exponenta event banner

irfplot

Постройте функцию импульсной характеристики (IRF) модели в пространстве состояний

Описание

irfplot строит IRFs состояния и переменных измерения в модели в пространстве состояний. Чтобы возвратить IRFs как числовые массивы вместо этого, использовать irf. Другие инструменты модели в пространстве состояний, чтобы охарактеризовать динамику заданной системы включают:

  • Разложение отклонения ошибки прогноза (FEVD), вычисленное fevd, предоставляет информацию об относительной важности каждого воздействия состояния во влиянии на отклонение ошибки прогноза всех переменных измерения в системе.

  • Подразумеваемые моделью временные корреляции, вычисленные corr для стандартной модели в пространстве состояний измерьте ассоциацию между настоящим и прошлым состоянием или переменными измерения, как предписано формой модели.

Полностью заданная модель в пространстве состояний

пример

irfplot(Mdl) строит IRF или dynamic response, каждого состояния и переменной измерения полностью заданной модели в пространстве состояний Mdl, такой как предполагаемая модель. irfplot строит фигуру, содержащую IRFs переменных y t измерения, и строит отдельную фигуру, содержащую IRFs переменных состояния x t. Каждая фигура содержит подграфик для каждой переменной и комбинации воздействия состояния; подграфик (i, j) является IRF переменной j, следующей из модульного шока, применился к воздействию состояния i u i, t. Заголовки подграфика идентифицируют потрясенную переменную и переменную IRF.

пример

irfplot(Mdl,Name,Value) дополнительные опции использования заданы одним или несколькими аргументами пары "имя-значение". Например, 'PlotU',1:2,'PlotX',[] графики только переменная IRFs измерения, следующая из шоков, применилась к первым и вторым переменным воздействия состояния (переменная состояния, график IRF подавлен).

Частично заданная оценка модели в пространстве состояний и доверительного интервала

пример

irfplot(___,'Params',estParams) строит IRFs частично заданной модели в пространстве состояний Mdl использование любой из комбинаций входных аргументов в предыдущих синтаксисах. estParams задает оценки всех неизвестных параметров в модели.

пример

irfplot(___,'Params',estParams,'EstParamCov',EstParamCov) также графики pointwise понижаются и верхние 95% доверительных границ Монте-Карло в каждом графике. EstParamCov задает предполагаемую ковариационную матрицу оценок параметра, как возвращено estimate функция, и требуется для оценки доверительного интервала.

Настройте фигуры

пример

irfplot(ax,___) графики на объектах осей заданы ax вместо последних данных. Опция ax может предшествовать любой из комбинаций входных аргументов в предыдущих синтаксисах.

пример

h = irfplot(ax,___) также возвращается, массив графика обрабатывает h. Используйте h изменить свойства графиков после того, как вы создаете их.

Примеры

свернуть все

Явным образом создайте модель в пространстве состояний

xt=0.5xt-1+0.2utyt=2xt+0.01εt.

A = 0.5;
B = 0.2;
C = 2;
D = 0.01;
Mdl = ssm(A,B,C,D)
Mdl = 
State-space model type: ssm

State vector length: 1
Observation vector length: 1
State disturbance vector length: 1
Observation innovation vector length: 1
Sample size supported by model: Unlimited

State variables: x1, x2,...
State disturbances: u1, u2,...
Observation series: y1, y2,...
Observation innovations: e1, e2,...

State equation:
x1(t) = (0.50)x1(t-1) + (0.20)u1(t)

Observation equation:
y1(t) = (2)x1(t) + (0.01)e1(t)

Initial state distribution:

Initial state means
 x1 
  0 

Initial state covariance matrix
     x1   
 x1  0.05 

State types
     x1     
 Stationary 

Mdl ssm объект модели. Поскольку все параметры знали значения, объект полностью задан.

Постройте IRFs измерения и переменных состояния.

irfplot(Mdl);

Figure contains an axes. The axes with title U1 -> Y1 contains 3 objects of type line.

