exponenta event banner

initrpekf

Постоянная скорость параметризованная областью значений инициализация EKF

Описание

filter = initrpekf(detection) конфигурирует фильтр с 6 расширенными Фильтрами Калмана (EKFs), и целевой диапазон принят, чтобы быть в 1e3 и 1e5 модули сценария. Функция конфигурирует шум процесса с модульным стандартным отклонением на ускорении.

Параметризованный областью значений расширенный фильтр Калмана (RPEKF) является фильтром Гауссовой суммы (trackingGSF) с несколькими EKFs, каждый инициализированный в предполагаемой области значений цели. Параметризация области значений является обычно используемым методом, чтобы инициализировать фильтр от обнаружения только для угла.

filter = initrpekf(detection,numFilters) задает количество EKFs в фильтре.

пример

filter = initrpekf(detection,numFilters,rangeLimits) задает пределы области значений цели.

Примеры

свернуть все

RPEKF является специальным типом фильтра, который может быть инициализирован с помощью измерений только для угла, то есть, азимута и/или вертикального изменения. Когда 'Frame' установлен в 'spherical' и 'HasRange' установлен в 'false', обнаружение имеет [вертикальное изменение азимута] измерения. Задайте параметры измерения соответственно, чтобы задать измерение только для угла без информации об области значений.

measParam = struct('Frame','spherical','HasRange',false,'OriginPosition',[100;10;0]);

objectDetection класс задает интерфейс к обнаружению только для угла, измеренному датчиком. MeasurementParameters поле objectDetection несет информацию о том, что измеряет датчик.

detection = objectDetection(0,[30;30],'MeasurementParameters',measParam,'MeasurementNoise',2*eye(2));

initrpekf функционируйте использует обнаружение только для угла, чтобы инициализировать RPEKF.

rpekf = initrpekf(detection) %#ok
rpekf = 
  trackingGSF with properties:

                 State: [6x1 double]
       StateCovariance: [6x6 double]

       TrackingFilters: {6x1 cell}
    ModelProbabilities: [6x1 double]

      MeasurementNoise: [2x2 double]

Можно также инициализировать RPEKF с 10 фильтрами и действовать в пределах области значений [1000, 10,000] модули сценария.

rangeLimits = [1000 10000];
numFilters = 10;
rpekf = initrpekf(detection, numFilters, rangeLimits)
rpekf = 
  trackingGSF with properties:

                 State: [6x1 double]
       StateCovariance: [6x6 double]

       TrackingFilters: {10x1 cell}
    ModelProbabilities: [10x1 double]

      MeasurementNoise: [2x2 double]

Можно также задать initrpekf функционируйте как FilterInitializationFcn к trackerGNN объект.

funcHandle = @(detection)initrpekf(detection,numFilters,rangeLimits)
funcHandle = function_handle with value:
    @(detection)initrpekf(detection,numFilters,rangeLimits)

tracker = trackerGNN('FilterInitializationFcn',funcHandle)
tracker = 
  trackerGNN with properties:

                  TrackerIndex: 0
       FilterInitializationFcn: [function_handle]
                    Assignment: 'MatchPairs'
           AssignmentThreshold: [30 Inf]
                  MaxNumTracks: 100
                 MaxNumSensors: 20

                    TrackLogic: 'History'
         ConfirmationThreshold: [2 3]
             DeletionThreshold: [5 5]

            HasCostMatrixInput: false
    HasDetectableTrackIDsInput: false
               StateParameters: [1x1 struct]

                     NumTracks: 0
            NumConfirmedTracks: 0

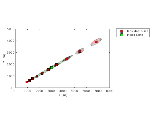
Визуализируйте фильтр.

tp = theaterPlot;
componentPlot = trackPlotter(tp,'DisplayName','Individual sums','MarkerFaceColor','r');
sumPlot = trackPlotter(tp,'DisplayName','Mixed State','MarkerFaceColor','g');

indFilters = rpekf.TrackingFilters;
pos = zeros(numFilters,3);
cov = zeros(3,3,numFilters);
for i = 1:numFilters
    pos(i,:) = indFilters{i}.State(1:2:end);
    cov(1:3,1:3,i) = indFilters{i}.StateCovariance(1:2:end,1:2:end);
end
componentPlot.plotTrack(pos,cov);

mixedPos = rpekf.State(1:2:end)';
mixedPosCov = rpekf.StateCovariance(1:2:end,1:2:end);
sumPlot.plotTrack(mixedPos,mixedPosCov);

Входные параметры

свернуть все

Отчет обнаружения, заданный как объект Object Detections.

Пример: detection = objectDetection(0,[1;4.5;3],'MeasurementNoise', [1.0 0 0; 0 2.0 0; 0 0 1.5])

Количество EKFs каждый инициализированный в предполагаемой области значений цели, заданной как положительное целое число. Если не заданный, количеством по умолчанию EKFs является 6.

Типы данных: single | double | int8 | int16 | int32 | int64 | uint8 | uint16 | uint32 | uint64

Пределы области значений цели, заданной как двухэлементный вектор. Эти два элемента в векторе представляют нижние и верхние пределы целевого диапазона. Если не заданный, пределы области значений по умолчанию являются [1e3 1e5] модулями сценария.

Типы данных: single | double | int8 | int16 | int32 | int64 | uint8 | uint16 | uint32 | uint64

Выходные аргументы

свернуть все

Постоянная скорость параметризованный областью значений расширенный фильтр Калмана (EKF), возвращенный как trackingGSF объект.

Расширенные возможности

Генерация кода C/C++
Генерация кода C и C++ с помощью MATLAB® Coder™.

Смотрите также

Функции

Объекты

Введенный в R2018b