exponenta event banner

pcg

Решите систему линейных уравнений — предобусловленный метод сопряженных градиентов

Описание

пример

x = pcg(A,b) попытки решить систему линейных уравнений A*x = b для x использование Предобусловленного Метода сопряженных градиентов. Когда попытка успешна, pcg отображает сообщение, чтобы подтвердить сходимость. Если pcg сбои, чтобы сходиться после максимального количества итераций или остановов по любой причине, это отображает диагностическое сообщение, которое включает относительный остаточный norm(b-A*x)/norm(b) и номер итерации, в который остановленный метод.

пример

x = pcg(A,b,tol) задает допуск к методу. Допуском по умолчанию является 1e-6.

пример

x = pcg(A,b,tol,maxit) задает максимальное количество итераций, чтобы использовать. pcg отображает диагностическое сообщение, если ему не удается сходиться в maxit итерации.

пример

x = pcg(A,b,tol,maxit,M) задает матрицу перед формирователем M и вычисляет x путем эффективного решения системы H1AHTy=H1b для y, где y=HTx и H=M1/2=(M1M2)1/2. Алгоритм не формирует H явным образом. Используя предварительный формирователь матрица может улучшить числовые свойства проблемы и КПД вычисления.

пример

x = pcg(A,b,tol,maxit,M1,M2) задает факторы матрицы перед формирователем M таким образом, что M = M1*M2.

пример

x = pcg(A,b,tol,maxit,M1,M2,x0) задает исходное предположение для вектора решения x. Значением по умолчанию является нулевой вектор.

пример

[x,flag] = pcg(___) возвращает флаг, который задает, сходился ли алгоритм успешно. Когда flag = 0, сходимость была успешна. Можно использовать этот выходной синтаксис с любой из предыдущих комбинаций входных аргументов. Когда вы задаете flag вывод , pcg не отображает диагностических сообщений.

пример

[x,flag,relres] = pcg(___) также возвращает относительный остаточный norm(b-A*x)/norm(b). Если flag 0, затем relres <= tol.

пример

[x,flag,relres,iter] = pcg(___) также возвращает номер итерации iter в котором x был вычислен.

пример

[x,flag,relres,iter,resvec] = pcg(___) также возвращает вектор из нормы невязки в каждой итерации, включая первый остаточный norm(b-A*x0).

Примеры

свернуть все

Решите квадратную линейную систему с помощью pcg с настройками по умолчанию, и затем настраивают допуск и количество итераций, используемых в процессе решения.

Создайте случайную симметричную разреженную матрицу A. Также создайте векторный b из сумм строки A для правой стороны Ax=b так, чтобы истинное решение x вектор из единиц.

rng default
A = sprand(400,400,.5);
A = A'*A;
b = sum(A,2);

Решить Ax=b использование pcg. Выходное отображение включает значение относительной остаточной ошибки b-Axb.

x = pcg(A,b);
pcg stopped at iteration 20 without converging to the desired tolerance 1e-06
because the maximum number of iterations was reached.
The iterate returned (number 20) has relative residual 3.6e-06.

pcg по умолчанию использование 20 итераций и допуск 1e-6, и алгоритм не может сходиться в тех 20 итерациях для этой матрицы. Однако невязка близко к допуску, таким образом, для алгоритма, вероятно, только нужно больше итераций, чтобы сходиться.

Решите систему снова с помощью допуска 1e-7 и 150 итераций.

x = pcg(A,b,1e-7,150);
pcg converged at iteration 130 to a solution with relative residual 9.9e-08.

Исследуйте эффект использования матрицы перед формирователем с pcg решить линейную систему.

Создайте симметричную положительную определенную, полосную матрицу коэффициентов.

A = delsq(numgrid('S',102));

Задайте b для правой стороны линейного уравнения Ax=b.

b = ones(size(A,1),1);

Установите погрешность и максимальное количество итераций.

tol = 1e-8;
maxit = 100;

Используйте pcg найти решение в требуемом допуске и количестве итераций. Задайте пять выходных параметров, чтобы возвратить информацию о процессе решения:

  • x вычисленное решение A*x = b.

