Опция установлена для mpcmove функция
Задавать опции для mpcmove, mpcmoveAdaptive, и mpcmoveMultiple функции, используйте mpcmoveopt объект.
Используя этот объект, можно задать значения во время выполнения для подмножества свойств контроллера, такие как настраивающиеся веса и ограничения. Если вы не задаете значение для одного из mpcmoveopt свойства, значение соответствующего параметра контроллера используется вместо этого.
создает набор по умолчанию опций для options = mpcmoveoptmpcmove функция. Чтобы изменить значения свойств, используйте запись через точку.
OutputWeights — Настраивающие веса выходной переменной[] (значение по умолчанию) | вектор | массивНастраивающие веса выходной переменной, которые заменяют Weights.OutputVariables свойство контроллера во время выполнения, заданное как вектор или массив неотрицательных значений.
Чтобы использовать те же веса через горизонт прогноза, задайте вектор-строку из длины Ny, где Ny является количеством выходных переменных.
Чтобы варьироваться настраивающиеся веса по горизонту прогноза со времени k +1 ко времени k +p, задайте массив со столбцами Ny и до строк p. Здесь, k является текущим временем, и p является горизонтом прогноза. Каждая строка содержит настраивающие веса выходной переменной для одного шага горизонта прогноза. Если вы задаете меньше, чем строки p, веса в итоговой строке используются в остающихся шагах горизонта прогноза.
Формат OutputWeights должен совпадать с форматом Weights.OutputVariables свойство объекта контроллера. Например, вы не можете задать постоянные веса через горизонт прогноза в объекте контроллера, и затем задать изменяющиеся во времени веса с помощью mpcmoveopt.
MVWeights — Переменные настраивающие веса, которыми управляют,[] (значение по умолчанию) | вектор | массивПеременные настраивающие веса, которыми управляют, которые заменяют Weights.ManipulatedVariables свойство контроллера во время выполнения, заданное как вектор или массив неотрицательных значений.
Чтобы использовать те же веса через горизонт прогноза, задайте вектор-строку из длины Nmv, где Nmv является количеством переменных, которыми управляют.
Чтобы варьироваться настраивающиеся веса по горизонту прогноза со времени k ко времени k +p-1, задайте массив со столбцами Nmv и до строк p. Здесь, k является текущим временем, и p является горизонтом прогноза. Каждая строка содержит переменные настраивающие веса, которыми управляют, для одного шага горизонта прогноза. Если вы задаете меньше, чем строки p, веса в итоговой строке используются в остающихся шагах горизонта прогноза.
Формат MVWeights должен совпадать с форматом Weights.ManipulatedVariables свойство объекта контроллера. Например, вы не можете задать постоянные веса через горизонт прогноза в объекте контроллера, и затем задать изменяющиеся во времени веса с помощью mpcmoveopt.
MVRateWeights — Настраивающие веса с плавающей ставкой, которыми управляют,[] (значение по умолчанию) | вектор | массивНастраивающие веса с плавающей ставкой, которыми управляют, которые заменяют Weights.ManipulatedVariablesRate свойство контроллера во время выполнения, заданное как вектор или массив неотрицательных значений.
Чтобы использовать те же веса через горизонт прогноза, задайте вектор-строку из длины Nmv, где Nmv является количеством переменных, которыми управляют.
Чтобы варьироваться настраивающиеся веса по горизонту прогноза со времени k ко времени k +p-1, задайте массив со столбцами Nmv и до строк p. Здесь, k является текущим временем, и p является горизонтом прогноза. Каждая строка содержит настраивающие веса с плавающей ставкой, которыми управляют, для одного шага горизонта прогноза. Если вы задаете меньше, чем строки p, веса в итоговой строке используются в остающихся шагах горизонта прогноза.
Формат MVRateWeights должен совпадать с форматом Weights.ManipulatedVariablesRate свойство объекта контроллера. Например, вы не можете задать постоянные веса через горизонт прогноза в объекте контроллера, и затем задать изменяющиеся во времени веса с помощью mpcmoveopt.
ECRWeight — Ослабьте переменный настраивающий вес[] (значение по умолчанию) | положительная скалярная величинаОслабьте переменный настраивающий вес, который заменяет Weights.ECR свойство контроллера во время выполнения, заданное как положительная скалярная величина.
