Двухлучевой канал распространения
The twoRayChannel моделирует узкополосный двухлучевой канал распространения. Двухлучевой канал распространения является самым простым типом многолучевого канала. Можно использовать двухлучевой канал, чтобы симулировать распространение сигналов в однородной, изотропной среде с одной отражающим контуром. Этот тип среды имеет два пути распространения: путь распространения линии визирования (прямого) от одной точки к другой и путь луча, отраженный от контура. Вы можете использовать эту object™ System для приложений радиолокации и мобильной связи малой дальности, где сигналы распространяются по прямым путям, а Земля принята плоской. Можно также использовать этот объект для гидроакустических и микрофонных приложений. Для акустических приложений можно выбрать поля, которые не поляризованы и настроить скорость распространения, чтобы быть скоростью звука в воздухе или воде. Можно использовать twoRayChannel для моделирования распространения из нескольких точек одновременно.
В то время как системный объект работает для всех частот, модели ослабления для атмосферных газов и дождя действительны только для электромагнитных сигналов в частотной области значений 1-1000 ГГц. Модель ослабления для тумана и облака действительна для 10-1000 ГГц. Вне этих областей значений частот системный объект использует самое близкое допустимое значение.
The twoRayChannel Системный объект применяет зависящие от области значений задержки времени к сигналам, а также усиления или потери, сдвиги фазы и краевые потери отражения. Системный объект применяет допплеровский сдвиг при перемещении источника или назначения.
Сигналы на выходе канала могут храниться отдельно или быть объединены - управляются CombinedRaysOutput свойство. В отдельной опции оба поля поступают в пункт назначения отдельно и не объединяются. Для комбинированной опции два сигнала в источнике распространяются отдельно, но когерентно суммируются в пункте назначения в одну величину. Эта опция удобна, когда различие между усилениями датчика или массива в направлениях двух путей не значительна и не должна учитываться.
В отличие от phased.FreeSpace Системный объект, twoRayChannel Системный объект не поддерживает двухстороннее распространение.
Чтобы вычислить задержку распространения для заданных точек источника и приемника:
Определите и настройте свой двухлучевой канал с помощью следующей процедуры Конструкции.
Вызовите step метод вычисления распространенного сигнала с использованием свойств twoRayChannel Системный объект.
Поведение step характерен для каждого объекта в тулбоксе.
Примечание
Начиная с R2016b, вместо использования step метод для выполнения операции, заданной системным объектом, можно вызвать объект с аргументами, как если бы это была функция. Для примера, y = step(obj,x) и y = obj(x) выполнять эквивалентные операции.
s2Ray = twoRayChannel создает двухлучевой канал распространения Системного объекта, s2Ray.
s2Ray = twoRayChannel( создает Системный объект, Name,Value)s2Ray, с каждым заданным свойством Name установить на заданную Value. Можно задать дополнительные аргументы в виде пар имен и значений в любом порядке как (Name1,Value1..., NameN,ValueN).
PropagationSpeed - Скорость распространения сигналаphysconst('LightSpeed') (по умолчанию) | положительная скалярная величинаСкорость распространения сигнала, заданная как положительная скалярная величина. Модули указаны в метрах в секунду. Скорость распространения по умолчанию является значением, возвращаемым physconst('LightSpeed'). Посмотрите physconst для получения дополнительной информации.
Пример: 3e8
Типы данных: double
OperatingFrequency - Рабочая частота300e6 (по умолчанию) | положительная скалярная величинаРабочая частота, заданная как положительная скалярная величина. Модули указаны в Гц.
Пример: 1e9
Типы данных: double
SpecifyAtmosphere - Включите модель атмосферного ослабленияfalse (по умолчанию) | trueОпция для включения атмосферной модели ослабления, заданная как false или true. Установите это свойство на true добавить ослабление сигнала, вызванное атмосферными газами, дождем, туманом или облаками. Установите это свойство на false игнорировать атмосферные эффекты при распространении.
