exponenta event banner

dtw

Расстояние между сигналами с помощью динамического времени, деформируясь

Синтаксис

dist = dtw(x,y)
[dist,ix,iy] = dtw(x,y)
[___] = dtw(x,y,maxsamp)
[___] = dtw(___,metric)
dtw(___)

Описание

пример

dist = dtw(x,y) фрагменты два вектора, x и y, на единый набор моментов, таким образом, что dist, сумма Евклидовых расстояний между соответствующими точками, является самым маленьким. Чтобы расширить входные параметры, dtw повторяет каждый элемент x и y так же много раз по мере необходимости. Если x и y являются матрицами, то dist расширяет их путем повторения их столбцов. В этом случае x и y должны иметь одинаковое число строк.

пример

[dist,ix,iy] = dtw(x,y) возвращает единый набор моментов или деформирующийся путь, такой, что x (ix) и y (iy) имеет самый маленький dist между ними.

Векторы ix и iy имеют ту же длину. Каждый содержит монотонно увеличивающуюся последовательность, в которой индексы к элементам соответствующего сигнала, x или y, повторяются необходимое число раз.

Когда x и y являются матрицами, ix и iy таковы, что x (:,ix) и y (:,iy) минимально разделяется.

пример

[___] = dtw(x,y,maxsamp) ограничивает деформирующийся путь, чтобы быть в рамках выборок maxsamp прямолинейной подгонки между x и y. Этот синтаксис возвращает любой из выходных аргументов предыдущих синтаксисов.

пример

[___] = dtw(___,metric) задает метрику расстояния, чтобы использовать в дополнение к любому из входных параметров в предыдущих синтаксисах.

пример

dtw(___) без выходных аргументов строит исходные и выровненные сигналы.

  • Если сигналы являются векторами действительных чисел, то функция отображает два исходных сигнала на подграфике и выровненные сигналы в подграфике ниже первого.

  • Если сигналы являются комплексными векторами, то функция отображает исходные и выровненные сигналы в 3D графиках.

  • Если сигналы являются действительными матрицами, то функция отображает исходные и выровненные сигналы как изображения.

  • Если сигналы являются комплексными матрицами, то их действительные и мнимые фрагменты появляются в верхней и нижней половине каждого изображения.

Примеры

свернуть все

Сгенерируйте два действительных сигнала: щебет и синусоида.

x = cos(2*pi*(3*(1:1000)/1000).^2);
y = cos(2*pi*9*(1:399)/400);

Используйте динамическое время, деформируясь, чтобы выровнять сигналы, таким образом, что сумма Евклидовых расстояний между их точками является самой маленькой. Отобразите выровненные сигналы и расстояние.

dtw(x,y);

Измените частоту синусоиды на дважды ее начальное значение. Повторите вычисление.

y = cos(2*pi*18*(1:399)/400);

dtw(x,y);

Добавьте мнимую часть в каждый сигнал. Восстановите начальную частоту синусоиды. Используйте динамическое время, деформируясь, чтобы выровнять сигналы путем минимизации суммы Евклидовых расстояний в квадрате.

x = exp(2i*pi*(3*(1:1000)/1000).^2);
y = exp(2i*pi*9*(1:399)/400);

dtw(x,y,'squared');

Создайте гарнитуру, которая напоминает вывод ранних компьютеров. Используйте его, чтобы записать слову MATLAB®.

chr = @(x)dec2bin(x')-48;

M = chr([34 34 54 42 34 34 34]);
A = chr([08 20 34 34 62 34 34]);
T = chr([62 08 08 08 08 08 08]);
L = chr([32 32 32 32 32 32 62]);
B = chr([60 34 34 60 34 34 60]);

MATLAB = [M A T L A B];

Повредите слово путем повторения случайных столбцов букв и варьирования интервала. Покажите исходное слово и три поврежденных версии. Сбросьте генератор случайных чисел для восстанавливаемых результатов.

rng('default')

c = @(x)x(:,sort([1:6 randi(6,1,3)]));

subplot(4,1,1,'XLim',[0 60])
spy(MATLAB)
xlabel('')
ylabel('Original')

for kj = 2:4
    subplot(4,1,kj,'XLim',[0 60])
    spy([c(M) c(A) c(T) c(L) c(A) c(B)])
    xlabel('')
    ylabel('Corrupted')
end

Сгенерируйте две более поврежденных версии слова. Выровняйте их использующий динамическое время, деформируясь.

one = [c(M) c(A) c(T) c(L) c(A) c(B)];
two = [c(M) c(A) c(T) c(L) c(A) c(B)];

[ds,ix,iy] = dtw(one,two);

onewarp = one(:,ix);
twowarp = two(:,iy);

Отобразите невыровненные и выровненные слова.

