В этом примере показано, как использовать эффективное оборудованием Комплексное Частично-систолическое Разложение Q-less QR с блоком Forgetting Factor.
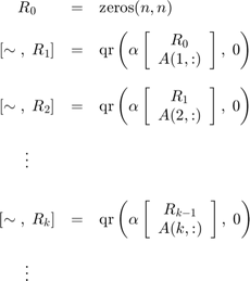
Комплексное Частично-систолическое Разложение Q-less QR с блоком Forgetting Factor реализует следующую рекурсию, чтобы вычислить верхний треугольный множитель R непрерывной потоковой передачи n-1 векторы-строки (k, :) с помощью упущения фактора
. Это - как будто матрица А бесконечно высока. Упущение включает область значений
, мешает ему объединяться без связанного.
![$$
\begin{array}{ccl}
R_0 & =& \mbox{zeros}(n,n)\\[2ex]
[\sim\;,\;R_1] &=& \mbox{qr}\left(\alpha\left[\begin{array}{c}R_0\\
A(1,:)\end{array}\right],\; 0\right)\\[4ex]
[\sim\;,\;R_2] &=& \mbox{qr}\left(\alpha\left[\begin{array}{c}R_1\\
A(2,:)\end{array}\right],\; 0\right)\\[4ex]
\vdots\\[4ex]
[\sim\;,\;R_k] &=& \mbox{qr}\left(\alpha\left[\begin{array}{c}R_{k-1}\\
A(k,:)\end{array}\right],\; 0\right)\\[4ex]
\vdots\\[4ex]
\end{array}
$$](../../examples/fixedpoint/win64/ComplexPartialSystolicQlessQRForgettingFactorExample_eq03156281792625766189.png)
n длина векторов-строк (k, :) и количество строк и столбцов в R.
n = 5;
m эффективные количества строк, чтобы объединяться.
m = 100;
Используйте fixed.forgettingFactor функция, чтобы вычислить фактор упущения в зависимости от количества строк, которые вы интегрируете.
forgettingFactor = fixed.forgettingFactor(m)
forgettingFactor =
0.9950
precisionBits задает количество битов точности, требуемой для Разложения QR. Установите это значение согласно системным требованиям.
precisionBits = 24;
В этом примере матрица А с комплексным знаком создается таким образом, что величина действительных и мнимых частей ее элементов меньше чем или равна одному, таким образом, максимальное возможное абсолютное значение любого элемента
. Ваши собственные системные требования зададут, каковы те значения. Если вы не знаете то, что они, и A является входом фиксированной точки к системе, то можно использовать upperbound функция, чтобы определить верхние границы фиксированных точек A.
max_abs_A верхняя граница на максимальном элементе массива величины.
max_abs_A = sqrt(2);
Используйте fixed.qlessqrFixedpointTypes функция, чтобы вычислить фиксированные точки.
T = fixed.qlessqrFixedpointTypes(m,max_abs_A,precisionBits)
T =
struct with fields:
A: [0x0 embedded.fi]
T.A фиксированная точка, вычисленная для преобразования к R, оперативному так, чтобы это не переполнялось.
T.A
ans =
[]
DataTypeMode: Fixed-point: binary point scaling
Signedness: Signed
WordLength: 30
FractionLength: 24
Создайте случайную матрицу А, чтобы содержать конкретное количество входных параметров.
numInputs количество входных строк A (k, :) для этого примера.
numInputs = 500;
rng('default')
A = fixed.example.complexUniformRandomArray(-1,1,numInputs,n);
Бросьте входные параметры к типам, определенным fixed.qlessqrFixedpointTypes.
A = cast(A,'like',T.A);
Бросьте фактор упущения к фиксированной точке с тем же размером слова как A и масштабирование лучшей точности.
forgettingFactor = fi(forgettingFactor,1,T.A.WordLength);
Выберите время остановки для симуляции, которая достаточно долга, чтобы обработать все входные параметры от A.
stopTime = 4*numInputs*T.A.WordLength;
model = 'ComplexPartialSystolicQlessQRForgettingFactorModel';
open_system(model);

Используйте функцию помощника setModelWorkspace добавить переменные, заданные выше к рабочему пространству модели.
fixed.example.setModelWorkspace(model,'A',A,'n',n,... 'forgettingFactor',forgettingFactor,... 'stopTime',stopTime);
out = sim(model);
Задайте матрицу
можно следующим образом
![$$A_k = \left[\begin{array}{cccc}\alpha^k \\& \alpha^{k-1} \\
& & \ddots\\&
& & \alpha\end{array}\right]A(1:k,\; :).$$](../../examples/fixedpoint/win64/ComplexPartialSystolicQlessQRForgettingFactorExample_eq14596989301175552323.png)
Затем с помощью формулы для расчета
th выход
и то, что
, можно показать это

Таким образом проверить выход, различие между
и
должно быть малым.
Выберите последний выход симуляции.
R = double(out.R(:,:,end))
R = Columns 1 through 4 7.8315 + 0.0000i 0.2537 + 0.1037i -0.1812 + 0.1835i 0.7054 + 0.2411i 0.0000 + 0.0000i 7.7917 + 0.0000i -0.2939 - 0.6734i -0.2813 - 0.2824i 0.0000 + 0.0000i 0.0000 + 0.0000i 8.2110 + 0.0000i -0.2445 - 0.0531i 0.0000 + 0.0000i 0.0000 + 0.0000i 0.0000 + 0.0000i 8.0730 + 0.0000i 0.0000 + 0.0000i 0.0000 + 0.0000i 0.0000 + 0.0000i 0.0000 + 0.0000i Column 5 -0.2351 - 0.1305i -0.4660 - 0.6805i -0.2956 + 0.5699i 0.2053 - 0.0133i 8.0363 + 0.0000i
Проверьте, что R верхний треугольный.
isequal(R,triu(R))
ans = logical 1
Проверьте, что диагональ больше или равна нулю.
diag(R)
ans =
7.8315
7.7917
8.2110
8.0730
8.0363
Синхронизируйте последний выход R с входом путем нахождения количества входных параметров, которые произвели его.
A = double(A); alpha = double(forgettingFactor); relative_errors = nan(1,n); for k = 1:numInputs A_k = alpha.^(k:-1:1)' .* A(1:k,:); relative_errors(k) = norm(A_k'*A_k - R'*R)/norm(A_k'*A_k); end
k количество входных параметров (k, :) который произвел последний R.
k = find(relative_errors==min(relative_errors),1,'last')
k = 497
VerifyThat

с небольшой относительной погрешностью.
A_k = alpha.^(k:-1:1)' .* A(1:k,:); relative_error = norm(A_k'*A_k - R'*R)/norm(A_k'*A_k)
relative_error = 6.3862e-06
Подавите mlint предупреждения в этом файле.
%#ok<*NOPTS>
Complex Partial-Systolic Q-less QR Decomposition with Forgetting Factor