Настройка SpecifyAtmosphere на true, включает Temperature, DryAirPressure, WaterVapourDensity, LiquidWaterDensity, и RainRate свойства.
Типы данных: logical
Temperature - Температура окружающей среды15 (по умолчанию) | скаляр с реальным значениемТемпература окружающей среды, заданная как действительный скаляр. Модули указаны в степенях Цельсия.
Пример: 20.0
Чтобы включить это свойство, задайте SpecifyAtmosphere на true.
Типы данных: double
DryAirPressure - Атмосферное давление сухого воздуха101.325e3 (по умолчанию) | положительный скаляр с реальным значениемАтмосферное давление сухого воздуха, заданное как положительный реальный скаляр. Модули указаны в паскалях (Pa). Значение по умолчанию этого свойства соответствует одной стандартной атмосфере.
Пример: 101.0e3
Чтобы включить это свойство, задайте SpecifyAtmosphere на true.
Типы данных: double
WaterVapourDensity - Плотность паров воды в атмосфере7.5 (по умолчанию) | положительный скаляр с реальным значениемПлотность атмосферного водяного пара, заданная как положительный реальный скаляр. Модули измерения указаны в г/м3.
Пример: 7.4
Чтобы включить это свойство, задайте SpecifyAtmosphere на true.
Типы данных: double
LiquidWaterDensity - Плотность жидкой воды0.0 (по умолчанию) | неотрицательный скаляр с реальным значениемПлотность жидкой воды тумана или облака, заданная в виде неотрицательного действительного скаляра. Модули измерения указаны в г/м3. Типичные значения плотности жидкой воды: 0,05 для среднего тумана и 0,5 для густого тумана.
Пример: 0.1
Чтобы включить это свойство, задайте SpecifyAtmosphere на true.
Типы данных: double
RainRate - Норма осадков0.0 (по умолчанию) | неотрицательной скаляромНорма осадков, заданная как неотрицательный скаляр. Модули указаны в мм/ч.
Пример: 10.0
Чтобы включить это свойство, задайте SpecifyAtmosphere на true.
Типы данных: double
SampleRate - Частота дискретизации сигнала1e6 (по умолчанию) | положительная скалярная величинаЧастота дискретизации сигнала, заданная как положительная скалярная величина. Модули указаны в Гц. Системный объект использует это количество, чтобы вычислить задержку распространения в единицах измерения выборки.
Пример: 1e6
Типы данных: double
EnablePolarization - Включите поляризованные поляfalse (по умолчанию) | trueОпция включения поляризованных полей, заданная как false или true. Установите это свойство на true для обеспечения поляризации. Установите это свойство на false чтобы игнорировать поляризацию.
Типы данных: logical
GroundReflectionCoefficient - Коэффициент отражения земли-1 (по умолчанию) | скалярный скаляр | комплексным вектором 1-байт- N строкиКоэффициент отражения земли для поля в точке отражения, заданный как комплексный скаляр или комплексный вектор-строка 1- N. Каждый коэффициент имеет абсолютное значение, меньше чем или равное единице. Величина N является количеством двухлучевых каналов. Модули безразмерны. Используйте это свойство для модели неполяризованных сигналов. Чтобы смоделировать поляризованные сигналы, используйте GroundRelativePermittivity свойство.
Пример: -0.5
Чтобы включить это свойство, задайте EnablePolarization на false.
Типы данных: double
Поддержка комплексного числа: Да
GroundRelativePermittivity - Относительная диэлектрическая проницаемость грунта15 (по умолчанию) | положительный скаляр с реальным значением | вектор положительных значений 1- N строки с реальным значениемОтносительная диэлектрическая проницаемость земли в точке отражения, заданная как положительный действительный скаляр или 1-байтовый N действительный вектор-строка положительных значений. Размерная N является количеством двухлучевых каналов. Модули диэлектрической проницаемости безразмерны. Относительная диэлектрическая проницаемость определяется как отношение фактической диэлектрической проницаемости грунта к диэлектрической проницаемости свободного пространства. Это свойство применяется, когда вы устанавливаете EnablePolarization свойство к true. Используйте это свойство для модели поляризованных сигналов. Чтобы смоделировать неполяризованные сигналы, используйте GroundReflectionCoefficient свойство.
