exponenta event banner

corrmtx

Матрица данных для матричной оценки автокорреляции

Описание

H = corrmtx(x,m) возвращается (n +m) (m+1) прямоугольная матрица H Теплица = H таким образом, что H†H является смещенной оценкой матрицы автокорреляции для входного вектора x. n является длиной xM порядок модели предсказания, и H является сопряженным транспонированием H.

пример

H = corrmtx(x,m,method) вычисляет матричный H согласно методу, заданному method.

[H,r] = corrmtx(___) также возвращается (m + 1) (m + 1) матрица автокорреляции оценивает r, вычисленный как H†H, для любого из предыдущих синтаксисов.

Примеры

свернуть все

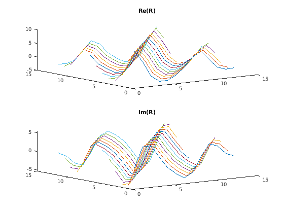
Сгенерируйте сигнал, состоявший из трех комплексных экпонент, встроенных в белый Гауссов шум. Вычислите данные и матрицы автокорреляции с помощью 'modified' метод.

n = 0:99;
s = exp(i*pi/2*n)+2*exp(i*pi/4*n)+exp(i*pi/3*n)+randn(1,100);
m = 12;
[X,R] = corrmtx(s,m,'modified');

Постройте действительные и мнимые части матрицы автокорреляции.

[A,B] = ndgrid(1:m+1);
subplot(2,1,1)
plot3(A,B,real(R))
title('Re(R)')
subplot(2,1,2)
plot3(A,B,imag(R))
title('Im(R)')

Входные параметры

свернуть все

Входные данные в виде вектора.

Модель Prediction заказывает в виде положительного действительного целого числа.

Матричный метод расчета в виде 'autocorrelation', 'prewindowed', 'postwindowed'Ковариация или 'modified'.

  • 'autocorrelation': H (по умолчанию) (n + m) (m + 1) прямоугольная матрица Теплица, которая генерирует оценку автокорреляции для вектора данных длины-n x, выведенные использующие предоконные и постоконные данные, на основе mмодель предсказания th-порядка. Матрица может использоваться, чтобы выполнить авторегрессивную оценку параметра с помощью метода Юла-Уокера. Для получения дополнительной информации смотрите aryule.

  • 'prewindowed'H n (m + 1) прямоугольная матрица Теплица, которая генерирует оценку автокорреляции для вектора данных длины-n x, выведенные использующие предоконные данные, на основе mмодель предсказания th-порядка.

  • 'postwindowed'H n (m + 1) прямоугольная матрица Теплица, которая генерирует оценку автокорреляции для вектора данных длины-n x, выведенные использующие постоконные данные, на основе mмодель предсказания th-порядка.

  • 'covariance'H (nm) (m + 1) прямоугольная матрица Теплица, которая генерирует оценку автокорреляции для вектора данных длины-n x, выведенные использующие неоконные данные, на основе mмодель предсказания th-порядка. Матрица может использоваться, чтобы выполнить авторегрессивную оценку параметра с помощью метода ковариации. Для получения дополнительной информации смотрите arcov.

  • 'modified'H 2 (nm) (m + 1) модифицированная прямоугольная матрица Теплица, которая генерирует оценку автокорреляции для вектора данных длины-n x, выведенное использование прямые и обратные ошибочные оценки предсказания, на основе mмодель предсказания th-порядка. Матрица может использоваться, чтобы выполнить авторегрессивную оценку параметра с помощью модифицированного метода ковариации. Для получения дополнительной информации смотрите armcov.

Выходные аргументы

свернуть все

Матрица данных, возвращенная для матричной оценки автокорреляции. Размер H зависит от матричного метода расчета, заданного в method.

Смещенная матрица автокорреляции, возвращенная как (m + 1) (m + 1) прямоугольная матрица Теплица.

Алгоритмы

Матрица данных Теплица вычисляется corrmtx зависит от метода, который вы выбираете. Матрица, определенная автокорреляцией (значение по умолчанию) метод:

H=1n[x(1)000x(2)x(1)00x(3)x(2)00x(m)x(m1)x(1)0x(m+1)x(m)x(2)x(1)x(m+2)x(m+1)x(3)x(2)x(n1)x(n2)x(nm)x(nm1)x(n)x(n1)x(nm+1)x(nm)0x(n)x(nm+2)x(nm+1)00x(n1)x(n2)00x(n)x(n1)000x(n)].

В матрице m совпадает с входным параметром m к corrmtx и n является length(x). Изменения этой матрицы используются, чтобы возвратить выход H из corrmtx для каждого метода:

  • 'autocorrelation'H (по умолчанию) = H.

  • 'prewindowed' H n (m + 1) субматрица H, первой строкой которого является [x (1) … 0] и чьей последней строкой является [x (n) … x (nm)].

  • 'postwindowed' H n (m + 1) субматрица H, первой строкой которого является [x (m + 1) … x (1)] и чьей последней строкой является [0 … x (n)].

  • 'covariance' H (nm) (m + 1) субматрица H, первой строкой которого является [x (m + 1) … x (1)] и чьей последней строкой является [x (n) … x (nm)].

  • 'modified' H 2 (nm) (m + 1) матричный Hmod, заданный

    Hmod=12(nm)[x(m+1)x(1)x(n)x(nm)x(1)x(m+1)x(nm)x(n)].

Ссылки

[1] Марпл, С. Лоуренс. Цифровой спектральный анализ: с приложениями. Ряд обработки сигналов Prentice Hall. Englewood Cliffs, Нью-Джерси: Prentice Hall, 1987.

Расширенные возможности

Генерация кода C/C++
Генерация кода C и C++ с помощью MATLAB® Coder™.

Смотрите также

| | | |

Представлено до R2006a