Информация о Системном объекте фильтра
info(sysobj)info(sysobj,infoType)s = info(sysobj)info( возвращает очень простую информацию о Системе фильтра object™, sysobj)sysobj. Подробные сведения зависят от типа фильтра и структуры.
Получите формат short и информацию о длинном формате о фильтре.
d = fdesign.lowpass;
f = design(d,'SystemObject',true);
info(f)ans = 6x35 char array
'Discrete-Time FIR Filter (real) '
'------------------------------- '
'Filter Structure : Direct-Form FIR'
'Filter Length : 43 '
'Stable : Yes '
'Linear Phase : Yes (Type 1) '
info(f,'long')ans = 45x45 char array
'Discrete-Time FIR Filter (real) '
'------------------------------- '
'Filter Structure : Direct-Form FIR '
'Filter Length : 43 '
'Stable : Yes '
'Linear Phase : Yes (Type 1) '
' '
'Design Method Information '
'Design Algorithm : equiripple '
' '
'Design Options '
'Density Factor : 16 '
'Maximum Phase : false '
'Minimum Order : any '
'Minimum Phase : false '
'Stopband Decay : 0 '
'Stopband Shape : flat '
'SystemObject : true '
'Uniform Grid : true '
' '
'Design Specifications '
'Sample Rate : N/A (normalized frequency) '
'Response : Lowpass '
'Specification : Fp,Fst,Ap,Ast '
'Stopband Atten. : 60 dB '
'Passband Ripple : 1 dB '
'Stopband Edge : 0.55 '
'Passband Edge : 0.45 '
' '
'Measurements '
'Sample Rate : N/A (normalized frequency)'
'Passband Edge : 0.45 '
'3-dB Point : 0.46957 '
'6-dB Point : 0.48314 '
'Stopband Edge : 0.55 '
'Passband Ripple : 0.89042 dB '
'Stopband Atten. : 60.945 dB '
'Transition Width : 0.1 '
' '
'Implementation Cost '
'Number of Multipliers : 43 '
'Number of Adders : 42 '
'Number of States : 42 '
'Multiplications per Input Sample : 43 '
'Additions per Input Sample : 42 '
Примечание: Если вы используете R2016a или более ранний релиз, заменяете каждый вызов объекта с эквивалентным синтаксисом шага. Например, obj(x) становится step(obj,x).
Создайте Систему dsp.CICDecimator object™ с набором DecimationFactor к 4. Десятикратно уменьшите сигнал от 44,1 кГц до 11,025 кГц.
cicdec = dsp.CICDecimator(4);
cicdec.FixedPointDataType = 'Minimum section word lengths';
cicdec.OutputWordLength = 16;Создайте фиксированную точку синусоидальный входной сигнал 1 024 выборок с частотой дискретизации 44.1e3 Гц.
Fs = 44.1e3;
n = (0:1023)'; % 0.0232 sec signal
x = fi(sin(2*pi*1e3/Fs*n),true,16,15);Создайте объект dsp.SignalSource.
src = dsp.SignalSource(x,64);
Десятикратно уменьшите вывод с 16 выборками на кадр.
y = zeros(16,16); for ii = 1:16 y(ii,:) = cicdec(src()); end
Постройте первый кадр исходных и подкошенных сигналов. Выходная задержка является 2 выборками.
gainCIC = ... (cicdec.DecimationFactor*cicdec.DifferentialDelay)^cicdec.NumSections; stem(n(1:56)/Fs,double(x(4:59))) hold on; stem(n(1:14)/(Fs/cicdec.DecimationFactor),double(y(1,3:end))/gainCIC,'r','filled') xlabel('Time (sec)') ylabel('Signal Amplitude') legend('Original signal','Decimated signal','Location','north') hold off;

Используя метод info в формате 'long', получите размеры слова и дробные длины разделов фильтра фиксированной точки и фильтра вывод.
info(cicdec,'long')ans =
'Discrete-Time FIR Multirate Filter (real)
-----------------------------------------
Filter Structure : Cascaded Integrator-Comb Decimator
Decimation Factor : 4
Differential Delay : 1
Number of Sections : 2
Stable : Yes
Linear Phase : Yes (Type 1)
Implementation Cost
Number of Multipliers : 0
Number of Adders : 4
Number of States : 4
Multiplications per Input Sample : 0
Additions per Input Sample : 2.5
Fixed-Point Info
Section word lengths : 20 19 19 18
Section fraction lengths : 15 14 14 13
Output word length : 16
Output fraction length : 11
'
Примечание: Если вы используете R2016a или более ранний релиз, заменяете каждый вызов объекта с эквивалентным синтаксисом шага. Например, obj(x) становится step(obj,x).