Пример: 5
Чтобы включить это свойство, задайте EnablePolarization на true.
Типы данных: double
CombinedRaysOutput - Опция объединения двух лучей на выходеtrue (по умолчанию) | falseОпция для объединения двух лучей на выходе канала, заданная как true или false. Когда это свойство trueобъект когерентно складывает сигнал распространения линии визирования и отраженный сигнал пути при формировании сигнала выхода. Используйте этот режим, когда вам не нужно включать в симуляцию направленный коэффициент усиления антенны или массива.
Типы данных: logical
MaximumDistanceSource - Источник максимального одностороннего расстояния распространения'Auto' (по умолчанию) | 'Property'Источник максимального одностороннего расстояния распространения, заданный как 'Auto' или 'Property'. Максимальное одностороннее расстояние распространения используется, чтобы выделить достаточное количество памяти для расчета задержки сигнала. Когда вы устанавливаете это свойство на 'Auto'Системный объект автоматически выделяет память. Когда вы устанавливаете это свойство на 'Property', вы задаете максимальное одностороннее расстояние распространения, используя значение MaximumDistance свойство.
Типы данных: char
MaximumDistance - Максимальное одностороннее расстояние распространения10000 (по умолчанию) | положительный скаляр с реальным значениемМаксимальное одностороннее расстояние распространения, заданное как положительный действительный скаляр. Модули измерения указаны в метрах. Любой сигнал, который распространяется больше, чем максимальное одностороннее расстояние, игнорируется. Максимальное расстояние должно быть больше или равно наибольшему расстоянию между положениями.
Пример: 5000
Чтобы включить это свойство, установите MaximumDistanceSource свойство к 'Property'.
Типы данных: double
MaximumNumInputSamplesSource - Источник максимального количества выборок'Auto' (по умолчанию) | 'Property'Источник максимального количества выборок входного сигнала, заданный как 'Auto' или 'Property'. Когда вы устанавливаете это свойство на 'Auto'модель распространения автоматически выделяет достаточно памяти, чтобы буферизировать входной сигнал. Когда вы устанавливаете это свойство на 'Property', вы задаете максимальное количество выборок во входном сигнале используя MaximumNumInputSamples свойство. Любой входной сигнал, длиннее этого значения, усечен.
Чтобы использовать этот объект с сигналами переменного размера в MATLAB® Функциональный блок в Simulink®, установите MaximumNumInputSamplesSource свойство к 'Property' и установите значение для MaximumNumInputSamples свойство.
Пример: 'Property'
Чтобы включить это свойство, задайте MaximumDistanceSource на 'Property'.
Типы данных: char
MaximumNumInputSamples - Максимальное количество выборок входного сигнала100 (по умолчанию) | положительное целое числоМаксимальное количество выборок входного сигнала, заданное как положительное целое число. Входной сигнал является первым аргументом step метод, после самого системного объекта. Размер входного сигнала является количеством строк в вход матрице. Любой входной сигнал, длиннее этого числа, усечен. Чтобы полностью обработать сигналы, убедитесь, что это значение свойства больше, чем любая максимальная длина входного сигнала.
Системные объекты, генерирующие форму волны, определяют максимальный размер сигнала:
Для любой формы волны, если форма волны OutputFormat для свойства задано значение 'Samples', максимальная длина сигнала является значением, заданным в NumSamples свойство.
Для импульсных сигналов, если OutputFormat установлено в 'Pulses', длина сигнала является продуктом наименьшей частоты повторения импульса, количества импульсов и частоты дискретизации.
Для непрерывных форм волны, если OutputFormat установлено в 'Sweeps', длина сигнала является продуктом времени свипа, количества свипов и частоты дискретизации.
Пример: 2048
Чтобы включить это свойство, задайте MaximumNumInputSamplesSource на 'Property'.