Figure contains an axes. The axes with title U1 -> X1 contains 3 objects of type line.

График назвал U1->, Y1 является IRF yt, и график назвал U1->, X1 является IRF xt. Оба IRFs указывают, что эффекты шока в системе уменьшаются приблизительно после 8 периодов.

Постройте IRFs с 10 периодами только переменных измерения в системе.

Явным образом создайте многомерную рассеянную модель в пространстве состояний

x1,t=x1,t-1+0.2u1,tx2,t=x1,t-1+0.3x2,t-1+u2,ty1,t=x1,t+ε1,ty2,t=x1,t+x2,t+ε2,t.

A = [1 0; 1 0.3];
B = [0.2 0; 0 1];
C = [1 0; 1 1];
D = eye(2);
Mdl = dssm(A,B,C,D)
Mdl = 
State-space model type: dssm

State vector length: 2
Observation vector length: 2
State disturbance vector length: 2
Observation innovation vector length: 2
Sample size supported by model: Unlimited

State variables: x1, x2,...
State disturbances: u1, u2,...
Observation series: y1, y2,...
Observation innovations: e1, e2,...

State equations:
x1(t) = x1(t-1) + (0.20)u1(t)
x2(t) = x1(t-1) + (0.30)x2(t-1) + u2(t)

Observation equations:
y1(t) = x1(t) + e1(t)
y2(t) = x1(t) + x2(t) + e2(t)

Initial state distribution:

Initial state means
 x1  x2 
  0   0 

Initial state covariance matrix
     x1   x2  
 x1  Inf  0   
 x2  0    Inf 

State types
    x1       x2   
 Diffuse  Diffuse 

Mdl полностью заданный ssm объект модели.

Постройте два IRFs с 10 периодами y2,t, и подавите переменную состояния IRFs.

irfplot(Mdl,'NumPeriods',10,'PlotY',2,'PlotX',[]);

Figure contains 2 axes. Axes 1 with title U1 -> Y2 contains 3 objects of type line. Axes 2 with title U2 -> Y2 contains 3 objects of type line.

Главный подграфик является IRF y2,t следуя из шока для u1,t, который является персистентным, потому что шок проникает в случайное состояние обхода x1,t.

Нижний подграфик является IRF y2,t следуя из шока для u2,t, который является переходным и в конечном счете уменьшается, когда время протекает потому что состояние x2,t предоставляет авторегрессивное поведение.

Симулируйте данные из известной модели, соответствуйте данным к модели в пространстве состояний, и затем графику совокупный IRFs предполагаемой модели к заданным осям.

Примите, что генерирующийся процесс данных (DGP) является моделью AR (1)

xt=1+0.75xt-2+ut,

где ut серия независимых и тождественно распределенных переменных Gaussian со средним значением 0 и отклонением 1.

Симулируйте 500 наблюдений из модели.

rng(1); % For reproducibility
DGP = arima('Constant',1,'AR',{0 0.75},'Variance',1);
y = simulate(DGP,500);

Явным образом создайте шаблон модели в пространстве состояний для оценки, которая представляет модель

xt=c+ϕxt-2+ηutyt=xt.

A = [0 NaN NaN; 0 1 0; 1 0 0];
B = [NaN; 0; 0];
C = [1 0 0];
D = 0;
Mdl = ssm(A,B,C,D,'StateType',[0 1 0]);

Соответствуйте шаблону модели к данным. Задайте набор положительных, случайных стандартных Гауссовых начальных значений для этих трех параметров модели.

EstMdl = estimate(Mdl,y,abs(randn(3,1)));
Method: Maximum likelihood (fminunc)
Sample size: 500
Logarithmic  likelihood:     -892.214
Akaike   info criterion:      1790.43
Bayesian info criterion:      1803.07
      |     Coeff      Std Err   t Stat     Prob  
--------------------------------------------------
 c(1) | 0.41320       0.12199    3.38730  0.00071 
 c(2) | 0.67319       0.02749   24.48749   0      
 c(3) | 1.11450       0.03623   30.76557   0      
      |                                           
      |  Final State   Std Dev    t Stat    Prob  
 x(1) | 3.69929        0          Inf      0      
 x(2) |  1             0          Inf      0      
 x(3) | 1.43378        0          Inf      0      

EstMdl полностью заданный dssm объект модели.

