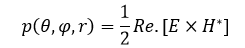
Средняя по времени плотность мощности, излучаемая антенной, составляет: 
где, r = радиус сферы,
λ, λ = сферические углы координат,
E, H = напряженность электрического и магнитного полей соответственно.
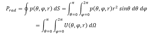
Общая мощность, излучаемая антенной, составляет:

где, U = интенсивность излучения (W/единичный сплошной угол),
dΛ = элемент сплошного угла.
Эффективность излучения определяется как: 
где, Pin = общая входная мощность.