Типы данных: double
| сброс | Сброс состояний системного объекта |
| шаг | Распространите сигнал от точки к точке с помощью модели двухлучевого канала |
| Общий для всех системных объектов | |
|---|---|
release | Разрешить изменение значения свойства системного объекта |
Этот пример иллюстрирует распространение сигнала с двумя лучами, показывая, как сигналы из линии видимости и отраженного пути поступают в приемник в разное время.
Создайте и постройте график распространения сигнала
Создайте неполяризованное электромагнитное поле, состоящее из двух прямоугольных импульсов формы волны на несущей частоте 100 МГц. Предположим, что ширина импульса составляет 10 мс, а частота дискретизации - 1 МГц. Шумовая полоса импульса составляет 0,1 МГц. Примите 50% коэффициент заполнения, так что ширина импульса составляет половину интервала повторения импульса. Создайте train с двумя импульсными волнами. Установите GroundReflectionCoefficient до 0,9 для моделирования сильной отражательной способности грунта. Передайте поле от стационарного источника к стационарному приемнику. Вертикальное разделение источника и приемника составляет приблизительно 10 км.
c = physconst('LightSpeed'); fs = 1e6; pw = 10e-6; pri = 2*pw; PRF = 1/pri; fc = 100e6; lambda = c/fc; waveform = phased.RectangularWaveform('SampleRate',fs,'PulseWidth',pw,... 'PRF',PRF,'OutputFormat','Pulses','NumPulses',2); wav = waveform(); n = size(wav,1); figure; plot((0:(n-1)),real(wav),'b.-'); xlabel('Time (samples)') ylabel('Waveform magnitude')

Укажите местоположение источника и приемника
Разместите источник и приемник на расстоянии около 1000 метров друг от друга по горизонтали и приблизительно 10 км по вертикали.
pos1 = [1000;0;10000]; pos2 = [0;100;100]; vel1 = [0;0;0]; vel2 = [0;0;0];
Вычислите прогнозируемые задержки сигналов в единицах выборок.
[rng,ang] = rangeangle(pos2,pos1,'two-ray');Создайте двухлучевую канальную систему Object™
Создайте двухлучевой канал распространения System object™ и распространите сигнал как вдоль линии видимости, так и вдоль отраженных лучевых путей.
channel = twoRayChannel('SampleRate',fs,... 'GroundReflectionCoefficient',.9,'OperatingFrequency',fc,... 'CombinedRaysOutput',false); prop_signal = channel([wav,wav],pos1,pos2,vel1,vel2);
Постройте график распространенных сигналов
Постройте график распространения сигнала вдоль линии видимости.
Затем наложите график сигнала, распространенного вдоль отраженного пути.
Наконец, наложите график когерентной суммы двух сигналов.
n = size(prop_signal,1); delay = 0:(n-1); plot(delay,abs(prop_signal(:,1)),'g') hold on plot(delay,abs(prop_signal(:,2)),'r') plot(delay,abs(prop_signal(:,1) + prop_signal(:,2)),'b') hold off legend('Line-of-sight','Reflected','Combined','Location','NorthWest') xlabel('Delay (samples)') ylabel('Signal Magnitude')

График показывает, что задержка отраженного сигнала пути согласуется с предсказанной задержкой. Величина когерентно объединенного сигнала меньше, чем любой из распространенных сигналов, указывающих, что существует некоторая интерференция между этими двумя сигналами.
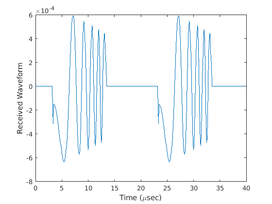
Создайте поляризованное электромагнитное поле, состоящее из линейных FM импульсов формы волны. Распространите поле от стационарного источника с перекрестно-дипольным антенным элементом на стационарный приемник примерно в 10 км. Передающая антенна находится на высоте 100 метров над землей. Приемная антенна находится на высоте 150 м над уровнем земли. Приемная антенна также является перекрестным диполем. Постройте график принимаемого сигнала.