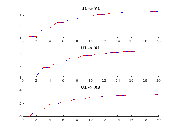
Постройте совокупный IRFs первых и третьих переменных состояния и переменную измерения в EstMdl. Возвратите график в той же фигуре на трех отдельных подграфиках.

ax = gobjects(3,1);
for j = 1:numel(ax)
    ax(j) = subplot(3,1,j);
end
irfplot(ax,EstMdl,'Cumulative',true,'PlotX',[1 3]);

Figure contains 3 axes. Axes 1 with title U1 -> Y1 contains 3 objects of type line. Axes 2 with title U1 -> X1 contains 3 objects of type line. Axes 3 with title U1 -> X3 contains 3 objects of type line.

Поскольку yt=xt, лучшие два IRFs на рисунке эквивалентны. Поскольку x1,t-1=x3,t, IRF в подграфике в нижней части фигуры смещен налево относительно других двух графиков.

Симулируйте данные из изменяющейся во времени модели в пространстве состояний, подберите модель к данным, затем постройте изменяющийся во времени IRF предполагаемой модели.

Считайте DGP представленным этой системой

xt={0.75xt-1+ut;t<11-0.1xt-1+3ut;t11yt=1.5xt+2εt.

Функциональный timeVariantAR1ParamMap.m, сохраненный в mlr/examples/econ/main, задает структуру модели. mlr значение matlabroot.

type timeVariantAR1ParamMap.m
% Copyright 2020 The MathWorks, Inc.

function [A,B,C,D] = timeVariantAR1ParamMap(params)
% Time-varying state-space model parameter mapping function example. This
% function maps the vector params to the state-space matrices (A, B, C, and
% D). From periods 1 through 10, the state model is an AR(1)model, and from
% periods 11 through 20, the state model is possibly a different AR(1)
% model. The measurement equation is the same throughout the time span.
    A1 = {params(1)};
    A2 = {params(2)};
    varu1 = exp(params(3));  % Positive variance constraints
    varu2 = exp(params(4));
    B1 = {sqrt(varu1)}; 
    B2 = {sqrt(varu2)};
    C = params(5);
    vare1 = exp(params(6));
    D = sqrt(vare1);
    A = [repmat(A1,10,1); repmat(A2,10,1)];
    B = [repmat(B1,10,1); repmat(B2,10,1)];
end

Неявно создайте частично заданную модель в пространстве состояний, представляющую DGP. В данном примере зафиксируйте коэффициент чувствительности измерения C к 1.5.

C = 1.5;
fixCParamMap = @(x)timeVariantAR1ParamMap([x(1:4), C, x(5)]);
DGP = ssm(fixCParamMap);

Симулируйте 20 наблюдений от DGP. Поскольку DGP частично задан, передайте истинные значения параметров simulate при помощи 'Params' аргумент пары "имя-значение".

rng(10) % For reproducibility
A1 = 0.75;
A2 = -0.1; 
B1 = 1;
B2 = 3;
D = 2;
trueParams = [A1 A2 2*log(B1) 2*log(B2) 2*log(D)]; % Transform variances for parameter map
y = simulate(DGP,20,'Params',trueParams);

y 20 1 вектор из симулированных измерений yt от DGP.

Поскольку DGP частично заданный, неявный объект модели, его параметры неизвестны. Поэтому это может служить шаблоном модели для оценки.

Подбирайте модель к симулированным данным. Задайте случайные стандартные Гауссовы ничьи для начальных значений параметров. Возвратите оценки параметра.

[~,estParams] = estimate(DGP,y,randn(1,5),'Display','off')
estParams = 1×5

    0.6164   -0.1665    0.0135    1.6803   -1.5855

estParams вектор 1 на 5 из оценок параметра. Список выходных аргументов функции отображения параметра определяет порядок оценок: A{1}, A{2}, B{1}, B{2}, и D.