OutputMin — Нижние границы выходной переменной[] (значение по умолчанию) | вектор-строкаНижние границы выходной переменной, заданные как вектор-строка из длины Ny, где Ny является количеством выходных переменных. OutputMin(i) заменяет OutputVariables(i).Min свойство контроллера во время выполнения.
Если OutputVariables(i).Min свойство контроллера задано как вектор (то есть, ограничение варьируется по горизонту прогноза), OutputMin(i) заменяет первую конечную запись в этом векторе и остающийся сдвиг значений, чтобы сохранить тот же ограничительный профиль.
OutputMax — Верхние границы выходной переменной[] (значение по умолчанию) | вектор-строкаВерхние границы выходной переменной, заданные как вектор-строка из длины Ny, где Ny является количеством выходных переменных. OutputMax(i) заменяет OutputVariables(i).Max свойство контроллера во время выполнения.
Если OutputVariables(i).Max свойство контроллера задано как вектор (то есть, ограничение варьируется по горизонту прогноза), OutputMax(i) заменяет первую конечную запись в этом векторе и остающийся сдвиг значений, чтобы сохранить тот же ограничительный профиль.
MVMin — Переменные нижние границы, которыми управляют,[] (значение по умолчанию) | вектор-строкаПеременные нижние границы, которыми управляют, заданные как вектор-строка из длины Nmv, где Nmv является количеством переменных, которыми управляют. MVMin(i) заменяет ManipulatedVariables(i).Min свойство контроллера во время выполнения.
Если ManipulatedVariables(i).Min свойство контроллера задано как вектор (то есть, ограничение варьируется по горизонту прогноза), MVMin(i) заменяет первую конечную запись в этом векторе и остающийся сдвиг значений, чтобы сохранить тот же ограничительный профиль.
MVMax — Переменные верхние границы, которыми управляют,[] (значение по умолчанию) | вектор-строкаПеременные верхние границы, которыми управляют, заданные как вектор-строка из длины Nmv, где Nmv является количеством переменных, которыми управляют. MVMax(i) заменяет ManipulatedVariables(i).Max свойство контроллера во время выполнения.
Если ManipulatedVariables(i).Max свойство контроллера задано как вектор (то есть, ограничение варьируется по горизонту прогноза), MVMax(i) заменяет первую конечную запись в этом векторе и остающийся сдвиг значений, чтобы сохранить тот же ограничительный профиль.
CustomConstraint — Пользовательские смешанные ограничения ввода/вывода[] (значение по умолчанию) | структураПользовательские смешанные ограничения ввода/вывода, заданные как структура со следующими полями. Эти ограничения заменяют смешанные ограничения ввода/вывода ранее набор с помощью setconstraint.
E — Переменное, постоянное ограничение, которым управляютПеременное ограничение, которым управляют, постоянное, заданное как Nc-by-Nmv массив, где Nc является количеством ограничений и Nmv, является количеством переменных, которыми управляют.
F — Управляемое выходное постоянное ограничениеУправляемое выходное ограничение, постоянное, заданное как Nc-by-Ny массив, где Ny является количеством управляемых выходных параметров (измеренный и неизмеренный).
G — Смешанное постоянное ограничение ввода/выводаСмешанное ограничение ввода/вывода, постоянное, заданное как вектор-столбец длины Nc.
S — Измеренное постоянное ограничение воздействияИзмеренное ограничение воздействия, постоянное, заданное как Nc-by-Nmd массив, где Nmd является количеством измеренных воздействий.
OnlyComputeCost — Отметьте указание, вычислить ли последовательность оптимального управления (значение по умолчанию) | 1Отметьте указание, вычислить ли последовательность оптимального управления, заданную как одно из следующего:
0 — Контроллер возвращает предсказанные перемещения оптимального управления в дополнение к величине затрат целевой функции.
1 — Контроллер возвращает стоимость целевой функции только, которая экономит вычислительные усилия.
MVused — Значения переменных, которыми управляют, используются на объекте во время предыдущего интервала управления[] (значение по умолчанию) | вектор-строкаЗначения переменных, которыми управляют, использовали на объекте во время предыдущего интервала управления, заданного как вектор-строка из длины Nmv, где Nmv является количеством переменных, которыми управляют. Если вы не задаете MVused, mpvmove использует LastMove свойство его текущего контроллера утверждает входной параметр, x.