Установите параметры формы волны радара
Предположим, что ширина импульса равна и частота дискретизации составляет 10 МГц. Шумовая полоса импульса составляет 1 МГц. Примите 50% коэффициент заполнения, в котором ширина импульса составляет половину интервала повторения импульса. Создайте train с двумя импульсными волнами. Предположим, что несущая частота составляет 100 МГц.
c = physconst('LightSpeed');
fs = 10e6;
pw = 10e-6;
pri = 2*pw;
PRF = 1/pri;
fc = 100e6;
bw = 1e6;
lambda = c/fc;Настройка необходимых системных объектов
Использование GroundRelativePermittivity из 10.
waveform = phased.LinearFMWaveform('SampleRate',fs,'PulseWidth',pw,... 'PRF',PRF,'OutputFormat','Pulses','NumPulses',2,'SweepBandwidth',bw,... 'SweepDirection','Up','Envelope','Rectangular','SweepInterval',... 'Positive'); antenna = phased.CrossedDipoleAntennaElement(... 'FrequencyRange',[50,200]*1e6); radiator = phased.Radiator('Sensor',antenna,'OperatingFrequency',fc,... 'Polarization','Combined'); channel = twoRayChannel('SampleRate',fs,... 'OperatingFrequency',fc,'CombinedRaysOutput',false,... 'EnablePolarization',true,'GroundRelativePermittivity',10); collector = phased.Collector('Sensor',antenna,'OperatingFrequency',fc,... 'Polarization','Combined');
Настройка геометрии сцены
Задайте положения передатчика и приемника, скорости и ориентации. Разместите источник и приемник примерно на 1000 м друг от друга в горизонтальном направлении и примерно на 50 м в вертикальном направлении.
posTx = [0;100;100]; posRx = [1000;0;150]; velTx = [0;0;0]; velRx = [0;0;0]; laxRx = rotz(180); laxTx = rotx(1)*eye(3);
Создавайте и излучайте сигналы от передатчика
Вычислите углы передачи для двух лучей, движущихся к приемнику. Эти углы заданы относительно локальной системы координат передатчика. The phased.Radiator Система object™ использует эти углы, чтобы применить отдельные усиления антенны к двум сигналам.
[rng,angsTx] = rangeangle(posRx,posTx,laxTx,'two-ray');
wav = waveform();Постройте график переданной формы волны
n = size(wav,1); plot((0:(n-1))/fs*1000000,real(wav)) xlabel('Time ({\mu}sec)') ylabel('Waveform')

sig = radiator(wav,angsTx,laxTx);
Передайте сигналы в приемник через двухлучевой канал
prop_sig = channel(sig,posTx,posRx,velTx,velRx);
Прием распространенного сигнала
Вычислите углы приема для двух лучей, поступающих в приемник. Эти углы заданы относительно локальной системы координат приемника. The phased.Collector Система object™ использует эти углы, чтобы применить отдельные усиления антенны к двум сигналам.
[~,angsRx] = rangeangle(posTx,posRx,laxRx,'two-ray');Собирайте и комбинируйте полученные лучи.
y = collector(prop_sig,angsRx,laxRx);
Постройте график полученной формы волны
plot((0:(n-1))/fs*1000000,real(y)) xlabel('Time ({\mu}sec)') ylabel('Received Waveform')

Двухлучевой канал распространения является следующим шагом вверх по сложности от канала свободного пространства и является простейшим случаем многолучевого окружения распространения. Канал свободного пространства моделирует прямолинейный путь наблюдения от точки 1 до точки 2. В двухлучевом канале среда задается как однородная, изотропная среда с отражающим планарным контуром. Значение контура всегда устанавливается на z = 0. Существует не более двух лучей, распространяющихся от точки 1 до точки 2. Первый путь луча распространяется вдоль того же пути видимости, что и в канале свободного пространства. Линейный путь часто называют прямой путь. Второй луч отражается вне контура перед распространением в точку 2. Согласно Закону Отражения, угол отражения равен углу падения. В ближних симуляциях, таких как сотовые коммуникационные системы и автомобильные радары, можно предположить, что отражающая поверхность, земля или поверхность океана, плоская.
