Чтобы удалить выбросы в приложении Curve Fitting, выполните эти шаги:
Выберите Tools> Exclude Outliers или нажмите кнопку на панели инструментов
.
Когда вы перемещаете курсор мыши в график, он превращается в перекрестие, чтобы показать, что вы находитесь в режиме выбора выброса.
Кликните по точке, что вы хотите исключить в основном графике или графике остаточных значений. В качестве альтернативы перетащите, чтобы задать прямоугольник и удалить все вложенные точки.
Удаленная точка графика становится Красным Крестом в графиках. Если вам выбрали Auto-fit, приложение Curve Fitting переоборудует поверхность без точки. В противном случае можно нажать Fit, чтобы переоборудовать.
Повторитесь для всех точек, которые вы хотите исключить.
При удалении выбросов из поверхностных подгонок может быть полезно отобразить 2D график остаточных значений для исследования и удаления выбросов. С вашим курсором графика в режиме вращения щелкните правой кнопкой по графику выбрать X-Y, X-Z или представление Y-Z.
Заменять индивидуума исключило точки в подгонке, кликните по исключенной точке снова в режиме Exclude Outliers. Чтобы заменить все исключенные точки в подгонке, щелкните правой кнопкой и выберите Clear all exclusions.
В объемных поверхностных диаграммах, чтобы возвратиться к режиму вращения, нажимают кнопку на панели инструментов Exclude outliers
снова, чтобы выключить режим выбора выброса.
Чтобы исключить разделы данных областью значений в приложении Curve Fitting, выполните эти шаги:
Выберите Tools> Exclude By Rule.
Задайте данные, чтобы исключить. Введите номера в любом из полей, чтобы задать начало или конечные интервалы, чтобы исключить в этих X, Y, или данных Z.
Нажмите Enter, чтобы применить правило исключения.
Отображения приложения Curve Fitting заштриховали розовые области на графиках показать исключенные области значений. Исключенные точки становятся красными.
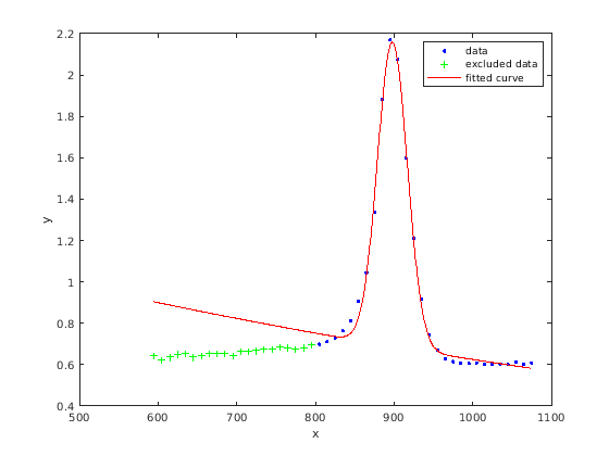
В этом примере показано, как удалить выбросы когда аппроксимирование кривыми программно, с помощью 'Исключить' аргумента пары имя/значение с функциями fitoptions или подгонкой. Можно отобразить исключенные данные на графике путем предоставления Исключения или аргумента выбросов с функцией построения графика.
Исключите данные, использующие простое правило
Для простого примера, данных о загрузке и подгонки Гауссово, исключая некоторые данные с выражением, затем строят подгонку, данные и исключенные точки.
[x, y] = titanium; f1 = fit(x',y','gauss2', 'Exclude', x<800); plot(f1,x,y,x<800)

Исключите данные расстоянием от модели
Может быть полезно исключить выбросы расстоянием от модели, с помощью стандартных отклонений. Следующий пример показывает, как идентифицировать выбросы с помощью расстояния, больше, чем 1,5 стандартных отклонения от модели, и соответствует устойчивой подгонке, которая дает более низкий вес выбросам.
Создайте базовый синусоидальный сигнал:
xdata = (0:0.1:2*pi)'; y0 = sin(xdata);
Добавьте шум в сигнал с непостоянным отклонением:
% Response-dependent Gaussian noise gnoise = y0.*randn(size(y0)); % Salt-and-pepper noise spnoise = zeros(size(y0)); p = randperm(length(y0)); sppoints = p(1:round(length(p)/5)); spnoise(sppoints) = 5*sign(y0(sppoints)); ydata = y0 + gnoise + spnoise;
Соответствуйте зашумленным данным базовой синусоидальной моделью:
f = fittype('a*sin(b*x)'); fit1 = fit(xdata,ydata,f,'StartPoint',[1 1]);
Идентифицируйте "выбросы" как точки на расстоянии, больше, чем 1,5 стандартных отклонения от базовой модели, и переоборудуйте данные исключенными выбросами:
fdata = feval(fit1,xdata); I = abs(fdata - ydata) > 1.5*std(ydata); outliers = excludedata(xdata,ydata,'indices',I); fit2 = fit(xdata,ydata,f,'StartPoint',[1 1],... 'Exclude',outliers);
Сравните эффект исключения выбросов с эффектом предоставления их понижают bisquare вес в устойчивой подгонке:
fit3 = fit(xdata,ydata,f,'StartPoint',[1 1],'Robust','on');
Отобразите на графике данные, выбросы и результаты подгонок:
plot(fit1,'r-',xdata,ydata,'k.',outliers,'m*') hold on plot(fit2,'c--') plot(fit3,'b:') xlim([0 2*pi])
