Полунормальное распределение является особым случаем свернутых нормальных и усеченных нормальных распределений. Некоторые приложения полунормального распределения включают данные об измерении моделирования и пожизненные данные.
Полунормальное распределение использует следующие параметры:
| Параметр | Описание |
|---|---|
| Параметр положения | |
| Масштабный коэффициент |
Поддержкой полунормального распределения является x ≥ μ.
Использование makedist с заданными значениями параметров, чтобы создать объект HalfNormalDistribution полунормального распределения вероятностейИспользование fitdist чтобы соответствовать полунормальному распределению вероятностей возражают против выборочных данных. Использование mle оценить значения параметров полунормального распределения от выборочных данных, не создавая объект вероятностного распределения. Для получения дополнительной информации о работе с вероятностными распределениями, смотрите Работу с Вероятностными распределениями.
Реализация Statistics and Machine Learning Toolbox™ полунормального распределения принимает фиксированное значение для параметра положения μ. Поэтому ни один fitdist ни mle оценивает значение параметра μ при подборе кривой полунормальному распределению к выборочным данным. Можно задать значение для параметра μ при помощи аргумента пары "имя-значение" 'mu'. Значение по умолчанию для 'mu' аргумент 0 в обоих fitdist и mle.
Функция плотности вероятности (PDF) полунормального распределения
где μ является параметром положения, и σ является масштабным коэффициентом. Если x ≤ μ, то PDF не определена.
Чтобы вычислить PDF полунормального распределения, создайте HalfNormalDistribution использование объекта вероятностного распределения fitdist или makedist, затем используйте pdf метод, чтобы работать с объектом.
В этом примере показано, как изменение значений mu и sigma параметры изменяют форму PDF.
Создайте четыре объекта вероятностного распределения различными параметрами.
pd1 = makedist('HalfNormal'); pd2 = makedist('HalfNormal','mu',0,'sigma',2); pd3 = makedist('HalfNormal','mu',0,'sigma',3); pd4 = makedist('HalfNormal','mu',0,'sigma',5);
Вычислите функции плотности вероятности (pdfs) каждого распределения.
x = 0:0.1:10; pdf1 = pdf(pd1,x); pdf2 = pdf(pd2,x); pdf3 = pdf(pd3,x); pdf4 = pdf(pd4,x);
Постройте pdfs на той же фигуре.
figure; plot(x,pdf1,'r','LineWidth',2) hold on; plot(x,pdf2,'k:','LineWidth',2); plot(x,pdf3,'b-.','LineWidth',2); plot(x,pdf4,'g--','LineWidth',2); legend({'mu = 0, sigma = 1','mu = 0, sigma = 2',... 'mu = 0, sigma = 3','mu = 0, sigma = 5'},'Location','NE'); hold off;

Как sigma увеличения, кривая сглаживается, и пиковое значение становится меньшим.
Кумулятивная функция распределения (cdf) полунормального распределения
где μ является параметром положения, σ является масштабным коэффициентом, erf (•) функция ошибок и Φ (•) cdf стандартного нормального распределения. Если x ≤ μ, то cdf не определен.
Чтобы вычислить cdf полунормального распределения, создайте HalfNormalDistribution использование объекта вероятностного распределения fitdist или makedist, затем используйте cdf метод, чтобы работать с объектом.
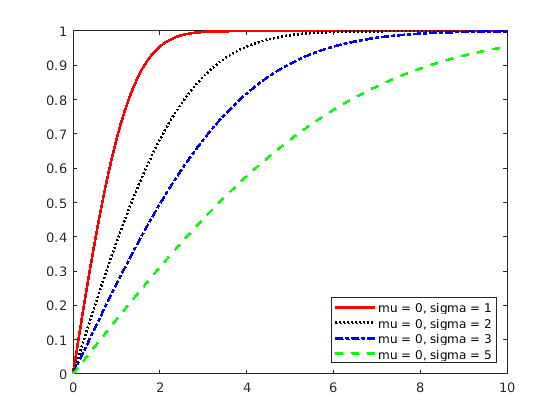
В этом примере показано, как изменение значений mu и sigma параметры изменяют форму cdf.
Создайте четыре объекта вероятностного распределения различными параметрами.
pd1 = makedist('HalfNormal'); pd2 = makedist('HalfNormal','mu',0,'sigma',2); pd3 = makedist('HalfNormal','mu',0,'sigma',3); pd4 = makedist('HalfNormal','mu',0,'sigma',5);
Вычислите кумулятивные функции распределения (cdfs) для каждого вероятностного распределения.
x = 0:0.1:10; cdf1 = cdf(pd1,x); cdf2 = cdf(pd2,x); cdf3 = cdf(pd3,x); cdf4 = cdf(pd4,x);
Постройте все четыре cdfs на той же фигуре.
figure; plot(x,cdf1,'r','LineWidth',2) hold on; plot(x,cdf2,'k:','LineWidth',2); plot(x,cdf3,'b-.','LineWidth',2); plot(x,cdf4,'g--','LineWidth',2); legend({'mu = 0, sigma = 1','mu = 0, sigma = 2',... 'mu = 0, sigma = 3','mu = 0, sigma = 5'},'Location','SE'); hold off;

Как sigma увеличения, кривая cdf сглаживается.
Среднее значение полунормального распределения
где μ является параметром положения, и σ является масштабным коэффициентом.
Отклонение полунормального распределения
где σ является масштабным коэффициентом.
Если случайная переменная Z имеет стандартное нормальное распределение со средним μ равное нулю и стандартное отклонение σ, равный одному, затем имеет полунормальное распределение параметрами μ и σ.
[1] Cooray, K. и M.M.A. Полное блаженство. “Обобщение Полунормального распределения с Приложениями к Пожизненным Данным”. Коммуникации в Статистике – Теория и Методы. Издание 37, Номер 9, 2008, стр 1323–1337.
[2] Пеуси, A. “Вывод большой выборки для Общего Полунормального распределения”. Коммуникации в Статистике – Теория и Методы. Издание 31, Номер 7, 2002, стр 1045–1054.