Постройте IRF измерения и переменных состояния путем предоставления DGP (не предполагаемая модель) и предполагаемые параметры при помощи 'Params' аргумент пары "имя-значение".

h = irfplot(DGP,'Params',estParams);
xline(h(1,1).Parent,10.5,'--')

Figure contains an axes. The axes with title U1 -> Y1 contains 4 objects of type line, constantline.

xline(h(1,2).Parent,10.5,'--')

Figure contains an axes. The axes with title U1 -> X1 contains 4 objects of type line, constantline.

Рисунки показывают изменяющийся во времени IRFs измерения и переменных состояния. Первые 10 периодов соответствуют IRF первого уравнения состояния. В период 11, что остается от передач шока во второе уравнение состояния и проникает в ту систему, пока это не уменьшается.

Постройте измерение variuable IRF и 95% доверительных интервалов на истинном IRFs.

Примите, что генерирующийся процесс данных (DGP) является моделью AR (1)

xt=1+0.75xt-2+ut,

где ut серия независимых и тождественно распределенных переменных Gaussian со средним значением 0 и отклонением 1.

Симулируйте 500 наблюдений из модели.

rng(1); % For reproducibility
DGP = arima('Constant',1,'AR',{0 0.75},'Variance',1);
y = simulate(DGP,500);

Явным образом создайте рассеянный шаблон модели в пространстве состояний для оценки, которая представляет модель. Подбирайте модель к данным, и оценки возвращаемого параметра и их соответствующую предполагаемую ковариационную матрицу.

A = [0 NaN NaN; 0 1 0; 1 0 0];
B = [NaN; 0; 0];
C = [1 0 0];
D = 0;
Mdl = dssm(A,B,C,D,'StateType',[0 1 0]);
[~,estParams,EstParamCov] = estimate(Mdl,y,abs(randn(3,1)));
Method: Maximum likelihood (fminunc)
Effective Sample size:            500
Logarithmic  likelihood:     -892.214
Akaike   info criterion:      1790.43
Bayesian info criterion:      1803.07
      |     Coeff      Std Err   t Stat     Prob  
--------------------------------------------------
 c(1) | 0.41320       0.12199    3.38730  0.00071 
 c(2) | 0.67319       0.02749   24.48749   0      
 c(3) | 1.11450       0.03623   30.76557   0      
      |                                           
      |  Final State   Std Dev    t Stat    Prob  
 x(1) | 3.69929        0          Inf      0      
 x(2) |  1             0          Inf      0      
 x(3) | 1.43378        0          Inf      0      

Mdl полностью заданный, предполагаемый dssm объект модели.

Постройте IRF, с его 95% доверительных интервалов, переменной измерения.

irfplot(Mdl,'Params',estParams,'EstParamCov',EstParamCov,...
    'PlotX',[]);

Figure contains an axes. The axes with title U1 -> Y1 contains 3 objects of type line.

Синяя линия представляет предполагаемый IRF yt. Пунктирные красные линии представляют верхнее и более низкое, pointwise 95% доверительных границ на истинном IRF. Модель имеет только один термин задержки (отстаньте 2), когда шок проникает в систему, это влияет на первую переменную состояния в нечетные периоды только.

Входные параметры

свернуть все

Модель в пространстве состояний в виде ssm объект модели возвращен ssm или estimate функция или dssm объект модели возвращен dssm или estimate функция.

Если Mdl частично задан (то есть, это содержит неизвестные параметры), задайте оценки неизвестных параметров при помощи 'Params' аргумент значения имени. В противном случае, irfplot выдает ошибку.

irfplot выдает ошибку когда Mdl dimension-varying model, который является изменяющейся во времени моделью, содержащей по крайней мере одну переменную, которая изменяет размерность в период выборки (например, переменная состояния выпадает из модели).

