exponenta event banner

perturb

Примените возмущения к отслеживанию сценария

Синтаксис

Описание

пример

offsets = perturb(scene) тревожит базовый сценарий отслеживания, scene, согласно возмущениям, заданным на объектах (таких как траектории, датчики и платформы) в scene и возвращает значения смещения. Используйте perturbations функционируйте к возмущениям свойства define на каждом объекте.

Примеры

свернуть все

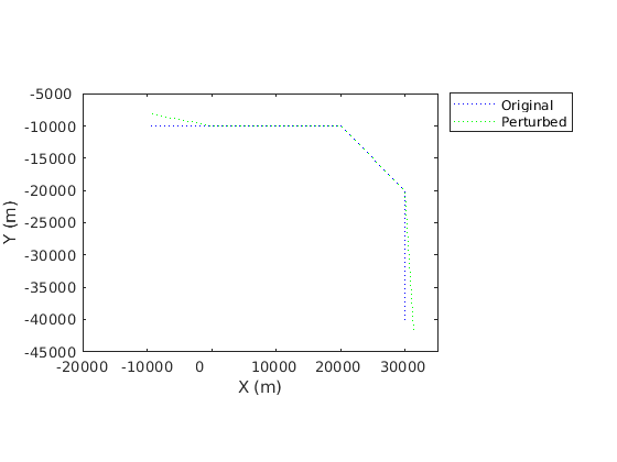
Создайте сценарий отслеживания и добавьте платформу.

scenario = trackingScenario;
p = platform(scenario); 

Добавьте траекторию в платформу.

p.Trajectory = waypointTrajectory('Waypoints',...
    [30 -40 -3; 30 -20 -3; 20 -10 -3; 0 -10 -3; -10 -10 -3]*1e3, ...
    'TimeOfArrival', [0; 100; 150; 350; 450], ... 
    'Course', [90;90;180;180;180]); 

Постройте траекторию.

tp = theaterPlot("XLimits",[-20 35]*1e3,"YLimits",[-45 -5]*1e3);
trajPlotter1 = trajectoryPlotter(tp,'DisplayName','Original','Color','b');
plotTrajectory(trajPlotter1,{p.Trajectory.Waypoints});

Задайте возмущения для waypoints. Следующее задает возмущения на первом и последнем waypoints как равномерные распределения.

perturbations(p.Trajectory, "Waypoints", "Uniform",...
    [-2000 -2000 0; 0 0 0; 0 0 0; 0 0 0; -2000 -2000 0],...
    [+2000 +2000 0; 0 0 0; 0 0 0; 0 0 0; +2000 +2000 0]);

Встревожьте сценарий и наблюдайте измененный waypoints платформы.

perturb(scenario);
trajPlotter2 = trajectoryPlotter(tp,'DisplayName','Perturbed','Color','g');
plotTrajectory(trajPlotter2,{p.Trajectory.Waypoints})

Figure contains an axes. The axes contains 2 objects of type line. These objects represent Original, Perturbed.

Входные параметры

свернуть все

Отслеживание сценария в виде trackingScenario объект.

Выходные аргументы

свернуть все

Смещения свойства, возвращенные как массив структур. Каждая структура содержит эти поля:

Имя поляОписание
PlatformIDID платформы
PeturbedObjectВстревоженный объект смонтирован на платформе
PropertyИмя встревоженного свойства
OffsetВозместите значения, примененные на возмущении
PerturbedValueЗначения свойств после возмущения

Смотрите также

Введенный в R2020b