Модель кольцевого генератора ГУН
Блок смешанного сигнала/PLL/компоновочные блоки

Блок ГУН кольцевого генератора моделирует выходной сигнал, управление частотой, дрожание периода и шум мерцания ГУН (генератора, управляемого напряжением), такой как схема кольцевого генератора, управляемого смещением. Этот блок генерирует фазовый шум, используя математическое описание фазового шума кольцевых генераторов. Это позволяет быстрее вычислять результаты моделирования как при запуске, так и при последующем моделировании. Можно также управлять профилем фазового шума, выбирая уровень гауссова шума, частоту угла и степень мерцания. Спектр фазового шума ограничен спектрами, которые могут быть получены с помощью физической модели кольцевого генератора.
Можно выбрать коэффициенты для математического описания фазового шума. Можно указать спектральную плотность фазового шума из таблицы данных и сравнить ее со спектральной плотностью фазового шума, создаваемой математическими коэффициентами. Затем можно скорректировать коэффициенты в соответствии с заданным фазовым шумом таким образом, чтобы это имело наибольший физический смысл.
Примечание
Если частота угла шума мерцания установлена равной нулю, то блок ГУН кольцевого генератора может также использоваться для моделирования ГУН, настроенного на резервуар.
vctrl - Напряжение, используемое для управления выходной частотой ГУНУправляющее напряжение ГУН, используемое для управления выходной частотой кольцевого генератора ГУН. В системе фазовой автоподстройки частоты (ФАПЧ) vctrl является выходом фильтра петли, который содержит информацию об ошибке фазы.
Типы данных: double
vco out - Выходной сигнал, определяемый vctrl портВыходной сигнал кольцевого генератора ГУН. В системе ФАПЧ vco out является выходным тактовым сигналом, генерируемым ФАПЧ. Он также подается обратно в блок PFD через делитель тактового сигнала для завершения контура управления.
Типы данных: double
Specify using - Определение способа указания выходной частоты ГУНVoltage sensitivity (по умолчанию) | Output frequency vs. control voltageОпределите, как задана выходная частота ГУН:
Выбрать Voltage sensitivity для задания выходной частоты из параметров Чувствительность напряжения (Гц/В) и Частота свободного хода (Гц).
Выбрать Output frequency vs. control voltage для интерполяции выходной частоты из вектора управляющего напряжения (V) в сравнении с вектором выходной частоты (Гц).
Параметр блока:
SpecifyUsing |
| Текст: символьный вектор |
Значения:
Voltage sensitivity | Output frequency vs. control voltage |
По умолчанию:
Voltage sensitivity |
Voltage sensitivity (Hz/V) - Измерение изменения выходной частоты ГУН100e6 (по умолчанию) | положительный вещественный скалярМера изменения выходной частоты для изменения входного напряжения, заданная как положительный действительный скаляр с единицами в Гц/В. Этот параметр также сообщается как чувствительность к напряжению ГУН на вкладке Loop Filter (Фильтр контура) и используется для автоматического вычисления значений компонентов фильтра контура.
Чтобы включить этот параметр, на вкладке Параметры (Parameters) задайте для параметра Указать использование (Specify using) значение Voltage sensitivity.
Параметр блока:
Kvco |
| Текст: символьный вектор |
| Значения: положительный действительный скаляр |
По умолчанию:
100e6 |
Типы данных: double
Free running frequency (Hz) - выходная частота ГУН без управляющего напряжения2.5e9 (по умолчанию) | положительный вещественный скалярЧастота ГУН без ввода управляющего напряжения (0 V) или частота покоя, заданная как положительный действительный скаляр в герцах.
Чтобы включить этот параметр, на вкладке Параметры (Parameters) задайте для параметра Указать использование (Specify using) значение Voltage sensitivity.
Параметр блока:
Fo |
| Текст: символьный вектор |
| Значения: положительный действительный скаляр |
По умолчанию:
2.5e9 |
Типы данных: double
Control voltage (V) - Значения управляющего напряжения[-5 0 5] (по умолчанию) | вектор вещественных значенийУправляющие значения напряжения ГУН, определяемые как действительный вектор в вольтах.
Чтобы включить этот параметр, на вкладке Параметры (Parameters) задайте для параметра Указать использование (Specify using) значение Output frequency vs. control voltage.
Параметр блока:
ControlVoltage |
| Текст: символьный вектор |
| Значения: действительный вектор |
По умолчанию:
[-5 0 5] |
Типы данных: double
Output frequency (Hz) - значения выходной частоты ГУН[2e9 2.5e9 3e9] (по умолчанию) | положительный вектор вещественных значенийВыходная частота ГУН, соответствующая вектору управляющего напряжения (V), заданному в герцах.
Чтобы включить этот параметр, на вкладке Параметры (Parameters) задайте для параметра Указать использование (Specify using) значение Output frequency vs. control voltage.