Совет

Если Mdl полностью задан, вы не можете оценить доверительные границы. Оценить доверительные границы:

  1. Создайте частично заданный шаблон модели в пространстве состояний для оценки Mdl.

  2. Оцените модель при помощи estimate функция и данные. Возвратите предполагаемые параметры estParams и оцененная ковариационная матрица параметра EstParamCov.

  3. Передайте шаблон модели для оценки Mdl к irfplot, и задайте оценки параметра и ковариационную матрицу при помощи 'Params' и 'EstParamCov' аргументы значения имени.

  4. Для irfplot функция, возвратите соответствующие выходные аргументы в пользу более низких и верхних доверительных границ.

Оси, на которых можно построить IRFs в виде pU*(pY + pX)- 1 вектор из Axes объекты, где pU, pY, и pX продолжительности значений 'PlotU', 'PlotY', и 'PlotX' аргументы пары "имя-значение", соответственно.

irfplot графики IRFs к осям в ax в этом порядке.

  1. IRFs всех переменных PlotY(:) измерения следуя из шока для первого воздействия состояния PlotU(1).

  2. IRFs всех переменных PlotY(:) измерения следуя из шока для второго воздействия состояния PlotU(2).

  3. Продолжите процедуру так же до irfplot строит IRF, сопоставленный с последним воздействием состояния PlotU(end).

  4. Повторите шаги 1 - 3, но замените переменные измерения на переменные состояния PlotX.

По умолчанию, irfplot строит переменный измерением IRFs к осям подграфиков на новом рисунке и строит переменную состояния IRFs к осям подграфиков на другом новом рисунке.

Аргументы в виде пар имя-значение

Задайте дополнительные разделенные запятой пары Name,Value аргументы. Name имя аргумента и Value соответствующее значение. Name должен появиться в кавычках. Вы можете задать несколько аргументов в виде пар имен и значений в любом порядке, например: Name1, Value1, ..., NameN, ValueN.

Пример: 'PlotU',1:2,'PlotX',[] графики только переменный измерением IRFs, следующий из шоков, применился к первым и вторым переменным воздействия состояния (переменная состояния, график IRF подавлен).
Опции IRF

свернуть все

Количество периодов, для который irfplot вычисляет IRF в виде положительного целого числа. Периоды в IRF запускаются во время 1 и конец во время NumPeriods.

Пример: 'NumPeriods',10 задает включение 10 последовательных моментов времени в IRF, запускающемся во время 1, во время который irfplot применяет шок, и заканчивающийся во время 10.

Типы данных: double

Оценки неизвестных параметров в частично заданной модели в пространстве состояний MdlВ виде числового вектора.

Если Mdl частично задан (содержит неизвестные параметры, заданные NaNs), необходимо задать Params. estimate функция возвращает оценки параметра Mdl в соответствующей форме. Однако можно предоставить пользовательские оценки путем расположения элементов Params можно следующим образом:

  • Если Mdl явным образом созданная модель (Mdl.ParamMap isempty), расположите элементы Params соответствовать хитам постолбцового поиска NaNs в содействующих матрицах модели в пространстве состояний, векторе средних значений начального состояния и ковариационной матрице.

    • Если Mdl независимо от времени, порядком является ABCD, Mean0, и Cov0.

    • Если Mdl время, варьируясь, порядком является A{1} через A{end}, B{1} через B{end}C1 через C{end}, D{1} через D{end}, Mean0, и Cov0.

  • Если Mdl неявно созданная модель (Mdl.ParamMap указатель на функцию), первый входной параметр функции отображения параметра к матрице определяет порядок элементов Params.

Если Mdl полностью задан, irfplot игнорирует Params.

Пример: Считайте модель в пространстве состояний Mdl с A = B = [NaN 0; 0 NaN] , C = [1; 1], D = 0, и средние значения начального состояния 0 с ковариацией eye(2). Mdl частично задан и явным образом создан. Поскольку параметры модели содержат в общей сложности четыре NaNs, Params должен быть 4 1 вектор, где Params(1) оценка A(1,1), Params(2) оценка A(2,2), Params(3) оценка B(1,1), и Params(4) оценка B(2,2).