The twoRayChannel и widebandTwoRayChannel Системные объекты модели задержку распространения, сдвиг фазы, доплеровский сдвиг и эффекты потерь для обоих путей. Для отраженного пути эффекты потерь включают потери отражения на контуре.
Рисунок иллюстрирует два пути распространения. Из исходной позиции, ss и позиции приемника, sr, можно вычислить углы прихода обоих путей, θ′los и θ′rp. Углы прихода являются углами повышения и азимута поступающего излучения относительно локальной системы координат. В этом случае локальная система координат совпадает с глобальной системой координат. Можно также вычислить углы передачи, θlos и θrp. В глобальных координатах угол отражения на контуре совпадает с углами θrp и θ′rp. Угол отражения важно знать, когда вы используете зависящие от угла данные отражений и потерь. Можно определить угол отражения при помощи rangeangle функция и установка ссылочных осей в глобальную систему координат. Общая длина пути для линии визирования показана на рисунке по Rlos, которая равна геометрическому расстоянию между источником и приемником. Общая длина пути для отраженного пути Rrp= R1 + R2. Количественный L является наземной областью значений между источником и приемником.

Можно легко вывести точные формулы для длин и углов пути с точки зрения области значений земли и высот объектов в глобальной системе координат.
Ослабление или потери пути в двухлучевом канале являются продуктом пяти компонентов, L = Ltworay LG Lg Lc Lr, где
Ltworay - двухлучевое геометрическое ослабление пути
LG - затухание отражения земли
Lg - ослабление атмосферного пути
Lc - ослабление тумана и пути облака
Lr - ослабление дождевого пути
Каждый компонент находится в модулях величины, а не в дБ.
Потери происходят, когда сигнал отражается от контура. Можно получить простую модель потерь отражения земли путем представления электромагнитного поля как скалярного поля. Этот подход также работает для акустических и гидроакустических систем. Позвольте E быть скалярным электромагнитным полем свободного пространства, имеющим амплитуду, E0 на исходном расстоянии, R0 от передатчика (например, один метр). Распространяющееся поле свободного пространства на расстоянии Rlos от передатчика,
для пути видимости. Можно выразить отраженное землей E -поле как
где Rrp - расстояние отраженного пути. Количество, LG представляет потерю из-за отражения в плоскости земли. Чтобы задать LG, используйте GroundReflectionCoefficient свойство. В целом LG зависит от угла падения поля. Если у вас есть эмпирическая информация об угловой зависимости LG, можно использовать rangeangle вычислить угол падения отраженного пути. Общее поле в пункте назначения является суммой полей видимости и отраженного пути.
Для электромагнитных волн более сложная, но более реалистичная модель использует вектор представление поляризованного поля. Можно разложить падающее электрическое поле на два компонента. Один компонент, Ep, параллелен плоскости падения. Другой компонент, Es, перпендикулярен плоскости падения. Коэффициенты отражения земли для этих компонентов различаются и могут быть записаны с точки зрения проницаемости земли и угла падения.
где Z - импеданс среды. Поскольку магнитная проницаемость Земли почти идентична магнитной проницаемости воздуха или свободного пространства, отношение импедансов зависит, в основном, от отношения электрических проницаемостей
где ρ = ε2/ε1 количества является заземленной относительной диэлектрической проницаемостью, заданной GroundRelativePermittivity свойство. Угол θ1 является углом падения, а угол θ2 является углом преломления на контуре. Можно определить θ2 с помощью закона преломления Снелла.
После отражения полное поле восстанавливается из параллельных и перпендикулярных компонентов. Полное затухание наземной плоскости, LG, является комбинацией Gs и Gp.
