exponenta event banner

rfplot

Отобразите данные S-параметра на графике

Синтаксис

rfplot(s_obj)
rfplot(s_obj,i,j)
rfplot(___,lineSpec)
rfplot(___,plotflag)
hline = rfplot(___)

Описание

пример

rfplot(s_obj) строит значение в дБ по сравнению с частотой всех S-параметров (S11, S12... SNN) на текущей оси. s_obj должен быть s-объектом-параметра.

rfplot(s_obj,i,j) строит значение Si, j, в децибелах, по сравнению с частотой на текущей оси.

rfplot(___,lineSpec) S-параметры графиков с помощью дополнительных типов строки, символов и цветов заданы linespec.

rfplot(___,plotflag) позволяет задавать тип графика при помощи plotflag.

пример

hline = rfplot(___) строит S-параметры и возвращает вектор-столбец указателей на объекты линии, hline.

Примеры

свернуть все

Используйте sparameters, чтобы создать набор S-параметры.

hs = sparameters('default.s2p');

Постройте все S-параметры.

rfplot(hs)

Постройте S21.

rfplot(hs,2,1)

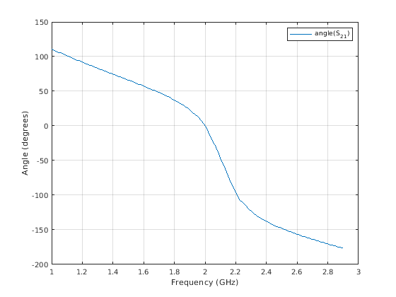
Постройте угол S21 в градусах.

rfplot(hs,2,1,'angle')

Постройте действительную часть S21.

rfplot(hs,2,1,'real')

Входные параметры

свернуть все

S-параметры, заданные как объект параметра сети RF Toolbox™. Чтобы создать этот тип объекта, используйте функцию sparameters.

Индекс строки данных, чтобы построить, заданный как положительное целое число.

Индекс столбца данных, чтобы построить, заданный как положительное целое число.

Спецификация линии, заданная как ввод текста, который изменяет типы строки, символы и цвета графика. Функция берет вводы текста в том же формате как команда plot. Для получения дополнительной информации о значениях спецификации линии смотрите linespec.

Пример: '-or'

Постройте типы, заданные как следующие значения: 'db', 'real', 'imag', 'abs', 'angle'.

Пример: 'angle'

Выходные аргументы

свернуть все

Строка, содержащая график S-параметра, возвращенный как указатель строки.

Смотрите также

Представлено до R2006a