  • fl0 флаг, указывающий, сходился ли алгоритм.

  • rr0 относительная невязка вычисленного ответа x.

  • it0 номер итерации когда x был вычислен.

  • rv0 вектор из остаточной истории для b-Ax.

[x,fl0,rr0,it0,rv0] = pcg(A,b,tol,maxit);
fl0
fl0 = 1
rr0
rr0 = 0.0131
it0
it0 = 100

fl0 1 потому что pcg не сходится к требуемому допуску 1e-8 в требуемых 100 итерациях.

Чтобы помочь с медленной сходимостью, можно задать матрицу перед формирователем. Начиная с A симметрично, используйте ichol сгенерировать предварительный формирователь M=LLT. Решите предобусловленную систему путем определения L и L' как вводит к pcg.

L = ichol(A);
[x1,fl1,rr1,it1,rv1] = pcg(A,b,tol,maxit,L,L');
fl1
fl1 = 0
rr1
rr1 = 8.0992e-09
it1
it1 = 79

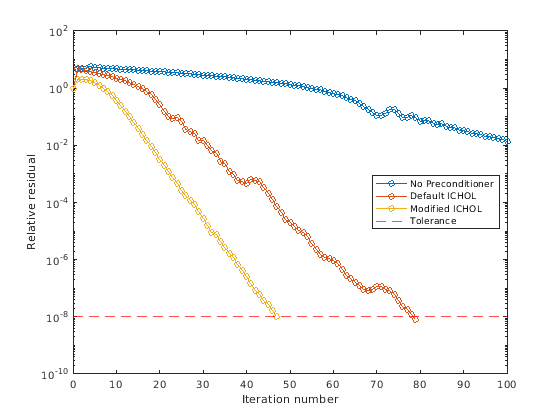
Использование ichol предварительный формирователь производит относительную невязку меньше, чем предписанный допуск 1e-8 в 79-й итерации. Выход rv1(1) norm(b) и rv1(end) norm(b-A*x1).

Теперь используйте michol опция, чтобы создать модифицированный неполный предварительный формирователь Холесского.

L = ichol(A,struct('michol','on'));
[x2,fl2,rr2,it2,rv2] = pcg(A,b,tol,maxit,L,L');
fl2
fl2 = 0
rr2
rr2 = 9.9605e-09
it2
it2 = 47

Этот предварительный формирователь лучше, чем тот, произведенный неполной факторизацией Холесского с нулевой заливкой для матрицы коэффициентов в этом примере, таким образом, pcg может сходиться еще более быстрый.

Вы видите, как предварительные формирователи влияют на уровень сходимости pcg путем графического вывода каждой из остаточных историй, начинающих с первоначальной оценки (выполняют итерации номера 0). Добавьте линию для заданного допуска.

semilogy(0:length(rv0)-1,rv0/norm(b),'-o')
hold on
semilogy(0:length(rv1)-1,rv1/norm(b),'-o')
semilogy(0:length(rv2)-1,rv2/norm(b),'-o')
yline(tol,'r--');
legend('No Preconditioner','Default ICHOL','Modified ICHOL','Tolerance','Location','East')
xlabel('Iteration number')
ylabel('Relative residual')

Figure contains an axes. The axes contains 4 objects of type line, constantline. These objects represent No Preconditioner, Default ICHOL, Modified ICHOL, Tolerance.

Исследуйте эффект предоставления pcg с исходным предположением решения.

