exponenta event banner

fogpl

Затухание сигнала RF, должное вуалировать и облака

Синтаксис

Описание

пример

L = fogpl(R,freq,T,den) возвращает затухание, L, когда сигналы распространяют в вуали или облаках. R представляет длину пути прохождения сигнала. freq представляет несущую частоту сигнала, T температура окружающей среды и den задает жидкую водную плотность в вуали или облаке.

fogpl функция применяет облако Международного союза электросвязи (ITU) и модель затухания вуали, чтобы вычислить потерю на пути распространения сигналов через облака и вуаль. См. [1] (Phased Array System Toolbox). Вуаль и облака являются тем же атмосферным явлением, отличаясь только высотой над землей. Обе среды параметризованы их жидкой водной плотностью. Другие параметры модели включают частоту сигнала и температуру. Эта функция применяется к случаям, когда путь прохождения сигнала содержится полностью в универсальной вуали или облачной среде. Жидкая водная плотность не варьируется вдоль пути прохождения сигнала. Модель затухания применяется только для частот на уровне 10-1000 ГГц.

Примеры

свернуть все

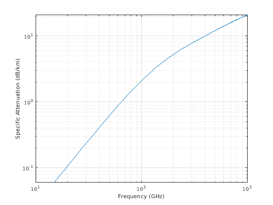
Вычислите затухание распространения сигналов через облако, которое 1 км длиной на 1 000-метровой высоте. Вычислите затухание для частот от 15 до 1 000 ГГц. Типичное значение для жидкости облака водная плотность 0.5 g/m3. Примите, что атмосферная температура на уровне 1 000 метров 20C.

R = 1000.0;
freq = [15:5:1000]*1e9;
T = 20.0;
lwd = 0.5;
L = fogpl(R,freq,T,lwd);

Постройте определенное затухание в зависимости от частоты. Определенное затухание является затуханием или потерей на километр.

loglog(freq/1e9,L)
grid
xlabel('Frequency (GHz)')
ylabel('Specific Attenuation (dB/km)')

Figure contains an axes object. The axes object contains an object of type line.

Входные параметры

свернуть все

Длина пути прохождения сигнала в виде скаляра или как M-by-1 или 1 M вектором из неотрицательных действительных значений. Общее затухание является определенным затуханием, умноженным на длину пути. Модули являются метрами.

Пример: [1300.0,1400.0]

Частота сигнала в виде положительного скаляра с действительным знаком или как N-by-1 неотрицательный вектор с действительным знаком или 1 N неотрицательным вектором с действительным знаком. Частоты должны лечь в области значений 10-1000 ГГц.

Пример: [14.0e9,15.0e9]

Температура окружающей среды в вуали или облаке в виде скаляра с действительным знаком. Модули в градусах Цельсия.

Пример: -10.0

Жидкая водная плотность в виде неотрицательного скаляра с действительным знаком. Модули являются гр/м3. Типичные значения для жидкой водной плотности в вуали располагаются приблизительно от 0,05 гр/м3 для средней вуали приблизительно к 0,5 гр/м3 для густого тумана. Для средней вуали видимость составляет приблизительно 300 метров. Для тяжелой вуали видимость составляет приблизительно 50 метров. Жидкость облака кучи водная плотность обычно - 0,5 гр/м3.

Пример: 0.01

Выходные аргументы

свернуть все

Затухание сигнала, возвращенное как M с действительным знаком-by-N матрица. Каждая строка матрицы представляет различный путь, где M является количеством путей. Каждый столбец представляет различную частоту, где N является количеством частот. Величины в дБ.

Больше о

свернуть все

Вуаль и модель затухания облака

Эта модель вычисляет затухание сигналов, которые распространяют через вуаль или облака.

Вуаль и затухание облака являются тем же атмосферным явлением. Модель ITU, Рекомендация ITU-R P.840-6: Затухание из-за облаков и вуали используется. Модель вычисляет определенное затухание (затухание на километр), сигнала в зависимости от жидкой водной плотности, частоты сигнала и температуры. Модель применяется к поляризованным и неполяризованным полям. Формула для определенного затухания на каждой частоте

γc=Kl(f)M,

где M является жидкой водной плотностью в gm/m3. Количество Kl(f) является определенным коэффициентом затухания и зависит от частоты. Модель затухания облака и вуали допустима для частот 10-1000 ГГц. Модули для определенного коэффициента затухания (дБ/км) / (гр/м3).

Чтобы вычислить общее затухание для узкополосных сигналов вдоль пути, функция умножает определенное затухание на длину пути R. Общим затуханием является Lc = Rγc.

Можно применить модель затухания к широкополосным сигналам. Во-первых, разделите широкополосный сигнал на поддиапазоны частоты и примените узкополосное затухание к каждому поддиапазону. Затем суммируйте все ослабленные сигналы поддиапазона в общий ослабленный сигнал.

Ссылки

[1] Сектор радиосвязи Международного союза электросвязи. Рекомендация ITU-R P.840-6: Затухание из-за облаков и вуали. 2013.

Расширенные возможности

Смотрите также

| |

Введенный в R2017b