figure

subplot(4,1,1)
spy(one)
xlabel('')
ylabel('one')

subplot(4,1,2)
spy(two,'r')
xlabel('')
ylabel('two')

subplot(4,1,3)
spy(onewarp)
xlabel('')
ylabel('onewarp')

subplot(4,1,4)
spy(twowarp,'r')
xlabel('')
ylabel('twowarp')

Повторите вычисление с помощью встроенной функциональности dtw.

dtw(one,two);

Сгенерируйте два сигнала, состоящие из двух отличных peaks, разделенных долинами различных длин. Постройте сигналы.

x1 = [0 1 0 0 0 0 0 0 0 0 0 1 0]*.95;
x2 = [0 1 0 1 0]*.95;

subplot(2,1,1)
plot(x1)
xl = xlim;
subplot(2,1,2)
plot(x2)
xlim(xl)

Выровняйте сигналы без ограничения на деформирующийся путь. Чтобы произвести совершенное выравнивание, функция должна повторить только одну выборку более короткого сигнала.

figure
dtw(x1,x2);

Постройте деформирующийся путь и прямолинейную подгонку между двумя сигналами. Чтобы достигнуть выравнивания, функция расширяет канавку между peaks великодушно.

[d,i1,i2] = dtw(x1,x2);

figure
plot(i1,i2,'o-',[i1(1) i1(end)],[i2(1) i2(end)])

Повторите вычисление, но теперь ограничьте деформирующийся путь отклонять самое большее три элемента от прямолинейной подгонки. Постройте расширенные сигналы и деформирующийся путь.

[dc,i1c,i2c] = dtw(x1,x2,3);

subplot(2,1,1)
plot([x1(i1c);x2(i2c)]','.-')
title(['Distance: ' num2str(dc)])
subplot(2,1,2)
plot(i1c,i2c,'o-',[i1(1) i1(end)],[i2(1) i2(end)])

Ограничение устраняет деформирование от концентрации слишком много на небольшом подмножестве выборок, за счет качества выравнивания. Повторите вычисление с ограничением с одной выборкой.

dtw(x1,x2,1);

Загрузите речевой сигнал, выбранный в Fs=7418Hz. Файл содержит запись розеточной речи, говоря слово "MATLAB®".

load mtlb

% To hear, type soundsc(mtlb,Fs)

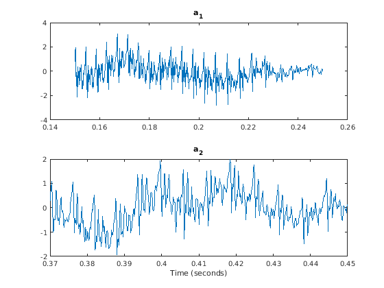
Извлеките два сегмента, которые соответствуют двум экземплярам/æ/фонемы. Первый происходит примерно между 150 мс и 250 мс, и второй между 370 мс и 450 мс. Постройте эти две формы волны.

a1 = mtlb(round(0.15*Fs):round(0.25*Fs));
a2 = mtlb(round(0.37*Fs):round(0.45*Fs));

subplot(2,1,1)
plot((0:numel(a1)-1)/Fs+0.15,a1)
title('a_1')
subplot(2,1,2)
plot((0:numel(a2)-1)/Fs+0.37,a2)
title('a_2')
xlabel('Time (seconds)')

% To hear, type soundsc(a1,Fs), pause(1), soundsc(a2,Fs)

Деформируйте оси времени так, чтобы Евклидово расстояние между сигналами было минимизировано. Вычислите разделяемую "длительность" деформированных сигналов и постройте их.

[d,i1,i2] = dtw(a1,a2);

a1w = a1(i1);
a2w = a2(i2);

t = (0:numel(i1)-1)/Fs;
duration = t(end)
duration = 0.1297
subplot(2,1,1)
plot(t,a1w)
title('a_1, Warped')
subplot(2,1,2)
plot(t,a2w)
title('a_2, Warped')
xlabel('Time (seconds)')

% To hear, type soundsc(a1w,Fs), pause(1), sound(a2w,Fs)

Повторите эксперимент с полным словом. Загрузите файл, содержащий слово, "сильное", произнесенное женщиной и мужчиной. Сигналы выбираются на уровне 8 кГц.

load(fullfile(matlabroot,'examples','signal','strong.mat'))

% To hear, type soundsc(her,fs), pause(2), soundsc(him,fs)

Деформируйте оси времени так, чтобы абсолютное расстояние между сигналами было минимизировано. Постройте исходные и преобразованные сигналы. Вычислите их разделяемую деформированную "длительность".

dtw(her,him,'absolute');
legend('her','him')

[d,iher,ihim] = dtw(her,him,'absolute');
duration = numel(iher)/fs
duration = 0.8394
% To hear, type soundsc(her(iher),fs), pause(2), soundsc(him(ihim),fs)

Файлы MATLAB1.gif и MATLAB2.gif содержат две рукописных выборки слова "MATLAB®". Загрузите файлы и выровняйте их вдоль оси X с помощью динамического времени, деформируясь.

samp1 = fullfile(matlabroot,'examples','signal','MATLAB1.gif');
samp2 = fullfile(matlabroot,'examples','signal','MATLAB2.gif');

x = double(imread(samp1));
y = double(imread(samp2));

dtw(x,y);

Входные параметры

свернуть все

Входной сигнал, заданный как вектор действительных чисел или комплексный вектор или матрица.

