Преобразуйте ряд таблицы продолжительности жизни в таблицы продолжительности жизни с принудительным завершением
[qx,lx,dx]
= lifetableconv(x0,lx0)[qx,lx,dx]
= lifetableconv(x0,y0,y0type)Загрузите файл данных таблицы продолжительности жизни.
load us_lifetable_2009Преобразуйте ряд таблицы продолжительности жизни в таблицы продолжительности жизни с принудительным завершением.
[qx,lx,dx] = lifetableconv(x,lx); display(qx(1:20,:))
0.0064 0.0070 0.0057
0.0004 0.0004 0.0004
0.0003 0.0003 0.0002
0.0002 0.0002 0.0002
0.0002 0.0002 0.0001
0.0001 0.0002 0.0001
0.0001 0.0001 0.0001
0.0001 0.0001 0.0001
0.0001 0.0001 0.0001
0.0001 0.0001 0.0001
0.0001 0.0001 0.0001
0.0001 0.0001 0.0001
0.0001 0.0001 0.0001
0.0002 0.0002 0.0002
0.0003 0.0004 0.0002
0.0004 0.0005 0.0002
0.0005 0.0006 0.0003
0.0005 0.0007 0.0003
0.0006 0.0009 0.0004
0.0007 0.0010 0.0004
display(lx(1:20,:))
1.0e+05 *
1.0000 1.0000 1.0000
0.9936 0.9930 0.9943
0.9932 0.9926 0.9939
0.9930 0.9923 0.9937
0.9927 0.9920 0.9935
0.9926 0.9919 0.9933
0.9924 0.9917 0.9932
0.9923 0.9916 0.9931
0.9922 0.9914 0.9930
0.9921 0.9913 0.9929
0.9920 0.9912 0.9928
0.9919 0.9911 0.9927
0.9918 0.9910 0.9926
0.9917 0.9909 0.9925
0.9915 0.9907 0.9923
0.9912 0.9903 0.9921
0.9908 0.9898 0.9919
0.9904 0.9892 0.9916
0.9899 0.9885 0.9913
0.9892 0.9876 0.9909
display(dx(1:20,:))
637.2266 698.8750 572.6328
40.4062 43.9297 36.7188
27.1875 30.0938 24.1406
20.7656 23.0781 18.3359
15.9141 17.2109 14.5625
14.8672 16.3125 13.3516
13.3672 14.7891 11.8750
12.1328 13.3828 10.8203
10.8125 11.6094 9.9844
9.4609 9.5781 9.3438
8.6172 8.1328 9.1172
9.2656 8.8359 9.7188
12.5938 13.5078 11.6328
19.1016 22.9844 15.0234
27.6719 35.5938 19.3516
36.6328 48.5703 24.0547
45.0156 60.7109 28.4844
53.1406 72.8906 32.2812
60.8984 85.1172 35.2578
68.3438 97.2266 37.6875
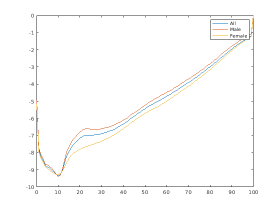
Постройте серию qx и отобразите легенду. Серия qx является условной вероятностью, что человек в возрасте x умрет между возрастом x и следующим возрастом в ряду.
plot(x,log(qx)) legend(series)