Когда источник и пункт назначения являются стационарными относительно друг друга, можно записать выход Y от step как Y(t) = F(t-τ)/L. Величина τ является задержкой сигнала, и L является потерями при распространении в свободном пространстве. τ задержки задается R/c. R - это или расстояние пути распространения линии визирования, или расстояние отраженного пути, и c является скоростью распространения. Потери пути
где λ - длина волны сигнала.
Эта модель вычисляет ослабление сигналов, которые распространяются через атмосферные газы.
Электромагнитные сигналы ослабевают, когда они распространяются через атмосферу. Этот эффект вызван в основном линиями поглощения резонанса кислорода и водяного пара с меньшими вкладами, поступающими от газообразного азота. Модель также включает непрерывный спектр поглощения ниже 10 ГГц. Используется модель МСЭ Рекомендация ITU-R P.676-10: Ослабление атмосферными газами. Модель вычисляет удельное ослабление (ослабление на километр) как функцию от температуры, давления, плотности водяного пара и частоты сигнала. Модель атмосферного газа действительна для частот от 1 до 1000 ГГц и применяется к поляризованным и неполяризованным полям.
Формула для определенного ослабления на каждой частоте является
Количественная N"() является мнимой частью комплексной атмосферной рефрактивности и состоит из спектральной линии компонента и непрерывного компонента:
Спектральный компонент состоит из суммы дискретных членов спектра, состоящих из локализованной функции полосы частот, F(f) i, умноженной на интенсивность спектральной линии, S i. Для атмосферного кислорода каждая спектральная прочность линии
Для атмосферного водяного пара каждая спектральная прочность линии
P - давление сухого воздуха, W - парциальное давление водяного пара, и T - температура окружающей среды. Модули давления находятся в hectoPascals (hPa), а температура в степенях Кельвина. Парциальное давление водяного пара, W, связано с плотностью водяного пара,
Общее атмосферное давление составляет P + W.
Для каждой кислородной линии Si зависит от двух параметров, a1 и a2. Точно так же каждая линия водяного пара зависит от двух параметров, b1 и b2. Документация ITU, приведенная в конце этого раздела, содержит таблицы этих параметров как функций частоты.
Локализованные функции полосы частот Fi(f) являются сложными функциями частоты, описанными в ссылках ITU, цитируемых ниже. Функции зависят от эмпирических параметров модели, которые также сведены в таблицу в ссылке.
Чтобы вычислить общее ослабление для узкополосных сигналов вдоль пути, функция умножает конкретное ослабление на длину пути, R. Затем общее ослабление Lg= R(γo + γw).
Можно применить модель ослабления к широкополосным сигналам. Сначала разделите широкополосный сигнал на частотные поддиапазоны и примените ослабление к каждому поддиапазону. Затем суммируйте все ослабленные поддиапазонные сигналы в полный ослабленный сигнал.
Эта модель вычисляет ослабление сигналов, которые распространяются через туман или облака.
Туман и затухание облака - одно и то же атмосферное явление. Используется модель ITU, Рекомендация ITU-R P.840-6: Ослабление из-за облаков и тумана. Модель вычисляет удельное ослабление (ослабление на километр) сигнала как функцию от плотности жидкости, частоты сигнала и температуры. Модель применяется к поляризованным и неполяризованным полям. Формула для определенного ослабления на каждой частоте является
где M - плотность жидкой воды в г/м3. Величина Kl(f) является определенным коэффициентом ослабления и зависит от частоты. Модель ослабления облака и тумана действует для частот 10-1000 ГГц. Модулями для конкретного коэффициента ослабления являются (дБ/км )/( г/м3).
Чтобы вычислить общее ослабление для узкополосных сигналов вдоль пути, функция умножает конкретное ослабление на R длины пути. Общее ослабление Lc = Rγc.
Можно применить модель ослабления к широкополосным сигналам. Сначала разделите широкополосный сигнал на частотные поддиапазоны и примените узкополосное ослабление к каждому поддиапазону. Затем суммируйте все ослабленные поддиапазонные сигналы в полный ослабленный сигнал.