Типы данных: double

Переменные ut воздействия состояния, чтобы потрясти для IRF строят в виде разделенной запятой пары, состоящей из 'PlotU' и вектор из положительных целых чисел. Элементами являются индексы переменных u воздействия состояния 1, t, u 2, t, …, u k, t.

По умолчанию, irfplot шоки все переменные воздействия состояния.

Пример: 'PlotU',[1 3] шоки u 1,1 и u 3,1, и irfplot строит получившийся IRFs.

Типы данных: double

Переменный измерением IRFs, чтобы построить в виде разделенной запятой пары, состоящей из 'PlotY' и вектор из положительных целых чисел. Элементами являются индексы переменных y измерения 1, t, y 2, t, …, y n, t.

Если PlotY isempty, irfplot не строит переменного измерением IRFs.

По умолчанию, irfplot графики весь переменный измерением IRFs.

Пример: 'PlotY',1 строит IRF y 1, t.

Типы данных: double

Переменная состояния IRFs, чтобы построить в виде разделенной запятой пары, состоящей из 'PlotX' и вектор из положительных целых чисел. Элементами являются индексы переменных состояния x 1, t, x 2, t, …, x m, t.

Если PlotX isempty, irfplot не строит переменной состояния IRFs.

По умолчанию, irfplot графики вся переменная состояния IRFs.

Пример: 'PlotX',[] не строит переменной состояния IRFs.

Типы данных: double

Отметьте для вычисления совокупного IRF в виде значения в этой таблице.

ЗначениеОписание
trueirfplot вычисляет совокупный IRF всех переменных в области значений требуемого времени.
falseirfplot вычисляет стандарт, период периодом IRF всех переменных в области значений требуемого времени.

Пример: 'Cumulative',true

Типы данных: логический

Алгоритм оценки IRF в виде 'repeated-multiplication' или 'eigendecomposition'.

Средство оценки IRF времени m содержит факторный A m. Эта таблица описывает поддерживаемые алгоритмы, чтобы вычислить матричную степень.

ЗначениеОписание
'repeated-multiplication'irfplot использует рекурсивное умножение.
'eigendecomposition'irfplot попытки использовать спектральное разложение A, чтобы вычислить матричную степень. Задайте это значение только, когда вы подозреваете, что рекурсивный алгоритм умножения может испытать числовые проблемы. Для получения дополнительной информации см. Алгоритмы.

Типы данных: string | char

Опции оценки доверительной границы

свернуть все

Предполагаемая ковариационная матрица неизвестных параметров в частично заданной модели в пространстве состояний MdlВ виде положительной полуопределенной числовой матрицы.

estimate возвращает предполагаемую ковариационную матрицу параметра Mdl в соответствующей форме. Однако можно предоставить пользовательские оценки установки EstParamCov (iJ) к предполагаемой ковариации предполагаемых параметров Params (i) и Params (j), независимо от ли Mdl независимо от времени или время, варьируясь.

Если Mdl полностью задан, irfplot игнорирует EstParamCov.

По умолчанию, irfplot не оценивает доверительные границы.

Типы данных: double

Количество демонстрационных путей Монте-Карло (испытания), чтобы сгенерировать, чтобы оценить доверительные границы в виде положительного целого числа.

Пример: 'NumPaths',5000

Типы данных: double

Доверительный уровень для доверительных границ в виде числового скаляра в интервале [0,1].

В течение каждого периода случайным образом чертившие доверительные интервалы покрывают истинный ответ 100*Confidence% из времени.

Значением по умолчанию является 0.95, который подразумевает, что доверительные границы представляют 95% доверительных интервалов.

Типы данных: double

Выходные аргументы

свернуть все

Постройте указатели на IRFs и доверительные границы, возвращенные как 3 pU*(pY + pX) матрица Line объекты, где pU, pY, и pX продолжительности значений 'PlotU', 'PlotY', и 'PlotX' аргументы пары "имя-значение", соответственно.

