Этот пример показывает наивную реализацию процедуры, используемой hampel обнаружение и удаление выбросов. Фактическая функция намного быстрее.
Сгенерируйте случайный сигнал, x, содержащего 24 выборки. Сбросьте генератор случайных чисел для воспроизводимых результатов.
rng default
lx = 24;
x = randn(1,lx);Сгенерируйте окно наблюдения вокруг каждого элемента x. Примите k = 2 соседа по обе стороны выборки. Скользящее окно, которое результаты, имеют длину выборки.
k = 2; iLo = (1:lx)-k; iHi = (1:lx)+k;
Обрезайте окно так, чтобы функция вычисляла медианы небольших сегментов, когда она достигает ребер сигнала.
iLo(iLo<1) = 1; iHi(iHi>lx) = lx;
Запишите медиану каждого окружающего окна. Найдите медиану абсолютного отклонения каждого элемента относительно медианы окна.
for j = 1:lx w = x(iLo(j):iHi(j)); medj = median(w); mmed(j) = medj; mmad(j) = median(abs(w-medj)); end
Масштабируйте среднее абсолютное отклонение с
для получения оценки стандартного отклонения нормального распределения.
sd = mmad/(erfinv(1/2)*sqrt(2));
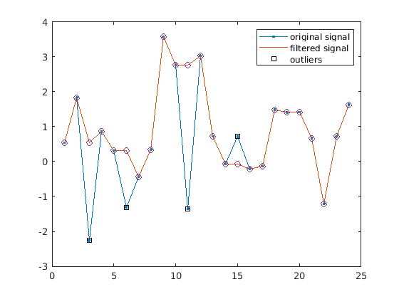
Найдите выборки, которые отличаются от медианы более чем nd = 2 стандартных отклонения. Замените каждый из этих выбросов значением медианы окружающего окна. В этом суть алгоритма Хэмпеля.
nd = 2; ki = abs(x-mmed) > nd*sd; yu = x; yu(ki) = mmed(ki);
Используйте hampel функция для вычисления фильтрованного сигнала и аннотации выбросов. Наложите отфильтрованные значения, вычисленные в этом примере.
hampel(x,k,nd) hold on plot(yu,'o','HandleVisibility','off') hold off