Эта модель вычисляет ослабление сигналов, которые распространяются через области осадков. Затухание дождя является доминирующим механизмом затухания и может варьироваться от места к месту и от года к году.
Электромагнитные сигналы ослабляются при распространении через область осадков. Ослабление осадков вычисляется согласно модели осадков МСЭ Рекомендация ITU-R P.838-3: Специфическая модель ослабления для дождя для использования в методах предсказания. Модель вычисляет удельное ослабление (ослабление на километр) сигнала как функцию скорости осадков, частоты сигнала, поляризации и угла возвышения пути. Конкретное ослабление, ɣ R, моделируется как закон степени относительно скорости дождя
где R - темп дождя. Модули указаны в мм/ч. k параметра и экспонента α зависят от частоты, состояния поляризации и угла возвышения пути сигнала. Специфическая модель ослабления действительна для частот от 1 до 1000 ГГц.
Чтобы вычислить общее ослабление для узкополосных сигналов вдоль пути, функция умножает конкретное ослабление на эффективное расстояние распространения, d eff. Затем общее ослабление составляет L = d eff γ R.
Эффективное расстояние является геометрическим расстоянием, d, умноженным на масштабный коэффициент
где f - частота. Статья Рекомендация ITU-R P.530-17 (12/2017): Данные о распространении и методы предсказания, необходимые для проекта наземных систем видимости, представляют собой полное обсуждение для вычисления ослабления.
Скорость дождя, R, используемая в этих расчетах, является долгосрочной статистической скоростью дождя, R 0,01. Это уровень дождей, который превышает 0,01% времени. Расчет статистической скорости дождя обсуждается в Рекомендации ITU-R P.837-7 (06/2017): Характеристики осадков для моделирования распространения. В этой статье также объясняется, как вычислить ослабление для других процентов от значения 0,01%.
Можно применить модель ослабления к широкополосным сигналам. Сначала разделите широкополосный сигнал на частотные поддиапазоны и примените ослабление к каждому поддиапазону. Затем суммируйте все ослабленные поддиапазонные сигналы в полный ослабленный сигнал.
[1] Основы распространения Saakian, A. Radio Wave. Norwood, MA: Artech House, 2011.
[2] Balanis, C. Advanced Engineering Electromagnetics. Нью-Йорк: Wiley & Sons, 1989.
[3] Rappaport, T. Wireless Communications: Principles and Practice, 2nd Ed New York: Prentice Hall, 2002.
[4] Сектор радиосвязи Международного объединения электросвязи. Рекомендация ITU-R P.676-10: Ослабление атмосферными газами. 2013.
[5] Сектор радиосвязи Международного объединения электросвязи. Рекомендация ITU-R P.840-6: Ослабление из-за облаков и тумана. 2013.
[6] Сектор радиосвязи Международного объединения электросвязи. Рекомендация ITU-R P.838-3: Специфическая модель ослабления для дождя для использования в методах предсказания. 2005.
Указания и ограничения по применению:
Смотрите Системные объекты в Генерации кода MATLAB (MATLAB Coder).
У вас есть измененная версия этого примера. Вы хотите открыть этот пример с вашими правками?
1. Если смысл перевода понятен, то лучше оставьте как есть и не придирайтесь к словам, синонимам и тому подобному. О вкусах не спорим.
2. Не дополняйте перевод комментариями “от себя”. В исправлении не должно появляться дополнительных смыслов и комментариев, отсутствующих в оригинале. Такие правки не получится интегрировать в алгоритме автоматического перевода.
3. Сохраняйте структуру оригинального текста - например, не разбивайте одно предложение на два.
4. Не имеет смысла однотипное исправление перевода какого-то термина во всех предложениях. Исправляйте только в одном месте. Когда Вашу правку одобрят, это исправление будет алгоритмически распространено и на другие части документации.
5. По иным вопросам, например если надо исправить заблокированное для перевода слово, обратитесь к редакторам через форму технической поддержки.