крайними средними значениями.
plotprofile(rm,'Time','Group',{'Gender'}) hold on; plot(time,Y,'Color','k','LineStyle',':'); legend('Gender=F','Gender=M','Predictions') hold off

Загрузите выборочные данные.
load longitudinalDataМатричный Y содержит данные об ответе для 16 индивидуумов. Ответ является уровнем в крови препарата, измеренного в пяти моментах времени (время = 0, 2, 4, 6, и 8). Каждая строка Y соответствует индивидууму, и каждый столбец соответствует моменту времени. Первыми восемью предметами является розетка, и вторыми восемью предметами является штекер. Это - симулированные данные.
Задайте переменную, которая хранит гендерную информацию.
Gender = ['F' 'F' 'F' 'F' 'F' 'F' 'F' 'F' 'M' 'M' 'M' 'M' 'M' 'M' 'M' 'M']';
Храните данные в соответствующем табличном формате массивов, чтобы выполнить анализ повторных измерений.
t = table(Gender,Y(:,1),Y(:,2),Y(:,3),Y(:,4),Y(:,5), ... 'VariableNames',{'Gender','t0','t2','t4','t6','t8'});
Задайте переменную в предметах.
Time = [0 2 4 6 8]';
Подбирайте модель повторных измерений, где уровни в крови являются ответами, и пол является переменным предиктором.
rm = fitrm(t,'t0-t8 ~ Gender','WithinDesign',Time);
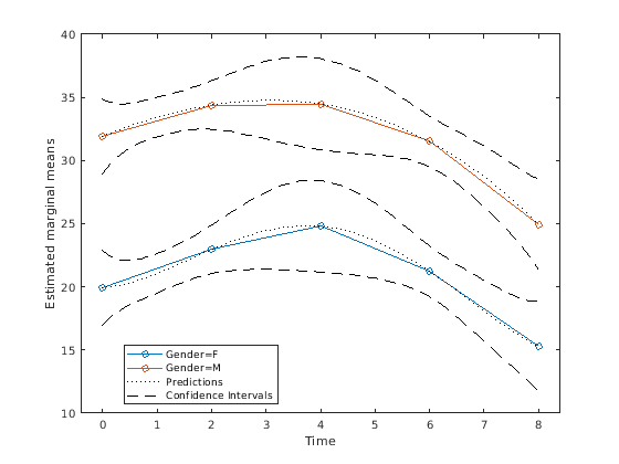
Предскажите ответы в промежуточные времена.
time = linspace(0,8)'; [ypred,ypredci] = predict(rm,t([1 5 8 12],:), ... 'WithinModel','orthogonalcontrasts','WithinDesign',time);
Постройте предсказания и доверительные интервалы для предсказаний наряду с предполагаемыми крайними средними значениями.
p1 = plotprofile(rm,'Time','Group',{'Gender'}); hold on; p2 = plot(time,ypred,'Color','k','LineStyle',':'); p3 = plot(time,ypredci(:,:,1),'k--'); p4 = plot(time,ypredci(:,:,2),'k--'); legend([p1;p2(1);p3(1)],'Gender=F','Gender=M','Predictions','Confidence Intervals') hold off

У вас есть модифицированная версия этого примера. Вы хотите открыть этот пример со своими редактированиями?
1. Если смысл перевода понятен, то лучше оставьте как есть и не придирайтесь к словам, синонимам и тому подобному. О вкусах не спорим.
2. Не дополняйте перевод комментариями “от себя”. В исправлении не должно появляться дополнительных смыслов и комментариев, отсутствующих в оригинале. Такие правки не получится интегрировать в алгоритме автоматического перевода.
3. Сохраняйте структуру оригинального текста - например, не разбивайте одно предложение на два.
4. Не имеет смысла однотипное исправление перевода какого-то термина во всех предложениях. Исправляйте только в одном месте. Когда Вашу правку одобрят, это исправление будет алгоритмически распространено и на другие части документации.
5. По иным вопросам, например если надо исправить заблокированное для перевода слово, обратитесь к редакторам через форму технической поддержки.