MVTarget — Переменные цели, которыми управляют,[] (значение по умолчанию) | вектор-строкаПеременные цели, которыми управляют, заданные как вектор-строка из длины Nmv, где Nmv является количеством переменных, которыми управляют. MVTarget(i) заменяет ManipulatedVariables(i).Target свойство контроллера во время выполнения.
PredictionHorizon — Горизонт прогноза[] (значение по умолчанию) | положительное целое числоГоризонт прогноза, который заменяет PredictionHorizon свойство контроллера во время выполнения, заданное как положительное целое число. Если вы задаете PredictionHorizon, необходимо также задать ControlHorizon.
Определение PredictionHorizon изменяется:
Количество строк в оптимальных последовательностях, возвращенных mpcmove и mpcmoveAdaptive функции
Максимальные размерности Plant и Nominal входные параметры mpcmoveAdaptive
Этот параметр проигнорирован mpcmoveMultiple функция.
ControlHorizon — Управляйте горизонтом[] (значение по умолчанию) | положительное целое число | вектор положительных целых чиселУправляйте горизонтом, который заменяет ControlHorizon свойство контроллера во время выполнения, заданное как одно из следующего:
Положительное целое число, m, между 1 и p, включительно, где p равен PredictionHorizon. В этом случае контроллер вычисляет m свободные перемещения управления, происходящие во времена k через k +m-1, и содержит выход контроллера, постоянный для остающихся шагов горизонта прогноза от k +m через k +p-1. Здесь, k является текущим интервалом управления. Для оптимальной траектории, планируя устанавливает m, равный p.
Вектор положительных целых чисел, [m 1, m 2, …], где сумма целых чисел равняется горизонту прогноза, p. В этом случае контроллер вычисляет блоки M свободных перемещений, где M является длиной ControlHorizon вектор. Первое свободное перемещение применяется ко временам k через k +m1-1, второе свободное перемещение применяет со времени k +m1 через k +m1+m2-1 и так далее. Используя перемещения блока может улучшить робастность вашего контроллера по сравнению со случаем по умолчанию.
Если вы задаете ControlHorizon, необходимо также задать PredictionHorizon.
Этот параметр проигнорирован mpcmoveMultiple функция.
mpcmove | Вычислите действие оптимального управления |
mpcmoveAdaptive | Вычислите оптимальное управление с обновлением модели прогноза |
mpcmoveMultiple | Вычислите действие MPC управления табличного управления в один момент времени |
Варьируйтесь переменная верхняя граница, которой управляют, во время симуляции.
Задайте объект, который включает 4-секундную входную задержку. Преобразуйте в без задержек, дискретное, модель в пространстве состояний с помощью 2-секундного интервала управления. Создайте соответствующий контроллер по умолчанию и задайте границы мВ в +/-2.
Ts = 2;
Plant = absorbDelay(c2d(ss(tf(0.8,[5 1],'InputDelay',4)),Ts));
MPCobj = mpc(Plant,Ts);-->The "PredictionHorizon" property of "mpc" object is empty. Trying PredictionHorizon = 10. -->The "ControlHorizon" property of the "mpc" object is empty. Assuming 2. -->The "Weights.ManipulatedVariables" property of "mpc" object is empty. Assuming default 0.00000. -->The "Weights.ManipulatedVariablesRate" property of "mpc" object is empty. Assuming default 0.10000. -->The "Weights.OutputVariables" property of "mpc" object is empty. Assuming default 1.00000.
MPCobj.MV(1).Min = -2; MPCobj.MV(1).Max = 2;
Создайте пустой mpcmoveopt объект. В процессе моделирования можно установить свойства объекта задать параметры контроллера.
options = mpcmoveopt;
Предварительно выделите устройство хранения данных и инициализируйте состояние контроллера.
v = []; t = [0:Ts:20]; N = length(t); y = zeros(N,1); u = zeros(N,1); x = mpcstate(MPCobj);
-->Assuming output disturbance added to measured output channel #1 is integrated white noise. -->The "Model.Noise" property of the "mpc" object is empty. Assuming white noise on each measured output channel.
