exponenta event banner

Эрозия в градациях серого

Морфологическая эрозия пиксельных данных в градациях серого

  • Библиотека:
  • Панель инструментов Vision HDL/морфологические операции

  • Grayscale Erosion block

Описание

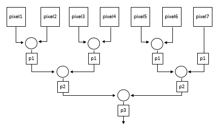
Блок эрозии в градациях серого выполняет морфологическую эрозию потока значений интенсивности пикселей. Можно указать элемент окрестности или структурирования размером до 32 на 32 пиксела. Для элементов структуры линии, квадрата или прямоугольника шириной более 8 пикселей блок использует алгоритм Ван Герка для поиска минимального значения пикселя. Этот алгоритм использует только три компаратора, чтобы найти минимальные значения пикселей всех строк, затем использует дерево сравнения, чтобы найти минимальное значение пикселей результатов строк.

Для структурирования элементов шириной менее 8 пикселей или содержащих нулевые элементы блок реализует конвейерное дерево сравнения для каждой строки окрестности. Дополнительное дерево сравнения находит минимальное значение пикселя результатов строки. Если элемент структурирования содержит нули, которые маскируют пиксели, алгоритм экономит аппаратные ресурсы, не реализуя компараторы для этих местоположений пикселей.

Порты

Этот блок использует потоковый пиксельный интерфейс с pixelcontrol шина для сигналов управления кадрами. Этот интерфейс позволяет блоку работать независимо от размера и формата изображения. Все блоки Vision HDL Toolbox™ используют один и тот же потоковый интерфейс. Блок принимает и возвращает значение скалярного пикселя и шину, которая содержит пять управляющих сигналов. Сигналы управления указывают достоверность каждого пикселя и его местоположение в кадре. Чтобы преобразовать кадр (матрицу пикселей) в последовательный поток пикселей и управляющие сигналы, используйте блок «От кадра к пикселям». Полное описание интерфейса см. в разделе Потоковый пиксельный интерфейс.

Вход

развернуть все

Один пиксель изображения в потоке пикселей, заданный как скаляр, представляющий интенсивность в градациях серого.

double и single типы данных поддерживаются для моделирования, но не для генерации кода HDL.

Типы данных: uint8 | uint16 | uint32 | int8 | int16 | int32 | fixed point | Boolean | double | single

pixelcontrol шина содержит пять сигналов. Сигналы описывают достоверность пикселя и его местоположение в кадре. Дополнительные сведения см. в разделе Шина управления пикселами.

Типы данных: bus

Продукция

развернуть все

Один выходной пиксель, преобразованный морфологической операцией, возвращаемый как скалярное значение.

Тип данных этого выходного пикселя совпадает с типом данных входного пикселя.

Типы данных: single | double | uint8 | uint16 | uint32 | Boolean | fixdt(0,N,M)

pixelcontrol шина содержит пять сигналов. Сигналы описывают достоверность пикселя и его местоположение в кадре. Дополнительные сведения см. в разделе Шина управления пикселами.

Типы данных: bus

Параметры

развернуть все

Окрестность пикселя, заданная как вектор или матрица двоичных значений.

Блок поддерживает плоские окрестности размером до 32 на 32 пиксела. Чтобы использовать элемент структурирования, укажите соседство как getnhood (Image Processing Toolbox)(strel (Image Processing Toolbox)(shape)). Минимальный размер окрестности - это матрица 2 на 2 или вектор столбца 2 на 1. Если окрестность является вектором строки, она должна иметь ширину не менее 8 столбцов и не содержать нулей.

Укажите степень два, которая соответствует количеству активных пикселов в одной горизонтальной строке.

Если указано значение, которое не является степенью два, блок использует следующую наибольшую степень два. Блок распределяет (строки соседства - 1) по строкам размер буфера для хранения пикселов.

Совет

  • При использовании блока с буфером внутренней линии внутри включенной подсистемы (Simulink) шаблон разрешенного сигнала должен поддерживать синхронизацию потока пикселей, включая минимальные интервалы гашения. Если шаблон включения искажает синхронизацию потока пикселей, могут появиться частичные выходные кадры, поврежденные сигналы управления потоком пикселей или несоответствия между результатами моделирования Simulink ® и HDL. Возможно, потребуется увеличить интервалы гашения, чтобы выдержать циклы при низком значении параметра enable. Дополнительные сведения см. в разделе Настройка интервалов гашения.

Алгоритмы

развернуть все

Блок вставляет изображение вместе с изображениями для операции эрозии. Дополнительные сведения см. в разделе Заполнение кромки.

Расширенные возможности

.

См. также

| | | (панель инструментов компьютерного зрения)

Темы

Представлен в R2016a