Этот пример сравнивает тип 2 нечеткий ПИД-регулятор и с типом 1 нечеткий ПИД-регулятор и с обычным ПИД-регулятором. Этот пример адаптируется от [1].
Этот пример использует следующую структуру контроллера нечеткой логики (FLC) как описано в [1]. Выход контроллера () найден с помощью ошибки () и производная ошибки (). Используя масштабные коэффициенты и , входные параметры и нормированы к и , соответственно. Нормированные области значений для обоих входных параметров находятся в области значений [-1,1]. Контроллер нечеткой логики также производит нормированный выход в области значений [-1,1]. Дополнительные масштабные коэффициенты и сопоставьте контроллер выход нечеткой логики в .

Этот пример использует задержанную систему первого порядка как модель объекта управления.
Здесь, , , и усиление, задержка и постоянная времени, соответственно.
Масштабные коэффициенты , , и определяются следующим образом, где постоянная времени с обратной связью.
Входной масштабный коэффициент :
где и ссылка и системные выходные значения во время . Эти значения соответствуют номинальной рабочей точке системы.
Этот пример сравнивает эффективность типа 1 и типа 2 Sugeno нечеткие системы вывода (ФИСС) с помощью блока Fuzzy Logic Controller Simulink®.
Создайте тип 1 FIS использование sugfis.
fis1 = sugfis;
Добавьте входные переменные в FIS.
fis1 = addInput(fis1,[-1 1],'Name','E'); fis1 = addInput(fis1,[-1 1],'Name','delE');
Добавьте три равномерно распределенных перекрывающихся треугольных функции принадлежности (MFS) в каждый вход. Имена MF обозначают отрицательный (N), нуль (Z), и положительный (P).
fis1 = addMF(fis1,'E','trimf',[-2 -1 0],'Name','N'); fis1 = addMF(fis1,'E','trimf',[-1 0 1],'Name','Z'); fis1 = addMF(fis1,'E','trimf',[0 1 2],'Name','P'); fis1 = addMF(fis1,'delE','trimf',[-2 -1 0],'Name','N'); fis1 = addMF(fis1,'delE','trimf',[-1 0 1],'Name','Z'); fis1 = addMF(fis1,'delE','trimf',[0 1 2],'Name','P');
Постройте входные функции принадлежности.
figure subplot(1,2,1) plotmf(fis1,'input',1) title('Input 1') subplot(1,2,2) plotmf(fis1,'input',2) title('Input 2')

Добавьте выходную переменную в FIS.
fis1 = addOutput(fis1,[-1 1],'Name','U');
Добавьте равномерно распределенный constant функции к выходу. Имена MF обозначают большой отрицательный (NB), отрицательный носитель (NM), нуль (Z), положительный носитель (PM), и положительный большой (PB).
fis1 = addMF(fis1,'U','constant',-1,'Name','NB'); fis1 = addMF(fis1,'U','constant',-0.5,'Name','NM'); fis1 = addMF(fis1,'U','constant',0,'Name','Z'); fis1 = addMF(fis1,'U','constant',0.5,'Name','PM'); fis1 = addMF(fis1,'U','constant',1,'Name','PB');
Добавьте правила в FIS. Эти правила создают пропорциональную поверхность управления.
rules = [... "E==N & delE==N => U=NB"; ... "E==Z & delE==N => U=NM"; ... "E==P & delE==N => U=Z"; ... "E==N & delE==Z => U=NM"; ... "E==Z & delE==Z => U=Z"; ... "E==P & delE==Z => U=PM"; ... "E==N & delE==P => U=Z"; ... "E==Z & delE==P => U=PM"; ... "E==P & delE==P => U=PB" ... ]; fis1 = addRule(fis1,rules);
Постройте поверхность управления.
figure
gensurf(fis1)
title('Control surface of type-1 FIS')
Преобразуйте тип 1 FIS, fis1, к типу 2 FIS.
fis2 = convertToType2(fis1);
Тип 2 система Sugeno, fis2, функции принадлежности типа 2 использования для входных переменных и функции принадлежности типа 1 для выходных переменных.
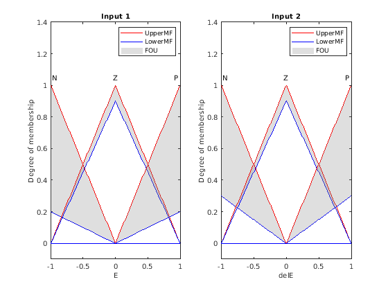
Задайте место неопределенности (FOU) для входа MFs, как задано в [1]. Для этого установите более низкий масштабный коэффициент MF для каждого MF. В данном примере установите более низкие значения задержки MF к 0.
scale = [0.2 0.9 0.2;0.3 0.9 0.3]; for i = 1:length(fis2.Inputs) for j = 1:length(fis2.Inputs(i).MembershipFunctions) fis2.Inputs(i).MembershipFunctions(j).LowerLag = 0; fis2.Inputs(i).MembershipFunctions(j).LowerScale = scale(i,j); end end
Постройте входные функции принадлежности типа 2.
figure subplot(1,2,1) plotmf(fis2,'input',1) title('Input 1') subplot(1,2,2) plotmf(fis2,'input',2) title('Input 2')

