exponenta event banner

dsp. PhaseUnwrapper

Разверните фазу сигнала

Описание

Система dsp.PhaseUnwrapper object™ разворачивает фазу входного сигнала, заданного в радианах.

Разворачивать вход фазы сигнала:

  1. Создайте объект dsp.PhaseUnwrapper и установите его свойства.

  2. Вызовите объект с аргументами, как будто это была функция.

Чтобы узнать больше, как Системные объекты работают, смотрите то, Что Системные объекты? MATLAB.

Создание

Синтаксис

phUnwrap = dsp.PhaseUnwrapper
phUnwrap = dsp.PhaseUnwrapper(Name,Value)

Описание

phUnwrap = dsp.PhaseUnwrapper возвращает Системный объект необертки фазы, который добавляет или вычитает соответствующие множители 2π к каждому входному элементу, чтобы удалить разрывы фазы (разворачивают).

пример

phUnwrap = dsp.PhaseUnwrapper(Name,Value) возвращает Системный объект необертки фазы с каждым заданным набором свойств к заданному значению.

Свойства

развернуть все

Если в противном случае не обозначено, свойства являются ненастраиваемыми, что означает, что вы не можете изменить их значения после вызова объекта. Объекты блокируют, когда вы вызываете их, и функция release разблокировала их.

Если свойство является настраиваемым, можно изменить его значение в любое время.

Для получения дополнительной информации об изменении значений свойств смотрите Разработку системы в MATLAB Используя Системные объекты (MATLAB).

Установите это свойство на false разворачивать разрывы фазы только в кадре. Установите это свойство на true также разворачивать разрывы фазы между последовательными кадрами.

Задайте размер скачка, который необертка фазы распознает истинным разрывом фазы. Значение по умолчанию установлено в π (а не меньшее значение), чтобы не изменять законные функции сигнала. Чтобы увеличить чувствительность обертки фазы, установите свойство Tolerance на значение немного меньше, чем π.

Типы данных: single | double | int8 | int16 | int32 | int64 | uint8 | uint16 | uint32 | uint64

Использование

Для версий ранее, чем R2016b, используйте функцию step, чтобы запустить алгоритм Системного объекта. Аргументы к step являются объектом, который вы создали, сопровождаемый аргументами, показанными в этом разделе.

Например, y = step(obj,x) и y = obj(x) выполняют эквивалентные операции.

Синтаксис

output = phUnwrap(input)

Описание

пример

output = phUnwrap(input) разворачивает фазу входного сигнала. Это сделано путем добавления или вычитания соответствующих множителей 2π к каждому входному элементу, чтобы удалить разрывы фазы (разворачивают). Каждый столбец сигнала input обработан как отдельный канал.

Входные параметры

развернуть все

Ввод данных, заданный как вектор или матрица. Фаза входного сигнала должна исчисляться в радианах.

Типы данных: single | double

Выходные аргументы

развернуть все

Развернутая фаза входа, возвращенного как вектор или матрица. Размер и тип данных развернутой фазы выходное соответствие размер и тип данных входного сигнала.

Типы данных: single | double

Функции объекта

Чтобы использовать объектную функцию, задайте Системный объект как первый входной параметр. Например, чтобы выпустить системные ресурсы Системного объекта под названием obj, используйте этот синтаксис:

release(obj)

развернуть все

stepЗапустите алгоритм Системного объекта
releaseВысвободите средства и позвольте изменения в значениях свойств Системного объекта и введите характеристики
resetСбросьте внутренние состояния Системного объекта

Примеры

развернуть все

Примечание: Этот пример запускается только в R2016b или позже. Если вы используете более ранний релиз, заменяете каждый вызов функции с эквивалентным синтаксисом step. Например, myObject (x) становится шагом (myObject, x).

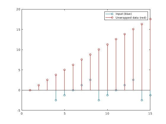
phUnwrap = dsp.PhaseUnwrapper;
p = [0 2/5 4/5 -4/5 -2/5 0 2/5 4/5 -4/5 -2/5 0 2/5 ...
    4/5 -4/5, -2/5]*pi;
y = phUnwrap(p');
figure,stem(p); hold
Current plot held
stem(y, 'r');
legend('Input (blue)','Unwrapped data (red)');
hold off;

Алгоритмы

Этот объект реализует алгоритм, входные параметры и выходные параметры, описанные на странице с описанием блока Unwrap. Свойства объектов соответствуют параметрам блоков Simulink®.

Расширенные возможности

Смотрите также

Представленный в R2012a