Тулбокс предоставляет односрочную и двухсрочную модель серии степеней, как задано
Модели серии Power описывают различные данные. Например, скорость, с которой реагенты расходуются в химической реакции, обычно пропорциональна концентрации реагента, повышенной до некоторой степени.
Откройте приложение Аппроксимирование Кривыми, введя cftool. Также щелкните Аппроксимированием кривыми на вкладке Приложений.
В приложении Аппроксимирование Кривыми выберите данные кривой (X data и Y data, или просто Y data с индексом).
Приложение Аппроксимирование Кривыми создает подгонку кривой по умолчанию, Polynomial.
Измените тип модели из Polynomial на Power.

Можно задать следующие опции:
Выберите количество терминов: 1 на 2.
Смотрите на панели Results, чтобы увидеть условия модели, значения коэффициентов и статистику качества подгонки.
(Необязательно) Щелкните Fit Options, чтобы задать начальные значения коэффициентов и ограничения или изменить настройки алгоритма.
Тулбокс вычисляет оптимизированные стартовые точки для моделей степени ряда на основе текущего набора данных. Можно переопределить начальные точки и задать свои собственные значения в диалоговом окне Опции подгонки (Fit Options).
Для получения дополнительной информации о настройках см. Раздел «Задание опций подгонки» и «Оптимизированные начальные точки».
В этом примере показано, как использовать fit функция для подгонки моделей серий степени к данным.
Модель библиотеки серии степени является входным параметром к fit и fittype функций. Задайте тип модели 'power1' или 'power2' .
Подбор однопозиционной модели серии Power
load hahn1; f = fit(temp,thermex,'power1')
f =
General model Power1:
f(x) = a*x^b
Coefficients (with 95% confidence bounds):
a = 1.46 (1.224, 1.695)
b = 0.4094 (0.3825, 0.4363)
plot(f,temp,thermex)

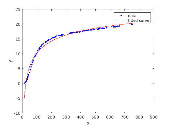
Подбор двухфазной модели серии Power
f = fit(temp,thermex,'power2')f =
General model Power2:
f(x) = a*x^b+c
Coefficients (with 95% confidence bounds):
a = -78.61 (-80.74, -76.48)
b = -0.2349 (-0.271, -0.1989)
c = 36.9 (33.09, 40.71)
plot(f,temp,thermex)

fit | fitoptions | fittype