Параметр блока:
OutputFrequency |
| Текст: символьный вектор |
| Значения: положительный действительный вектор |
По умолчанию:
[2e9 2.5e9 3e9] |
Типы данных: double
Output amplitude (V) - Максимальная амплитуда выходного напряжения ГУН1 (по умолчанию) | положительный вещественный скалярМаксимальная амплитуда выходного напряжения ГУН, заданная как положительный действительный скаляр.
Параметр блока:
Amplitude |
| Текст: символьный вектор |
| Значения: положительный действительный скаляр |
По умолчанию:
1 |
Типы данных: double
Enable increased buffer size - Включить увеличенный размер буфераВыберите, чтобы включить увеличенный размер буфера во время моделирования. Это увеличивает размер буфера блока переменной задержки импульса внутри блока ГУН кольцевого генератора. По умолчанию этот параметр не выбран.
Buffer size - Количество образцов входной буферизации, доступных во время моделирования10 (по умолчанию) | целочисленный скалярЧисло выборок входной буферизации, доступных во время моделирования, указанных как положительный целочисленный скаляр. Это устанавливает размер буфера блока переменной задержки импульса внутри блока ГУН кольцевого генератора.
Выбор другого решателя моделирования или стратегий выборки может изменить количество входных выборок, необходимых для получения точной выходной выборки. Установите размер буфера достаточно большим, чтобы входной буфер содержал все требуемые входные выборки.
Чтобы включить этот параметр, выберите Включить увеличенный размер буфера.
Параметр блока:
NBuffer |
| Текст: символьный вектор |
| Значения: целочисленный скаляр |
По умолчанию:
10 |
Типы данных: double
Add phase noise - Добавление фазового шума как функции частотыИспользуется для введения фазового шума в ГУН в качестве функции частоты. По умолчанию этот параметр выбран.
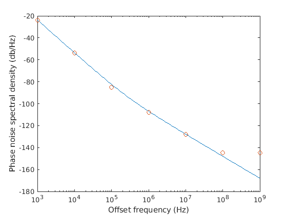
Phase noise frequency offset (Hz) - Частотные смещения заданного фазового шума от несущей частоты[30e3 100e3 1e6 3e6 10e6] (по умолчанию) | положительный вектор вещественных значенийЧастотные смещения заданного фазового шума от несущей частоты, заданного как вектор с положительным действительным значением в герцах.
Чтобы включить этот параметр, выберите Добавить фазовый шум на вкладке Ухудшение.
Параметр блока:
Foffset |
| Текст: символьный вектор |
| Значения: положительный действительный вектор |
По умолчанию:
[30e3 100e3 1e6 3e6 10e6] |
Типы данных: double
Phase noise level (dBc/Hz) - Заданная мощность фазового шума при сдвигах частоты фазового шума относительно несущей[-56 -106 -132 -143 -152] (по умолчанию) | отрицательный вектор вещественных значенийЗаданная мощность фазового шума в полосе частот 1 Гц, центрированной на частотах фазового шума, смещается относительно несущей, определяемой как вектор с отрицательным действительным значением в дБк/Гц. Элементы уровня фазового шума соответствуют относительным элементам в параметре сдвига частоты фазового шума (Гц).
Чтобы включить этот параметр, выберите Добавить фазовый шум на вкладке Ухудшение.
Параметр блока:
PhaseNoise |
| Текст: символьный вектор |
| Значения: вектор с отрицательным действительным значением |
По умолчанию:
[-56 -106 -132 -143 -152] |
Типы данных: double
Estimate phase noise parameters - Установить параметры шума, соответствующие заданному спектру шумаНажмите, чтобы задать параметры шума для начальной оценки, предназначенной для соответствия заданному спектру шума.
Period jitter (S) - Стандартное отклонение дрожания периода1.7e-15 (по умолчанию) | положительный вещественный скалярСтандартное отклонение дрожания периода, определяемое как положительный действительный скаляр в секундах. Дрожание периода - это отклонение времени цикла тактового сигнала относительно идеального периода.
Параметр блока:
PeriodJitter |
| Текст: символьный вектор |
| Значения: положительный действительный скаляр |
По умолчанию:
1.7e-15 |
Flicker corner frequency (Hz) - Угловая частота мерцающего шума5e5 (по умолчанию) | скалярУгловая частота шума мерцания, заданная как скаляр в герцах. Частота угла мерцания (Гц) определяется как частота, при которой фазовый шум переходит от 1/f2 к 1/f3 из-за шума мерцания. На этой частоте спектральные плотности дрожания периода и шума мерцания равны.
Параметр блока:
CornerFrequency |
| Текст: символьный вектор |
| Значения: скаляр |
По умолчанию:
5e5 |
Customize flicker exponent (Advanced feature) - Настройка спектрального распределения мощности фликерного шумаВыберите этот параметр для настройки спектрального распределения мощности мерцающего шума. Традиционно шум мерцания определяется как шум 1/f, но он может изменяться как 1/fV, где 0,8 < V < 1,5.
Flicker exponent - Показатель мощности шума мерцания1.0 (по умолчанию) | 0.8 | 0.9 | 1.1 | 1.2 | 1.3 | 1.4 | 1.5Показатель мощности шума мерцания, указанный между 0.8 кому 1.5.