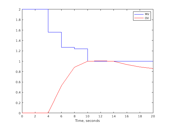
Используйте mpcmove симулировать следующее:
Ссылка (заданное значение) ступенчатое изменение от начального условия r = 0 к r = 1 (ответ сервомотора)
Верхняя граница мВ продвигается уменьшение от 2 до 1, происходя в t = 10
r = 1; for i = 1:N y(i) = Plant.C*x.Plant; if t(i) >= 10 options.MVMax = 1; end [u(i),Info] = mpcmove(MPCobj,x,y(i),r,v,options); end
Когда цикл выполняется, значение options.MVMax сбрасывается к 1 для всех итераций, которые происходят после t = 10. До той итерации, options.MVMax isempty. Поэтому значение диспетчера для MVMax используется, MPCobj.MV(1).Max = 2.
Постройте результаты симуляции.
[Ts,us] = stairs(t,u); plot(Ts,us,'b-',t,y,'r-') legend('MV','OV') xlabel(sprintf('Time, %s',Plant.TimeUnit))

Из графика можно заметить, что исходная верхняя граница мВ активна до t = 4. После входной задержки 4 секунд выходная переменная (OV) перемещается гладко в свою новую цель r = 1. достижение цели в t = 10. Новый мВ, связанный наложенный в t = 10, становится активным сразу. Это обеспечивает OV ниже его цели, после того, как входная задержка протечет.
Теперь примите, что вы хотите наложить верхнюю границу OV в заданном местоположении относительно цели OV. Рассмотрите следующую ограничительную команду проекта:
MPCobj.OV(1).Max = [Inf,Inf,0.4,0.3,0.2];
Это - варьирующееся по горизонту ограничение. Известная входная задержка лишает возможности контроллер удовлетворять ограничению OV до третьего шага горизонта прогноза. Поэтому конечное ограничение во время первых двух шагов было бы плохой практикой. В иллюстративных целях предыдущее ограничение также уменьшается от 0,4 на шаге 3 к 0,2 на шаге 5 и после этого.
Следующие команды приводят к тем же результатам, показанным в предыдущем графике. Ограничение OV никогда не активно, потому что оно варьируется совместно с заданным значением, r.
x = mpcstate(MPCobj);
-->Assuming output disturbance added to measured output channel #1 is integrated white noise. -->The "Model.Noise" property of the "mpc" object is empty. Assuming white noise on each measured output channel.
OPTobj = mpcmoveopt; for i = 1:N y(i) = Plant.C*x.Plant; if t(i) >= 10 OPTobj.MVMax = 1; end OPTobj.OutputMax = r + 0.4; [u(i),Info] = mpcmove(MPCobj,x,y(i),r,v,OPTobj); end
Скалярное значение r + 0,4 замены первое конечное значение в MPCobj.OV(1).Max вектор и остающиеся конечные значения настраивают, чтобы обеспечить исходный профиль, то есть, числовое различие между этими значениями неизменно. r = 1 для симуляции, таким образом, предыдущее использование mpcmoveopt объект эквивалентен команде
MPCobj.OV(1).Max = [Inf, Inf, 1.4, 1.3, 1.2];
Однако использование mpcmoveopt объект включает намного меньше вычислительных издержек.
Если переменная неограничена в первоначальном проекте контроллера, вы не можете ограничить его с помощью mpcmoveopt. Контроллер игнорирует любые такие спецификации.
Вы не можете удалить ограничение из переменной, которая ограничивается в первоначальном проекте контроллера. Однако можно измениться, это к большому (или маленький) оценивает таким образом, что это вряд ли станет активным.
mpc | mpcmove | setconstraint | setterminal
У вас есть модифицированная версия этого примера. Вы хотите открыть этот пример со своими редактированиями?
1. Если смысл перевода понятен, то лучше оставьте как есть и не придирайтесь к словам, синонимам и тому подобному. О вкусах не спорим.
2. Не дополняйте перевод комментариями “от себя”. В исправлении не должно появляться дополнительных смыслов и комментариев, отсутствующих в оригинале. Такие правки не получится интегрировать в алгоритме автоматического перевода.
3. Сохраняйте структуру оригинального текста - например, не разбивайте одно предложение на два.
4. Не имеет смысла однотипное исправление перевода какого-то термина во всех предложениях. Исправляйте только в одном месте. Когда Вашу правку одобрят, это исправление будет алгоритмически распространено и на другие части документации.
5. По иным вопросам, например если надо исправить заблокированное для перевода слово, обратитесь к редакторам через форму технической поддержки.