FOU добавляет дополнительную неопределенность в FIS и создает нелинейную поверхность управления.
figure
gensurf(fis2)
title('Control surface of type-2 FIS')
Этот пример сравнивает контроллер нечеткой логики эффективность с тем из следующего обычного ПИД-регулятора.
Здесь, пропорциональная составляющая, усиление интегратора, производное усиление, и производная постоянная времени фильтра.
Задайте номинальную модель объекта управления.
C = 0.5;
L = 0.5;
T = 0.5;
G = tf(C,[T 1],'Outputdelay',L);Сгенерируйте обычные параметры ПИД-регулятора с помощью pidtune.
pidController = pidtune(G,'pidf');В этом примере, ссылка ( сигнал шага и , который приводит к можно следующим образом.
=1.
Ce = 1;
Чтобы конфигурировать моделирование, используйте следующие номинальные параметры контроллера.
tauC = 0.2; Cd = min(T,L/2)*Ce; C0 = 1/(C*Ce*(tauC+L/2)); C1 = max(T,L/2)*C0;
Чтобы симулировать контроллеры, используйте comparepidcontrollers Модель Simulink.
model = 'comparepidcontrollers';
load_system(model)
Симулируйте модель в номинальных условиях работы.
out1 = sim(model);
Постройте переходной процесс системы для всех трех контроллеров.
plotTitle = ['Nominal: C=' num2str(C) ', L=' num2str(L) ', T=' num2str(T)]; plotOutput(out1,plotTitle)

Получите характеристики переходного процесса системы для каждого контроллера. Здесь, время нарастания и время урегулирования находятся в секундах, перерегулирование является процентом окончательного значения, и абсолютная погрешность интегрирована по переходному процессу.
stepResponseTable(out1)
ans=3×4 table
Rise Time Overshoot Settling Time Absolute Error
_________ _________ _____________ ______________
PID 0.62412 11.234 4.5583 1.04
Type-1 FLC 1.4267 0 4.1023 1.1522
Type-2 FLC 1.8662 0 5.129 1.282
Для номинального процесса:
И тип 1 и контроллеры нечеткой логики типа 2 превосходят обычный ПИД-регулятор по характеристикам в терминах перерегулирования.
Обычный ПИД-регулятор, выполняет лучше относительно времени нарастания и интеграла абсолютной погрешности (IAE).
Тип 1 FLC выполняет лучше, чем тип 2 FLC в терминах времени нарастания, времени урегулирования и IAE.
Измените модель объекта управления путем увеличения усиления, задержки и значений постоянной времени по сравнению с номинальным процессом.
C = 0.85;
L = 0.6;
T = 0.6;
G = tf(C,[T 1],'Outputdelay',L);Симулируйте модель с помощью обновленных параметров объекта.
out2 = sim(model);
Постройте переходной процесс системы для всех трех контроллеров.
plotTitle = ['Modified 1: C=' num2str(C) ',L=' num2str(L) ',T=' num2str(T)]; plotOutput(out2,plotTitle)

Получите характеристики переходного процесса системы для каждого контроллера.
stepResponseTable(out2)
ans=3×4 table
Rise Time Overshoot Settling Time Absolute Error
_________ _________ _____________ ______________
PID 0.38464 80.641 29.458 4.7486
Type-1 FLC 0.47262 24.877 4.6788 1.1137
Type-2 FLC 0.47262 22.787 3.4561 1.076
Для этого модифицированного процесса:
Обычный ПИД-регулятор показывает значительное перерегулирование, большее время урегулирования, и выше IAE по сравнению с контроллерами нечеткой логики
Для всех критериев качества работы тип 2 FLC производит то же самое или наилучшее решение по сравнению с типом 1 FLC.
В целом, тип 1 FLC производит наилучшее решение для номинального объекта по сравнению с обычным ПИД-регулятором. Тип 2 FLC показывает больше устойчивой эффективности для модифицированного объекта.
Робастность обычного ПИД-регулятора может быть улучшена с помощью различных методов, таких как предсказание или несколько настроек ПИД-регулятора. С другой стороны, производительность типа 2 FLC может улучшаться при помощи различного:
Основа правила
Количество правил
FOU
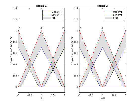
Например, можно создать тип 2 FLC, который задает FOU, использующий обоих более низкий масштабный коэффициент MF и более низкая задержка MF.
Для fis2, установите более низкую шкалу MF и значения задержки к 0.7 и 0.1, соответственно для всех входных функций принадлежности.
for i = 1:length(fis2.Inputs) for j = 1:length(fis2.Inputs(i).MembershipFunctions) fis2.Inputs(i).MembershipFunctions(j).LowerScale = 0.7; fis2.Inputs(i).MembershipFunctions(j).LowerLag = 0.1; end end
Постройте обновленные функции принадлежности.
figure subplot(1,2,1) plotmf(fis2,'input',1) title('Input 1') subplot(1,2,2) plotmf(fis2,'input',2) title('Input 2')