Каждый столбец соответствует IRF комбинации воздействия состояния и измерения или переменной состояния. Для конкретного столбца строка 1 содержит указатель на IRF, и строки 2 и 3 содержат указатели на более низкие и верхние доверительные границы, соответственно. Столбцы отображают информацию в этом порядке:

  1. IRFs всех переменных PlotY(:) измерения следуя из шока для первого воздействия состояния PlotU(1).

  2. IRFs всех переменных PlotY(:) измерения следуя из шока для второго воздействия состояния PlotU(2).

  3. Продолжает отображение так же до irfplot достигает IRF, сопоставленного с последним воздействием состояния PlotU(end).

  4. Повторите шаги 1 - 3, но замените переменные измерения на переменные состояния PlotX.

h содержит уникальные идентификаторы графика, которые можно использовать, чтобы запросить или изменить свойства графиков.

Больше о

свернуть все

Функция импульсной характеристики

impulse response function (IRF) модели в пространстве состояний (или dynamic response of the system) измеряет одновременные и будущие изменения в состоянии и переменных измерения, когда каждая переменная воздействия состояния потрясена модульным импульсом в период 1. Другими словами, IRF во время t является производной каждого состояния и переменной измерения во время t относительно переменной воздействия состояния во время 1 для каждого t ≥ 1.

Рассмотрите независимую от времени модель в пространстве состояний

xt=Axt1+Butyt=Cxt+Dεt,

и рассмотрите непредвиденный модульный шок в период 1, применился к переменной j uj,t воздействия состояния.

r - неродной вперед ответ переменных состояния xt к шоку

ψxj(r)=Arbj,

где r> 0 и bj является столбцом j матрицы загрузки воздействия состояния B.

r - неродной вперед ответ переменных yt измерения к шоку

ψyj(r)=CArbj.

IRFs зависят от временного интервала, по которому они вычисляются. Однако IRF независимой от времени модели в пространстве состояний является time homogeneous, что означает, что IRF не зависит от времени, в которое применяется шок. Time-varying IRFs, которые являются IRFs изменяющейся во времени, но инвариантной размерностью системы, имеет форму

ψxj(r)=ArA2A1b1,jψyj(r)=CrArA2A1b1,j,

где b 1, j является столбцом j B 1, период 1 матрица загрузки воздействия состояния. Изменяющиеся во времени IRFs зависят от времени, в которое применяется шок. irfplot всегда применяет шок в период 1.

IRFs независимы от распределения начального состояния.

Алгоритмы

  • Если вы задаете 'eigendecomposition' для 'Method' аргумент пары "имя-значение", irfplot попытки к diagonalize матрица Грина A при помощи спектрального разложения. irfplot обращения к рекурсивному умножению вместо этого при по крайней мере одном из этих обстоятельств:

    • Собственное значение является комплексным.

    • Ранг матрицы собственных векторов меньше количества состояний

    • Mdl время, варьируясь.

  • Если вы не предоставляете 'EstParamCov', доверительные границы каждого перекрытия периода.

  • irfplot симуляция Монте-Карло использования, чтобы вычислить доверительные интервалы.

    1. irfplot случайным образом чертит NumPaths варьируемые величины от асимптотического распределения выборки неизвестных параметров в Mdl, который является Np (Params, EstParamCov), где p является количеством неизвестных параметров.

    2. Для каждого случайным образом чертившего набора параметров j, irfplot:

      1. Создает модель в пространстве состояний, которая равна Mdl, но замены в наборе параметров j

      2. Вычисляет случайный IRF получившейся модели ψ j (t), где t = 1 через NumPaths

    3. В течение каждого раза t нижняя граница доверительного интервала (1 – c)/2 квантиль симулированного IRF в период t ψ (t), где c = Confidence. Точно так же верхняя граница доверительного интервала во время t (1 – c)/2 верхний квантиль ψ (t).

Смотрите также

Объекты

Функции

Введенный в R2020b