Параметр блока:
FlickerExponent |
| Текст: символьный вектор |
Значения:
1.0 | 0.8 | 0.9 | 1.1 | 1.2 | 1.3 | 1.4 | 1.5 |
По умолчанию:
1.0 |
Plot fit - График заданной и ожидаемой плотности выходного фазового шумаЩелкните, чтобы построить график заданной плотности фазового шума и ожидаемой плотности выходного фазового шума.
Блок ГУН кольцевого осциллятора генерирует фазовый шум с помощью источника гауссова шума и фильтра фликера.

Когда разрешен фазовый шум, фазовый шум вычисляется из дисперсии стохастического процесса сдвига периода из спектральной плотности на одной частоте. Учитывая частоту f0 колебаний, частоту f смещения и спектральную плотность ℒ (f) одной боковой полосы, дисперсия сдвига периода равна:
f2f03
Таким образом, за исключением шума мерцания, необходим сдвиг периода, полученный из некоррелированного случайного процесса с постоянной дисперсией. Это смещение периода генерируется источником гауссова шума блока.
Для моделирования шума мерцания фильтр мерцания вводит дополнительный коэффициент усиления на низких частотах, вплоть до четырех порядков величины ниже частоты угла мерцания. Чтобы увеличить спектральную плотность энергии с 1/f2 до 1/f3, фильтр фликера должен ввести усиление напряжения 1/√f ниже угловой частоты при сохранении единичного усиления выше угловой частоты. Для достижения этого мерцающий фильтр является рекурсивным цифровым фильтром с чередующейся последовательностью из четырёх полюсов и четырёх нулей. Нуль наименьшей частоты является постоянным коэффициентом, превышающим самый низкий частотный полюс, следующий более высокий частотный полюс является таким же постоянным фактором, превышающим самый низкий частотный нуль, и эта картина чередующихся полюсов и нулей сохраняется в оставшейся части последовательности. Коэффициент константы является функцией показателя фильтра мерцания, с коэффициентом квадратного корня из десяти для номинального случая 1/f шума мерцания.
Чтобы минимизировать численный шум в фильтре фликера, частота дискретизации источника гауссова шума и фильтра фликера ограничена 20-кратной самой высокой частотой смещения спецификации фазового шума, если эта частота дискретизации не сравнима с частотой колебаний или больше, чем в два раза. Для частот шумового смещения с более высокой фазой частота дискретизации ограничена удвоенной частотой колебаний.
Дисперсию гауссова источника шума регулируют для компенсации разности в частоте дискретизации между источником шума и частотой колебаний генератора.
Когда фазовый шум отключен, дисперсия гауссова шума устанавливается равной нулю.
Определенные спектры фазового шума часто включают артефакты измерения, которые не должны быть включены в модель самого ГУН. В то время как значения параметров, создаваемые кнопкой Оценить параметры фазового шума, часто приближаются к созданию соответствующей физической модели, будут случаи, которые требуют вашей оценки. Две общие проблемы - уровень шума и пропускная способность разрешения.
Иногда измеренный фазовый шум, по-видимому, соответствует физической модели до частот, для которых фазовый шум может быть ниже нижнего уровня шума измерения.

Представляется, что для набора данных спецификации имеется уровень шума измерения -140 дБк/Гц, и фазовый шум для тестируемого устройства, вероятно, ниже уровня шума для частот смещения выше 100 МГц. В этом случае набор значений параметров, которые наилучшим образом соответствуют данным при более низких частотных смещениях, вероятно, создаст более точную модель.
Иногда измеренный фазовый шум, по-видимому, соответствует физической модели на всех уровнях, кроме самого низкого сдвига частоты.

Наиболее вероятной причиной такого результата является то, что разрешающая полоса, используемая для выполнения измерения, была слишком большой для получения точного измерения при самом низком сдвиге частоты, в данном случае 30 кГц. Даже если носитель находился вне полосы пропускания измерительного фильтра, энергия носителя, прошедшая через ограниченную полосу останова измерительного фильтра, была намного больше, чем энергия в полосе пропускания. В этом случае набор значений параметров, которые наилучшим образом соответствуют данным при более высоких частотных смещениях, вероятно, создаст более точную модель.
Фильтр контуров | PFD | VCO | VCO Testbench
1. Если смысл перевода понятен, то лучше оставьте как есть и не придирайтесь к словам, синонимам и тому подобному. О вкусах не спорим.
2. Не дополняйте перевод комментариями “от себя”. В исправлении не должно появляться дополнительных смыслов и комментариев, отсутствующих в оригинале. Такие правки не получится интегрировать в алгоритме автоматического перевода.
3. Сохраняйте структуру оригинального текста - например, не разбивайте одно предложение на два.
4. Не имеет смысла однотипное исправление перевода какого-то термина во всех предложениях. Исправляйте только в одном месте. Когда Вашу правку одобрят, это исправление будет алгоритмически распространено и на другие части документации.
5. По иным вопросам, например если надо исправить заблокированное для перевода слово, обратитесь к редакторам через форму технической поддержки.