Симулируйте модель с помощью номинального объекта и постройте переходные процессы для контроллеров.
C = 0.5; L = 0.5; T = 0.5; G = tf(C,[T 1],'Outputdelay',L); out4 = sim(model); close_system(model,0) plotTitle = ['Nominal: C=' num2str(C) ', L=' num2str(L) ', T=' num2str(T)]; plotOutput(out4,plotTitle)

Получите характеристики переходного процесса системы для каждого контроллера.
stepResponseTable(out4)
ans=3×4 table
Rise Time Overshoot Settling Time Absolute Error
_________ _________ _____________ ______________
PID 0.62412 11.234 4.5583 1.04
Type-1 FLC 1.4267 0 4.1023 1.1522
Type-2 FLC 1.2179 0 3.8746 1.1087
В этом случае обновленный FOU типа 2 FLC улучшает время нарастания переходного процесса.
Однако более низкие значения задержки MF также увеличивают перерегулирование в случае модифицированного объекта.
C = 0.85; L = 0.6; T = 0.6; G = tf(C,[T 1],'Outputdelay',L); out5 = sim(model); plotTitle = ['Nominal: C=' num2str(C) ', L=' num2str(L) ', T=' num2str(T)]; plotOutput(out5,plotTitle)

t = stepResponseTable(out5)
t=3×4 table
Rise Time Overshoot Settling Time Absolute Error
_________ _________ _____________ ______________
PID 0.38464 80.641 29.458 4.7486
Type-1 FLC 0.47262 24.877 4.6788 1.1137
Type-2 FLC 0.47262 26.699 4.6812 1.1278
Поэтому, чтобы получить желаемые характеристики переходного процесса, можно варьироваться более низкая шкала MF и изолировать значения, чтобы найти подходящую комбинацию.
Можно далее улучшиться, контроллеры выход нечеткой логики с помощью Mamdani вводят FIS, поскольку он также обеспечивает более низкую шкалу MF и параметры задержки для выходных функций принадлежности. Однако тип 2 Mamdani FLC вводит дополнительную вычислительную задержку из-за дорогого процесса сокращения типа.
[1] Мендель, J. M. Неопределенные Основанные на правилах Нечеткие Системы: Введение и Новые Направления, Второй Выпуск, Спрингер, 2017, стр 229-234, 600-608.
function plotOutput(out,plotTitle) figure plot([0 20],[1 1]) hold on plot(out.yout{1}.Values) plot(out.yout{2}.Values) plot(out.yout{3}.Values) hold off grid minor xlabel('Time (sec)') ylabel('Output') title(plotTitle) legend(["Reference","PID","Type-1 FLC","Type-2 FLC"],'Location',"best") end
function t = stepResponseTable(out) s = stepinfo(out.yout{1}.Values.Data,out.yout{1}.Values.Time); stepResponseInfo(1).RiseTime = s.RiseTime; stepResponseInfo(1).Overshoot = s.Overshoot; stepResponseInfo(1).SettlingTime = s.SettlingTime; stepResponseInfo(1).IAE = out.yout{4}.Values.Data(end); s = stepinfo(out.yout{2}.Values.Data,out.yout{2}.Values.Time); stepResponseInfo(2).RiseTime = s.RiseTime; stepResponseInfo(2).Overshoot = s.Overshoot; stepResponseInfo(2).SettlingTime = s.SettlingTime; stepResponseInfo(2).IAE = out.yout{5}.Values.Data(end); s = stepinfo(out.yout{3}.Values.Data,out.yout{3}.Values.Time); stepResponseInfo(3).RiseTime = s.RiseTime; stepResponseInfo(3).Overshoot = s.Overshoot; stepResponseInfo(3).SettlingTime = s.SettlingTime; stepResponseInfo(3).IAE = out.yout{6}.Values.Data(end); t = struct2table(stepResponseInfo,"RowNames",["PID" "Type-1 FLC" "Type-2 FLC"]); t.Properties.VariableNames{1} = 'Rise Time'; t.Properties.VariableNames{2} = t.Properties.VariableNames{2}; t.Properties.VariableNames{3} = 'Settling Time'; t.Properties.VariableNames{4} = 'Absolute Error'; end