В этом примере показано, как создать и использовать объекты схемы RF Toolbox™. В этом примере вы создаете три схемы (rfcktОбъекты: две линии электропередачи и усилитель.
Вы визуализируете данные об усилителе с помощью функций RF Toolbox™ и получаете данные о частоте, которые были считаны из файла в усилитель rfckt объект. Затем вы анализируете усилитель по различному частотному диапазону и визуализируете результаты. Затем вы располагаете каскадом эти три схемы, анализируете каскадную сеть и визуализируете ее S-параметры по исходному частотному диапазону усилителя. Наконец, вы строите S11, S22, и S21 параметры и шумовая фигура каскадной сети.
rfckt ОбъектыСоздайте три объекта схемы: две линии электропередачи и усилитель с помощью данных из default.amp файл данных.
FirstCkt = rfckt.txline; SecondCkt = rfckt.amplifier('IntpType','cubic'); read(SecondCkt,'default.amp'); ThirdCkt = rfckt.txline('LineLength',0.025,'PV',2.0e8);
rfckt ОбъектыМожно использовать get функционируйте, чтобы просмотреть свойства объекта. Например,
PropertiesOfFirstCkt = get(FirstCkt)
PropertiesOfFirstCkt = struct with fields:
LineLength: 0.0100
StubMode: 'NotAStub'
Termination: 'NotApplicable'
Freq: 1.0000e+09
Z0: 50.0000 + 0.0000i
PV: 299792458
Loss: 0
IntpType: 'Linear'
nPort: 2
AnalyzedResult: []
Name: 'Transmission Line'
PropertiesOfSecondCkt = get(SecondCkt)
PropertiesOfSecondCkt = struct with fields:
NoiseData: [1x1 rfdata.noise]
NonlinearData: [1x1 rfdata.power]
IntpType: 'Cubic'
NetworkData: [1x1 rfdata.network]
nPort: 2
AnalyzedResult: [1x1 rfdata.data]
Name: 'Amplifier'
PropertiesOfThirdCkt = get(ThirdCkt)
PropertiesOfThirdCkt = struct with fields:
LineLength: 0.0250
StubMode: 'NotAStub'
Termination: 'NotApplicable'
Freq: 1.0000e+09
Z0: 50.0000 + 0.0000i
PV: 200000000
Loss: 0
IntpType: 'Linear'
nPort: 2
AnalyzedResult: []
Name: 'Transmission Line'
rfckt ОбъектыМожно использовать methods функционируйте, чтобы перечислить методы объекта. Например,
MethodsOfThirdCkt = methods(ThirdCkt)
MethodsOfThirdCkt = 82x1 cell
{'addlistener' }
{'analyze' }
{'calcgroupdelay' }
{'calckl' }
{'calcpout' }
{'calculate' }
{'calczin' }
{'checkbool' }
{'checkchar' }
{'checkenum' }
{'checkenumexact' }
{'checkfrequency' }
{'checkproperty' }
{'checkproptype' }
{'checkreadonlyproperty'}
{'checkrealscalardouble'}
{'circle' }
{'convertfreq' }
{'copy' }
{'delete' }
{'destroy' }
{'disp' }
{'eq' }
{'extract' }
{'findimpedance' }
{'findobj' }
{'findprop' }
{'ge' }
{'get' }
{'getdata' }
⋮
rfckt ОбъектыИспользуйте get функциональная или Запись через точку, чтобы получить длину линии первой линии электропередачи.
DefaultLength = FirstCkt.LineLength;
Используйте set функциональная или Запись через точку, чтобы изменить длину линии первой линии электропередачи.
FirstCkt.LineLength = .001; NewLength = FirstCkt.LineLength;
Используйте smithplot метод схемы возражает, чтобы построить исходный S11 и S22 параметры усилителя (SecondCkt) на графике З Смита. Исходные частоты S-параметров усилителя лежат в диапазоне от 1,0 ГГц до 2,9 ГГц.
figure smithplot(SecondCkt,[1 1;2 2]);

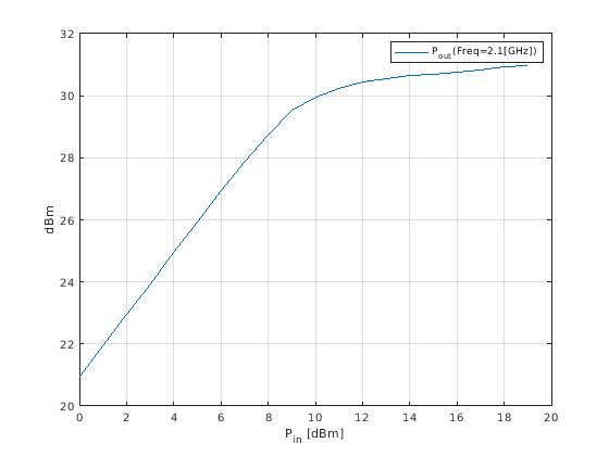
Используйте plot метод схемы возражает, чтобы построить усилитель (SecondCkt) Данные выпячивания контакта, в dBm, на уровне 2,1 ГГц на плоскости X-Y.
figure plot(SecondCkt,'Pout','dBm')
![Figure contains an axes object. The axes object contains an object of type line. This object represents P_{out}(Freq=2.1[GHz]).](../../examples/rf/win64/RFCircuitObjectsExample_02.png)
legend('show','Location','northwest');
Когда RF Toolbox считывает данные из default.amp в объект усилителя (SecondCkt), это также анализирует усилитель по частотам сетевых параметров в default.amp файле, и сохраните результат в свойстве AnalyzedResult. Вот исходная частота усилителя и анализируемый результат по ней.
f = SecondCkt.AnalyzedResult.Freq; data = SecondCkt.AnalyzedResult
data =
rfdata.data with properties:
Freq: [191x1 double]
S_Parameters: [2x2x191 double]
GroupDelay: [191x1 double]
NF: [191x1 double]
OIP3: [191x1 double]
Z0: 50.0000 + 0.0000i
ZS: 50.0000 + 0.0000i
ZL: 50.0000 + 0.0000i
IntpType: 'Cubic'
Name: 'Data object'
Чтобы визуализировать S-параметры схемы по различному частотному диапазону, необходимо сначала анализировать его по заданному частотному диапазону.
analyze(SecondCkt,1.85e9:1e7:2.55e9); smithplot(SecondCkt,[1 1;2 2],'GridType','ZY')

rfckt ОбъектРасположите каскадом три объекта схемы создать каскадный объект схемы, и затем анализировать его на исходных частотах усилителя, которые лежат в диапазоне от 1,0 ГГц до 2,9 ГГц.
CascadedCkt = rfckt.cascade('Ckts',{FirstCkt,SecondCkt,ThirdCkt});
analyze(CascadedCkt,f)ans =
rfckt.cascade with properties:
Ckts: {1x3 cell}
nPort: 2
AnalyzedResult: [1x1 rfdata.data]
Name: 'Cascaded Network'
Рисунок 1: каскадная схема.
Используйте smithplot метод схемы возражает, чтобы построить S11 и S22 из каскадной схемы (CascadedCkt) на графике З Смита.
smithplot(CascadedCkt,[1 1;2 2],'GridType','Z')
Используйте метод графика объекта схемы построить S21 из каскадной схемы (CascadedCkt) на плоскости X-Y.
plot(CascadedCkt,'S21','dB') legend show;
Используйте plot метод схемы возражает, чтобы построить бюджет S21 параметры и шумовая фигура каскадной схемы (CascadedCkt) на плоскости X-Y.
plot(CascadedCkt,'budget','S21','NF') legend show;