Создайте трехдиагональную разреженную матрицу. Используйте сумму каждой строки как вектор для правой стороны Ax=b так, чтобы ожидаемое решение для x вектор из единиц.

n = 900;
e = ones(n,1);
A = spdiags([e 2*e e],-1:1,n,n);
b = sum(A,2);

Используйте pcg решить Ax=b дважды: одно время с исходным предположением по умолчанию, и одно время с хорошим исходным предположением решения. Используйте 200 итераций и допуск по умолчанию к обоим решениям. Задайте исходное предположение во втором решении как вектор со всеми элементами, равными 0.99.

maxit = 200;
x1 = pcg(A,b,[],maxit);
pcg converged at iteration 35 to a solution with relative residual 9.5e-07.
x0 = 0.99*e;
x2 = pcg(A,b,[],maxit,[],[],x0);
pcg converged at iteration 7 to a solution with relative residual 8.7e-07.

В этом случае, предоставляющем исходное предположение, включает pcg сходиться более быстро.

Возвращение промежуточных результатов

Также можно использовать исходное предположение, чтобы получить промежуточные результаты путем вызова pcg в цикле for. Каждый вызов решателя выполняет несколько итераций и хранит расчетное решение. Затем вы используете то решение в качестве начального вектора для следующего пакета итераций.

Например, этот код выполняет 100 итераций четыре раза и хранит вектор решения после каждой передачи в цикле for:

x0 = zeros(size(A,2),1);
tol = 1e-8;
maxit = 100;
for k = 1:4
    [x,flag,relres] = pcg(A,b,tol,maxit,[],[],x0);
    X(:,k) = x;
    R(k) = relres;
    x0 = x;
end

X(:,k) вектор решения, вычисленный в итерации k из цикла for и R(k) относительная невязка того решения.

Решите линейную систему путем обеспечения pcg с указателем на функцию, который вычисляет A*x вместо матрицы коэффициентов A.

Используйте gallery сгенерировать 20 20 положительную определенную трехдиагональную матрицу. Супер - и поддиагонали имеют единицы, в то время как основные диагональные элементы рассчитывают по сравнению с от 20 до 1. Предварительно просмотрите матрицу.

n = 20;
A = gallery('tridiag',ones(n-1,1),n:-1:1,ones(n-1,1));
full(A)
ans = 20×20

    20     1     0     0     0     0     0     0     0     0     0     0     0     0     0     0     0     0     0     0
     1    19     1     0     0     0     0     0     0     0     0     0     0     0     0     0     0     0     0     0
     0     1    18     1     0     0     0     0     0     0     0     0     0     0     0     0     0     0     0     0
     0     0     1    17     1     0     0     0     0     0     0     0     0     0     0     0     0     0     0     0
     0     0     0     1    16     1     0     0     0     0     0     0     0     0     0     0     0     0     0     0
     0     0     0     0     1    15     1     0     0     0     0     0     0     0     0     0     0     0     0     0
     0     0     0     0     0     1    14     1     0     0     0     0     0     0     0     0     0     0     0     0
     0     0     0     0     0     0     1    13     1     0     0     0     0     0     0     0     0     0     0     0
     0     0     0     0     0     0     0     1    12     1     0     0     0     0     0     0     0     0     0     0
     0     0     0     0     0     0     0     0     1    11     1     0     0     0     0     0     0     0     0     0
      ⋮

Поскольку эта трехдиагональная матрица имеет специальную структуру, можно представлять операцию A*x с указателем на функцию. Когда A умножает вектор, большинством элементов в итоговом векторе являются нули. Ненулевые элементы в результате соответствуют ненулевым трехдиагональным элементам A. Кроме того, только основная диагональ имеет ненули, которые не равны 1.

Выражение Ax становится:

[2010001191000118100117100116100115100114100113000100011][x1x2x3x4x5x20]=[20x1+x2x1+19x2+x3x2+18x3+x4x18+2x19+x20x19+x20].

Итоговый вектор может быть записан как сумма трех векторов:

[20x1+x2x1+19x2+x3x2+18x3+x4x18+2x19+x20x19+x20]=[0x1x19]+[20x119x2x20]+[x2x200].

