Соединения блок-схемы динамических систем
sysc = connect(sys1,...,sysN,inputs,outputs)
sysc = connect(sys1,...,sysN,inputs,outputs,APs)
sysc = connect(blksys,connections,inputs,outputs)
sysc = connect(___,opts)
соединяет элементы блок-схемы sysc = connect(sys1,...,sysN,inputs,outputs)sys1,...,sysN на основе имен сигнала. Элементы блок-схемы sys1,...,sysN модели динамической системы. Эти модели могут включать соединения подведения итогов, что вы создаете использование sumblk. connect команда соединяет элементы блок-схемы путем соответствия с сигналами ввода и вывода, что вы задаете в InputName и OutputName свойства sys1,...,sysN. Совокупная модель sysc модель динамической системы, задающая вводы и выводы inputs и outputs соответственно.
вставляет sysc = connect(sys1,...,sysN,inputs,outputs,APs)AnalysisPoint в каждом местоположении сигнала, заданном в APs. Используйте аналитические точки, чтобы отметить местоположения интереса, которые являются внутренними сигналами в совокупной модели. Например, местоположение, в котором вы хотите извлечь передаточную функцию цикла или измерить запасы устойчивости, является местоположением интереса.
использует основанное на индексе соединение, чтобы создать sysc = connect(blksys,connections,inputs,outputs)sysc из совокупной, несвязанной модели blksys. Матричный connections задает как выходные параметры и входные параметры blksys межсоединение. Для основанных на индексе соединений, inputs и outputs векторы индекса, которые задают который вводы и выводы blksys внешние вводы и выводы sysc. Этот синтаксис может быть удобным, когда вы не хотите присваивать имена ко всем вводам и выводам всех моделей, чтобы соединиться. Однако в целом легче отслеживать именованные сигналы.
создает взаимосвязанную модель с помощью дополнительных опций. Можно использовать sysc = connect(___,opts)opts с входными параметрами любого из предыдущих синтаксисов.
|
Модели динамической системы, которые соответствуют элементам вашей блок-схемы. Например, элементы вашей блок-схемы могут включать один или несколько |
|
Для основанного на имени соединения, вектора символов или массива ячеек из символьных векторов, которые задают входные параметры совокупной модели |
|
Для основанного на имени соединения, вектора символов или массива ячеек из символьных векторов, которые задают выходные параметры совокупной модели |
|
Местоположения (внутренние сигналы) интереса к совокупной модели в виде вектора символов или массива ячеек из символьных векторов, такие как |
|
Несвязанная совокупная модель. Получить blksys = append(C,G,S) |
|
Матрица, которая задает связи и соединения подведения итогов блок-схемы. Каждая строка [3 2 0 0] задает тот [7 2 -15 6] указывает на тот Если вы не задаете связи для конкретного ввода или вывода, |
|
Дополнительные опции для соединения в виде набора опций, с которым вы создаете |
|
Взаимосвязанная система, возвращенная или как модель в пространстве состояний или как модель частотной характеристики. Тип возвращенной модели зависит от входных моделей. Например:
По умолчанию, opt = connectOptions('Simplify',false); sysc = connect(sys1,sys2,sys3,'r','y',opt); |
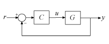
Создайте совокупную модель следующей блок-схемы от r к y.