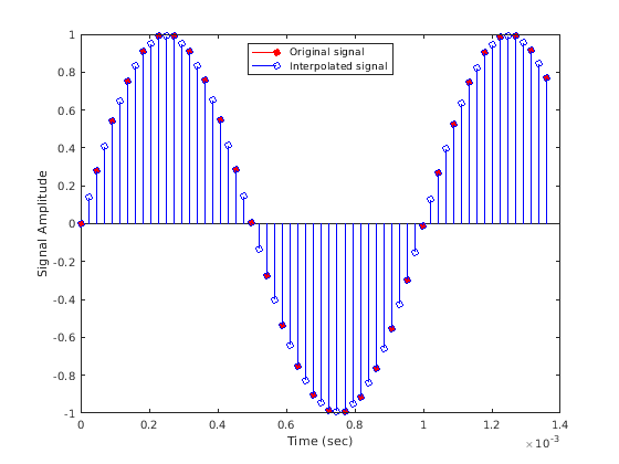
Создайте Систему dsp.CICInterpolator object™ с набором InterpolationFactor к 2. Интерполируйте сигнал фактором 2 от 22,05 кГц до 44,1 кГц.
cicint = dsp.CICInterpolator(2);
Создайте фиксированную точку синусоидальный входной сигнал 512 выборок с частотой дискретизации 22,05 кГц.
Fs = 22.05e3;
n = (0:511)'; % 0.0113 sec signal
x = fi(sin(2*pi*1e3/Fs*n),true,16,15);Создайте Системный объект dsp.SignalSource.
src = dsp.SignalSource(x,32);
Интерполируйте вывод с 64 выборками на кадр.
y = zeros(16,64); for ii = 1:16 y(ii,:) = cicint(src()); end
Постройте первый кадр исходных и интерполированных сигналов. Выходная задержка является 2 выборками.
gainCIC = ... (cicint.InterpolationFactor*cicint.DifferentialDelay)... ^cicint.NumSections/cicint.InterpolationFactor; stem(n(1:31)/Fs, double(x(1:31)),'r','filled') hold on; stem(n(1:61)/(Fs*cicint.InterpolationFactor), ... double(y(1,4:end))/gainCIC,'b') xlabel('Time (sec)') ylabel('Signal Amplitude') legend('Original signal','Interpolated signal',... 'location','north') hold off;

Используя метод info в формате 'long', получите размеры слова и дробные длины разделов фильтра фиксированной точки и фильтра вывод.
info(cicint,'long')ans =
'Discrete-Time FIR Multirate Filter (real)
-----------------------------------------
Filter Structure : Cascaded Integrator-Comb Interpolator
Interpolation Factor : 2
Differential Delay : 1
Number of Sections : 2
Stable : Yes
Linear Phase : Yes (Type 1)
Implementation Cost
Number of Multipliers : 0
Number of Adders : 4
Number of States : 4
Multiplications per Input Sample : 0
Additions per Input Sample : 6
Fixed-Point Info
Section word lengths : 17 17 17 17
Section fraction lengths : 15 15 15 15
Output word length : 17
Output fraction length : 15
'
sysobj — Введите фильтрОдин из следующих типов Системных объектов фильтра:
infoType — Объем информации, чтобы отобразиться'short' (значение по умолчанию) | 'long'Сумма информации о фильтре, которая будет отображена. Когда это свойство установлено в:
'short' – Функция отображает ту же информацию как info(sysobj), который является основной информацией о фильтре.
'long' – Функция возвращает следующую информацию о фильтре:
Спецификации, такие как структура фильтра и порядок фильтра
Информация о методе разработки и опциях
Измерения производительности для ответа фильтра, такие как сокращение полосы пропускания или затухание полосы задерживания, включенное в метод measure
Стоимость реализации фильтра с точки зрения операций, требуемых применять фильтр к данным, включенным в метод cost
Когда фильтр использует вычисления с фиксированной точкой, функция возвращает дополнительную информацию о фильтре, включая арифметическую установку и детали о внутренностях фильтра.
Типы данных: char | string
s храните информацию фильтраОтфильтруйте информацию, возвращенную как символьный массив.
Когда infoType является 'short', функция отображает основную информацию о фильтре. Когда infoType является 'long', функция отображает следующую информацию:
Спецификации, такие как структура фильтра и порядок фильтра
Информация о методе разработки и опциях
Измерения производительности для ответа фильтра, такие как сокращение полосы пропускания или затухание полосы задерживания, включенное в метод measure
Стоимость реализации фильтра с точки зрения операций, требуемых применять фильтр к данным, включенным в метод cost
Когда фильтр использует вычисления с фиксированной точкой, функция возвращает дополнительную информацию о фильтре, включая арифметическую установку и детали о внутренностях фильтра.
1. Если смысл перевода понятен, то лучше оставьте как есть и не придирайтесь к словам, синонимам и тому подобному. О вкусах не спорим.
2. Не дополняйте перевод комментариями “от себя”. В исправлении не должно появляться дополнительных смыслов и комментариев, отсутствующих в оригинале. Такие правки не получится интегрировать в алгоритме автоматического перевода.
3. Сохраняйте структуру оригинального текста - например, не разбивайте одно предложение на два.
4. Не имеет смысла однотипное исправление перевода какого-то термина во всех предложениях. Исправляйте только в одном месте. Когда Вашу правку одобрят, это исправление будет алгоритмически распространено и на другие части документации.
5. По иным вопросам, например если надо исправить заблокированное для перевода слово, обратитесь к редакторам через форму технической поддержки.