В MATLAB® запишите функцию, которая создает эти векторы и добавляет их вместе, таким образом давая значение A*x:

function y = afun(x)
y = [0; x(1:19)] + ...
    [(20:-1:1)'].*x + ...
    [x(2:20); 0];
end

(Эта функция сохранена как локальная функция в конце примера.)

Теперь решите линейную систему Ax=b путем обеспечения pcg с указателем на функцию, который вычисляет A*x. Используйте допуск 1e-12 и 50 итераций.

b = ones(20,1);
tol = 1e-12;  
maxit = 50;
x1 = pcg(@afun,b,tol,maxit)
pcg converged at iteration 20 to a solution with relative residual 4.4e-16.
x1 = 20×1

    0.0476
    0.0475
    0.0500
    0.0526
    0.0555
    0.0588
    0.0625
    0.0666
    0.0714
    0.0769
      ⋮

Проверяйте тот afun(x1) дает вектор из единиц.

afun(x1)
ans = 20×1

    1.0000
    1.0000
    1.0000
    1.0000
    1.0000
    1.0000
    1.0000
    1.0000
    1.0000
    1.0000
      ⋮

Локальные функции

function y = afun(x)
y = [0; x(1:19)] + ...
    [(20:-1:1)'].*x + ...
    [x(2:20); 0];
end

Входные параметры

свернуть все

Матрица коэффициентов в виде симметричной положительной определенной матрицы или указателя на функцию. Эта матрица является матрицей коэффициентов в линейной системе A*x = b. Обычно A большая разреженная матрица или указатель на функцию, который возвращает продукт большой разреженной матрицы и вектор-столбца. Смотрите Определяют, Является ли Матрица Симметричной Положительный Определенный для получения информации о том, как подтвердить тот A симметричен положительный определенный.

Определение A как указатель на функцию

Можно опционально задать матрицу коэффициентов как указатель на функцию вместо матрицы. Указатель на функцию возвращает матричные векторные произведения вместо того, чтобы формировать целую матрицу коэффициентов, делая вычисление более эффективным.

Чтобы использовать указатель на функцию, используйте функциональную подпись function y = afun(x). Параметризация Функций объясняет, как предоставить дополнительные параметры функции afun, при необходимости. Вызов функции afun(x) должен возвратить значение A*x.

Типы данных: double | function_handle
Поддержка комплексного числа: Да

Правая сторона линейного уравнения в виде вектор-столбца. Длина b должно быть равно size(A,1).

Типы данных: double
Поддержка комплексного числа: Да

Допуск метода в виде положительной скалярной величины. Используйте этот вход для точности компромисса и времени выполнения в вычислении. pcg должен соответствовать допуску в количестве позволенных итераций, чтобы быть успешным. Меньшее значение tol означает, что ответ должен быть более точным для вычисления, чтобы быть успешным.

Типы данных: double

Максимальное количество итераций в виде положительного скалярного целого числа. Увеличьте значение maxit позволить больше итераций для pcg соответствовать допуску tol. Обычно меньшее значение tol средние значения больше итераций требуются, чтобы успешно завершать вычисление.

Матрицы перед формирователем в виде отдельных аргументов матриц или указателей на функцию. Можно задать матрицу перед формирователем M или его матричные факторы M = M1*M2 улучшить числовые аспекты линейной системы и облегчить для pcg сходиться быстро. Можно использовать неполные матричные функции факторизации ilu и ichol сгенерировать матрицы перед формирователем. Также можно использовать equilibrate до факторизации, чтобы улучшить число обусловленности матрицы коэффициентов. Для получения дополнительной информации о предварительных формирователях смотрите Итерационные методы для Линейных систем.

pcg обрабатывает незаданные предварительные формирователи как единичные матрицы.

Определение M как указатель на функцию

Можно опционально задать любой M, M1, или M2 как указатели на функцию вместо матриц. Указатель на функцию выполняет матрично-векторные операции вместо того, чтобы формировать целую матрицу перед формирователем, делая вычисление более эффективным.