Создайте C и G, и назовите вводы и выводы.
C = pid(2,1); C.u = 'e'; C.y = 'u'; G = zpk([],[-1,-1],1); G.u = 'u'; G.y = 'y';
Обозначения C.u и C.y краткие выражения, эквивалентные C.InputName и C.OutputName, соответственно. Например, ввод C.u = 'e' эквивалентно вводу C.InputName = 'e'. Наборы команд InputName свойство C к значению 'e'.
Создайте соединение подведения итогов.
Sum = sumblk('e = r - y');
Объедините CG, и соединение подведения итогов, чтобы создать совокупную модель из r к y.
T = connect(G,C,Sum,'r','y');
connect автоматически вводы и выводы соединений с соответствием с именами.
Создайте систему управления предыдущим примером где G и C оба модели с 2 выходами, с 2 входами.
C = [pid(2,1),0;0,pid(5,6)]; C.InputName = 'e'; C.OutputName = 'u'; G = ss(-1,[1,2],[1;-1],0); G.InputName = 'u'; G.OutputName = 'y';
Когда вы задаете одно имена для сигналов с векторным знаком, программное обеспечение автоматически выполняет векторное расширение имен сигнала. Например, исследуйте имена входных параметров к C.
C.InputName
ans =
'e(1)'
'e(2)'Создайте соединение подведения итогов с 2 выходами, с 2 входами.
Sum = sumblk('e = r-y',2);sumblk также выполняет векторное расширение имен сигнала.
Соедините модели, чтобы получить систему с обратной связью.
T = connect(G,C,Sum,'r','y');
Элементы блок-схемы GC, и Sum все модели с 2 выходами, с 2 входами. Поэтому connect выполняет то же векторное расширение. connect выбирает все записи 2D входных сигналов 'r' и 'y' как вводы и выводы к T, соответственно. Например, исследуйте входные имена T.
T.InputName
ans =
'r(1)'
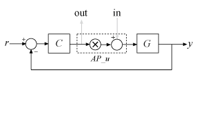
'r(2)'connectСоздайте модель следующей блок-схемы от r до y. Вставьте аналитическую точку во внутреннем расположении, u.

Создайте C и G, и назовите вводы и выводы.
C = pid(2,1); C.InputName = 'e'; C.OutputName = 'u'; G = zpk([],[-1,-1],1); G.InputName = 'u'; G.OutputName = 'y';
Создайте соединение подведения итогов.
Sum = sumblk('e = r - y');Объедините CG, и соединение подведения итогов, чтобы создать совокупную модель, с анализом указывают на вас.
T = connect(G,C,Sum,'r','y','u')
T =
Generalized continuous-time state-space model with 1 outputs, 1 inputs, 3 states, and the following blocks:
AnalysisPoints_: Analysis point, 1 channels, 1 occurrences.
Type "ss(T)" to see the current value, "get(T)" to see all properties, and "T.Blocks" to interact with the blocks.
Получившийся T genss модель. connect команда создает AnalysisPoint блок, AnalysisPoints_, и вставляет его в T. Видеть, что имя анализа указывает канал в AnalysisPoints_, используйте getPoints.
getPoints(T)
ans = 1x1 cell array
{'u'}
Аналитический канал точки называют 'u'. Можно использовать эту аналитическую точку, чтобы извлечь отклики системы. Например, следующие команды извлекают передачу разомкнутого контура в вас и ответ с обратной связью в y к воздействию, введенному в вас.
L = getLoopTransfer(T,'u',-1); Tuy = getIOTransfer(T,'u','y');
T эквивалентно следующей блок-схеме, где AP_u определяет AnalysisPoint блок AnalysisPoints_ с названием канала u.

Создайте совокупную модель следующей блок-схемы от r к y использование основанного на индексе соединения.

Создайте CG, и несвязанная совокупная модель blksys.
C = pid(2,1); G = zpk([],[-1,-1],1); blksys = append(C,G);
Входные параметры u(1),u(2) из blksys соответствуйте входным параметрам C и G, соответственно. Выходные параметры w(1),w(2) из blksys соответствуйте выходным параметрам C и G, соответственно.
Создайте матричный connections, который задает который выходные параметры blksys соединитесь с который входные параметры blksys.
connections = [2 1; 1 -2];
Первая строка указывает на тот w(1) подключения к u(2); другими словами, то, что выход C подключения к входу G. Вторая строка указывает на тот -w(2) подключения к u(1); другими словами, то, что отрицание выхода G подключения к входу C.
Создайте связанную совокупную модель из r к y.
T = connect(blksys,connections,1,2)
Последние два аргумента задают внешние вводы и выводы в терминах индексов blksys. Аргумент 1 указывает, что внешний вход соединяется с u(1). Последний аргумент, 2, указывает, что внешний выход соединяется от w(2).
AnalysisPoint | append | connectOptions | feedback | lft | parallel | series | sumblk