Типы данных: single | double
Поддержка комплексного числа: Да

Входной сигнал, заданный как вектор действительных чисел или комплексный вектор или матрица.

Типы данных: single | double
Поддержка комплексного числа: Да

Ширина окна корректировки, заданного как положительное целое число.

Типы данных: single | double

Метрика расстояния, заданная как 'euclidean', 'absolute', 'squared' или 'symmkl'. Если X и Y является оба K - размерные сигналы, то metric предписывает dmn (X, Y), расстояние между m th выборка X и n th выборка Y. Смотрите, что Динамическое Время Деформируется для получения дополнительной информации о dmn (X, Y).

  • 'euclidean' — Корневая сумма различий в квадрате, также известных как Евклидово или 2 метрики:

    dmn(X,Y)=k=1K(xk,myk,n)*(xk,myk,n)

  • 'absolute' — Сумма абсолютных разностей, также известных как Манхэттен, городской квартал, такси или 1 метрика:

    dmn(X,Y)=k=1K|xk,myk,n|=k=1K(xk,myk,n)*(xk,myk,n)

  • 'squared' — Квадрат Евклидовой метрики, состоя из суммы различий в квадрате:

    dmn(X,Y)=k=1K(xk,myk,n)*(xk,myk,n)

  • 'symmkl' — Симметричная метрика Kullback-Leibler. Эта метрика допустима только для действительных и положительных X и Y:

    dmn(X,Y)=k=1K(xk,myk,n)(журналxk,mжурналyk,n)

Выходные аргументы

свернуть все

Минимальное расстояние между сигналами, возвращенными как положительный действительный скаляр.

Деформирование пути для первого сигнала, возвращенного как вектор или матрица индексов.

Деформирование пути для второго сигнала, возвращенного как вектор или матрица индексов.

Больше о

свернуть все

Динамическое время, деформируясь

Два сигнала с эквивалентными функциями, расположенными в том же порядке, могут казаться очень отличающимися из-за различий в длительности их разделов. Динамическое время, деформируясь искажает эту длительность так, чтобы соответствующие функции появились в том же местоположении на общей оси времени, таким образом подсветив общие черты между сигналами.

Рассмотрите два K - размерные сигналы

X=[x1,1x1,2x1,Mx2,1x2,2x2,MxK,1xK,2xK,M]

и

Y=[y1,1y1,2y1,Ny2,1y2,2y2,NyK,1yK,2yK,N],

которые имеют M и выборки N, соответственно. Учитывая dmn (X, Y), расстояние между m th выборка X и n th выборка Y, заданного в metric, dist расширяет X и Y на единый набор моментов, таким образом, что глобальная мера по расстоянию от сигнала к сигналу является самой маленькой.

Первоначально, функция располагает все возможные значения dmn (X, Y) в решетку формы

Затем dist ищет путь через решетку — параметризованный двумя последовательностями той же длины, ix и iy — таким образом что

d=mixniydmn(X,Y)

минимально. Приемлемые пути dist запускаются в d 11 (X, Y), конец в dMN (X, Y), и являются комбинациями “шахматного короля” перемещения:

  • Вертикальные перемещения: (m, n) → (m + 1, n)

  • Горизонтальные перемещения: (m, n) → (m, n + 1)

  • Диагональные перемещения: (m, n) → (m + 1, n + 1)

Эта структура гарантирует, что любой приемлемый путь выравнивает полные сигналы, не пропускает выборки и не повторяет функции сигнала. Кроме того, привлекательный путь запускается близко к диагональной строке, расширенной между d 11 (X, Y) и dMN (X, Y). Это дополнительное ограничение, настроенное аргументом maxsamp, гарантирует, что деформирование сравнивает разделы подобной длины и не сверхсоответствует функциям выброса.

Это - возможный путь через решетку:

Следующие пути не позволены:

Не выравнивает целые сигналыВыборки пропусковВозвращается на себе, повторяя функцию

Ссылки

[1] Sakoe, Hiroaki и Чиба Seibi. “Динамическая Оптимизация Алгоритма Программирования для Распознавания Произносимого слова”. IEEE® Transactions на Акустике, Речи и Обработке сигналов. Издание ASSP-26, № 1, 1978, стр 43–49.

[2] Paliwal, K. K. Anant Agarwal и Сарвэджит С. Синха. “Модификация по Sakoe и Динамическому Алгоритму Деформирования Времени Чибы для Изолированного Распознавания слов”. Обработка сигналов. Издание 4, 1982, стр 329–333.

Смотрите также

| | | |

Введенный в R2016a