Применение или удаление гамма-коррекции из изображений или видеопотоков
Преобразования
visionconversions

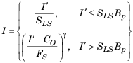
Используйте блок Гамма-коррекции для применения или удаления гамма-коррекции из изображения или видеопотока. Для входных сигналов, нормализованных между 0 и 1, блок выполняет гамма-коррекцию, как определено следующими уравнениями. Для целых чисел и типов данных с фиксированной точкой эти уравнения обобщаются путем применения значений масштабирования и смещения, специфичных для типа данных:

![]()
![]()

SLS - наклон сегмента прямой линии. BP - точка разрыва сегмента прямой линии, соответствующая параметру «Точка разрыва». FS - коэффициент согласования наклона, который соответствует наклону линейного сегмента к наклону сегмента функции мощности. CO - смещение сегмента, обеспечивающее соединение линейного сегмента и сегментов функции мощности. Некоторые из этих параметров проиллюстрированы на следующей диаграмме.

Для нормализованных входных сигналов блок удаляет гамма-коррекцию, которая линеаризует входной видеопоток, как определено следующим уравнением:

Типичные значения гамма-излучения находятся в диапазоне от 1 до 3. Гамма-значения большинства мониторов находятся в диапазоне от 1,8 до 2,2. Проконсультируйтесь с производителем оборудования, чтобы получить точное значение гамма-излучения. Параметры гамма-функции для некоторых общих стандартов показаны в следующей таблице:
Стандарт | Наклон | Точка разрыва | Гамма |
|---|---|---|---|
CIE L * | 9.033 | 0.008856 | 3 |
Рекомендация ITU-R BT.709-3, значения параметров для стандартов HDTV для производства и международного обмена программами | 4.5 | 0.018 | |
sRGB | 12.92 | 0.00304 | 2.4 |
Примечание
Этот блок поддерживает изображения интенсивности и цвета на своих портах.
Свойства портов ввода и вывода суммированы в следующей таблице:
| Порт | Ввод/вывод | Поддерживаемые типы данных | Поддерживаемые комплексные значения |
|---|---|---|---|
Я | Матрица M-за-N значений интенсивности или цветной видеосигнал M-за-N-за-P, где P - количество цветовых плоскостей |
| Нет |
Я' | Матрица M-за-N значений интенсивности или цветной видеосигнал M-за-N-за-P, где P - количество цветовых плоскостей | То же, что и порт I | Нет |
Используйте параметр Operation, чтобы указать операцию блока. Если требуется выполнить гамма-коррекцию, выберите Gamma. Для линеаризации входного сигнала выберите De-gamma.
Если для параметра Operation выбран параметр Gammaиспользуйте параметр Гамма для ввода требуемого значения гамма выходного видеопотока. Это значение должно быть больше или равно 1. Если для параметра Operation выбран параметр De-gammaиспользуйте параметр Гамма для ввода значения гамма входного видеопотока.
Установите флажок Линейный сегмент (Linear segment), если требуется, чтобы гамма-кривая имела линейную часть рядом с черной. Если этот флажок установлен, в диалоговом окне появится параметр Точка разрыва. Введите скалярное значение, указывающее значение I-оси конца линейного сегмента. Точка разрыва показана на первой схеме этой страницы ссылок на блок.
Укажите операцию блока. Ваш выбор - Gamma или De-gamma.
Если для параметра Operation выбран параметр Gammaвведите требуемое значение гамма выходного видеопотока. Это значение должно быть больше или равно 1. Если для параметра Operation выбран параметр De-gammaвведите значение гамма входного видеопотока.
Установите этот флажок, если требуется, чтобы гамма-кривая имела линейную часть рядом с началом координат.
Введите скалярное значение, указывающее значение I-оси конца линейного сегмента. Этот параметр отображается, если установлен флажок Линейный сегмент (Linear segment).
[1] Пойнтон, Чарльз. Алгоритмы и интерфейсы цифрового видео и HDTV. Сан-Франциско, Калифорния: Morgan Kaufman Publishers, 2003.
Программное обеспечение Computer Vision Toolbox™ | |
Программное обеспечение Toolbox™ обработки изображений |