Чтобы использовать указатель на функцию, используйте функциональную подпись function y = mfun(x). Параметризация Функций объясняет, как предоставить дополнительные параметры функции mfun, при необходимости. Вызов функции mfun(x) должен возвратить значение M\x или M2\(M1\x).

Типы данных: double | function_handle
Поддержка комплексного числа: Да

Исходное предположение в виде вектор-столбца с длиной равняется size(A,2). Если можно обеспечить pcg с более разумным исходным предположением x0 чем нулевой вектор по умолчанию затем это может сохранить время вычисления и помочь алгоритму сходиться быстрее.

Типы данных: double
Поддержка комплексного числа: Да

Выходные аргументы

свернуть все

Решение для линейной системы, возвращенное как вектор-столбец. Этот выход дает приближенное решение линейной системы A*x = b. Если вычисление успешно (flag = 0), затем relres меньше чем или равно tol.

Каждый раз, когда вычисление не успешно (flag ~= 0), решение x возвращенный pcg тот с минимальной нормой невязки, вычисленной по всем итерациям.

Флаг Convergence, возвращенный как одно из скалярных значений в этой таблице. Флаг сходимости указывает, было ли вычисление успешно и дифференцируется между несколькими различными формами отказа.

Флаговое значение

Сходимость

0

Успех — pcg сходившийся к желаемому допуску tol в maxit итерации.

1

Отказ — pcg выполненный с помощью итераций maxit итерации, но не сходились.

2

Отказ — матрица перед формирователем M или M = M1*M2 isIllConditioned.

3

Отказ — pcg застоявшийся после того, как две последовательных итерации были тем же самым.

4

Отказ — Один из скаляров, вычисленных pcg алгоритм стал слишком маленьким или слишком большим, чтобы продолжить вычислять.

Относительная остаточная ошибка, возвращенная как скаляр. Относительная остаточная ошибка relres = norm(b-A*x)/norm(b) индикация относительно того, насколько точный ответ. Если вычисление сходится к допуску tol в maxit итерации, затем relres <= tol.

Типы данных: double

Номер итерации, возвращенный как скаляр. Этот выход указывает на номер итерации в который вычисленный ответ для x был вычислен.

Типы данных: double

Остаточная ошибка, возвращенная как вектор. Остаточная ошибка norm(b-A*x) показывает, как близко алгоритм к схождению для данного значения x. Число элементов в resvec равно количеству итераций. Можно исследовать содержимое resvec помочь решить, изменить ли значения tol или maxit.

Типы данных: double

Больше о

свернуть все

Предобусловленный метод сопряженных градиентов

Предобусловленный метод сопряженных градиентов (PCG) был разработан, чтобы использовать структуру симметричных положительных определенных матриц. Несколько других алгоритмов могут работать с симметричными положительными определенными матрицами, но PCG является самым быстрым и самым надежным при решении тех типов систем [1].

Советы

  • Сходимость большинства итерационных методов зависит от числа обусловленности матрицы коэффициентов, cond(A). Можно использовать equilibrate улучшить число обусловленности A, и самостоятельно это облегчает для большинства итеративных решателей сходиться. Однако использование equilibrate также приводит к лучшим качественным матрицам перед формирователем, когда вы впоследствии учитываете уравновешенный матричный B = R*P*A*C.

  • Можно использовать матричные функции переупорядочения такой как dissect и symrcm переставить строки и столбцы матрицы коэффициентов и минимизировать количество ненулей, когда матрица коэффициентов учтена, чтобы сгенерировать предварительный формирователь. Это может уменьшать память и время, требуемое впоследствии решить предобусловленную линейную систему.

Ссылки

[1] Барретт, R., М. Берри, Т. Ф. Чан, и др., Шаблоны для Решения Линейных систем: Базовые блоки для Итерационных методов, SIAM, Филадельфия, 1994.

Расширенные возможности

Представлено до R2006a