Загрузите файл данных таблицы продолжительности жизни.
load us_lifetable_2009Калибруйте таблицу продолжительности жизни от данных о выживании со значением по умолчанию Хелигмен-Поллард параметрическая модель.
a = lifetablefit(x,lx)
a = 8×3
0.0005 0.0006 0.0004
0.0592 0.0819 0.0192
0.1452 0.1626 0.1048
0.0007 0.0011 0.0007
6.2840 6.7639 1.1040
24.1387 24.2894 53.1672
0.0000 0.0000 0.0000
1.0971 1.0987 1.1100
Сгенерируйте ряд таблицы продолжительности жизни из калиброванной модели выхода из строя.
qx = lifetablegen((0:120),a); display(qx(1:20,:))
0.0063 0.0069 0.0057
0.0005 0.0006 0.0004
0.0002 0.0003 0.0002
0.0002 0.0002 0.0002
0.0001 0.0001 0.0001
0.0001 0.0001 0.0001
0.0001 0.0001 0.0001
0.0001 0.0001 0.0001
0.0001 0.0001 0.0001
0.0001 0.0001 0.0001
0.0001 0.0001 0.0001
0.0001 0.0001 0.0001
0.0002 0.0002 0.0001
0.0002 0.0002 0.0002
0.0002 0.0003 0.0002
0.0003 0.0004 0.0002
0.0004 0.0005 0.0002
0.0005 0.0006 0.0003
0.0006 0.0008 0.0003
0.0007 0.0009 0.0003
Преобразуйте ряд таблицы продолжительности жизни в таблицы продолжительности жизни с принудительным завершением.
[~,~,dx] = lifetableconv((0:120),qx,'qx');
display(dx(1:20,:))630.9953 686.9417 571.6095 48.7927 55.1040 40.9872 24.8017 26.3779 23.6167 17.0832 17.5877 17.0317 13.6181 13.8187 13.6143 11.8661 12.0075 11.6314 10.9781 11.1572 10.4905 10.5995 10.8604 9.9488 10.5757 10.9395 9.8951 10.8789 11.3612 10.2717 11.6084 12.2508 11.0417 12.9922 13.9271 12.1763 15.3480 16.8834 13.6482 18.9940 21.6791 15.4301 24.1395 28.7663 17.4945 30.8009 38.3212 19.8136 38.7717 50.1487 22.3607 47.6536 63.6907 25.1104 56.9302 78.1270 28.0392 66.0576 92.5260 31.1265
Постройте серию dx и отобразите легенду. Серия dx является количеством людей, которые умирают из 100 000 живых при рождении между возрастом x и следующим возрастом в ряду.
plot((0:119),dx(1:end-1,:)); legend(series, 'location', 'northwest'); title('\bfLife Table Yearly Decrements'); xlabel('Age'); ylabel('Number Dying within a Given Year');

x0 Увеличение возрастов для необработанных данныхУвеличение возрастов для необработанных данных, заданных как неотрицательные целочисленные значения в векторе N0.
Вектор возрастов x должен содержать неотрицательные целочисленные значения. Если входной ряд является дискретной функцией выживания lx, то стартовому возрасту нужно, только являются неотрицательными. В противном случае стартовым возрастом должен быть 0.
Типы данных: double
lx0 — Набор num стандартизировал ряд оставшегося в живыхНабор num стандартизировал ряд оставшегося в живых, заданный как N0-by-num матрица. Ряд входа lx0 является количеством людей, живых в возрасте x, учитывая 100 000 живых при рождении. Значения 0 или NaN во входной таблице lx0 проигнорированы.
Типы данных: double
y0 Набор ряда таблицы продолжительности жизни num, который будет преобразованНабор ряда таблицы продолжительности жизни num, который будет преобразован, заданный как N0-by-num матрица. Серией y0 по умолчанию является lx0.
Типы данных: double
y0type — Тип ряда выхода из строя для входа y0 с 'lx' по умолчанию'lx'
(значение по умолчанию) | вектор символов со значениями 'qx', 'lx', 'dx'(Необязательно) Тип ряда выхода из строя для входа y0, заданного как вектор символов с одним из следующих значений:
qx Вход является таблицей дискретных опасностей (qx).
'lx' — Вход является таблицей дискретных количеств выживания (lx).
'dx' — Вход является таблицей дискретных декрементов (dx).
Принимая во внимание, что выходные ряды обеспечили завершение, входной ряд (y0) может иметь один из нескольких типов завершения:
Естественное завершение заканчивается последнему человеку так, чтобы lx перешел к 0, qx переходит к 1, и dx переходит к 0. Для получения дополнительной информации смотрите Естественное Завершение.
Усеченное завершение останавливается в терминальном возрасте так, чтобы lx был положителен, qx является меньше, чем 1, и dx положителен. Любые возрасты после терминального возраста являются значениями NaN. Для получения дополнительной информации смотрите Усеченное Завершение.
Типы данных: char
qx Дискретная функция опасностиДискретная функция опасности, возвращенная как N0-by-num матрица с принудительным завершением. Для получения дополнительной информации смотрите Принудительное Завершение.
Серия qx является условной вероятностью, что человек в возрасте x умрет между возрастом x и следующим возрастом в ряду.
lx — Дискретная функция выживанияДискретная функция выживания, возвращенная как N0-by-num матрица с принудительным завершением. Для получения дополнительной информации смотрите Принудительное Завершение.
Серия lx является количеством людей, живых в возрасте x, учитывая 100 000 живых при рождении.
dx — Дискретная функция декрементовДискретная функция декрементов, возвращенная как N0-by-num матрица с принудительным завершением. Для получения дополнительной информации смотрите Принудительное Завершение.
Серия dx является количеством людей, которые умирают из 100 000 живых при рождении между возрастом x и следующим возрастом в ряду.
Большинство современных таблиц продолжительности жизни “обеспечило” завершение. Принудительное завершение означает, что последняя строка таблицы продолжительности жизни запрашивает всех людей с возрастами на или после последнего возраста в таблице продолжительности жизни.
Эта выборка иллюстрирует обеспеченное завершение.

В этом случае последняя строка таблицы продолжительности жизни запрашивает всех людей в возрасте 100 или более старый. А именно, вероятности qx 1qx целую вечность меньше чем 100 и, технически, ∞qx для возраста 100.
Принудительное завершение имеет терминальные значения возраста, которые применяются ко всем возрастам после терминального возраста так, чтобы lx был положителен, qx является 1, и dx положителен. Возрасты после терминального возраста являются значениями NaN, несмотря на то, что lx и dx может быть 0, и qx может быть 1 для входного ряда. Принудительное завершение инициировано естественно останавливающимся рядом, последним возрастом в усеченном ряду или первым значением NaN в ряду.
Прежде 1970, таблицы продолжительности жизни часто публиковались с данными, которые включали все возрасты, для которых люди, сопоставленные с данным рядом, были все еще живы. Таблицы в этой форме имеют "естественное" завершение. В естественном завершении последняя строка таблицы продолжительности жизни для каждого ряда считает смертельные случаи или вероятности смертельных случаев последнего остающегося человека в соответствующем возрасте. Таблицы в этой форме могут быть проблематичными из-за гранулярности данных и того, что группы рядов могут остановиться в отличных возрастах. Естественное завершение проиллюстрировано в следующей выборке последних нескольких лет таблицы продолжительности жизни.

Эта форма для таблиц продолжительности жизни излагает много проблем, которые идут вне очевидных статистических проблем. Во-первых, таблица l x слева останавливается в 108 лет, 109, 109, и 113 для четырех рядов в таблице. Технически, числа после этих возрастов являются 0, но могут также быть значениями NaN, потому что никакой человек не жив после этих возрастов завершения. Во-вторых, вероятности q, который x справа отключает с колеблющимися вероятностями, которые идут от 0 до 1 в некоторых случаях. В этом случае, однако, все вероятности 1qx вероятности (различающиеся принудительные вероятности завершения). Можно утверждать, что вероятностями после возрастов завершения может быть 1 (любой живой в этом возрасте, как ожидают, умрет в следующем году), 0 (возраст находится вне поддержки распределения вероятностей), или значения NaN.
Усеченное завершение происходит при усечении таблиц продолжительности жизни в произвольном возрасте. Например, от 1970–1990, таблицы продолжительности жизни Соединенных Штатов, усеченные в 85 лет. Этот формат проблематичен, потому что вероятности таблицы продолжительности жизни должны или отключить с вероятностью 1 (обеспеченное завершение) или данные об отбрасывании, которые превышают останавливающийся возраст. Эта выборка последних нескольких лет таблицы продолжительности жизни иллюстрирует усеченное завершение. Необработанные данные для этой таблицы являются серией l x. Серия q x выведена от этого ряда.

Этот формат таблицы продолжительности жизни создает проблемы для завершения, потому что, например, более чем 27% генеральной совокупности для четвертой серии l x все еще живы в 85 лет. Утверждать, что вероятность смерти за все возрасты после возраста 85 является 100%-й силой быть верной, но неинформативна. Несмотря на статистические проблемы, однако, таблицы в этой форме заполнены принудительным завершением.
[1] Арии, E. “Таблицы продолжительности жизни Соединенных Штатов”. Национальные жизненные отчеты статистики, американское министерство здравоохранения и социального обеспечения. Издание 62, № 7, 2009.
1. Если смысл перевода понятен, то лучше оставьте как есть и не придирайтесь к словам, синонимам и тому подобному. О вкусах не спорим.
2. Не дополняйте перевод комментариями “от себя”. В исправлении не должно появляться дополнительных смыслов и комментариев, отсутствующих в оригинале. Такие правки не получится интегрировать в алгоритме автоматического перевода.
3. Сохраняйте структуру оригинального текста - например, не разбивайте одно предложение на два.
4. Не имеет смысла однотипное исправление перевода какого-то термина во всех предложениях. Исправляйте только в одном месте. Когда Вашу правку одобрят, это исправление будет алгоритмически распространено и на другие части документации.
5. По иным вопросам, например если надо исправить заблокированное для перевода слово, обратитесь к редакторам через форму технической поддержки.